О мальчиках и мужчинах [Richard V. Reeves] (fb2) читать онлайн

- О мальчиках и мужчинах (пер. Книжный импорт (importknig)) 1.7 Мб, 291с. скачать: (fb2)  читать: (полностью) - (постранично) - Richard V. Reeves

 [Настройки текста]  [Cбросить фильтры]


@importknig


Перевод этой книги подготовлен сообществом "Книжный импорт".


Каждые несколько дней в нём выходят любительские переводы новых зарубежных книг в жанре non-fiction, которые скорее всего никогда не будут официально изданы в России.


Все переводы распространяются бесплатно и в ознакомительных целях среди подписчиков сообщества.


Подпишитесь на нас в Telegram: https://t.me/importknig


Ричард В. Ривз «О мальчиках и мужчинах»


Оглавление

ПРЕДИСЛОВИЕ

ЧАСТЬ I. МУЖСКОЕ НЕДОМОГАНИЕ

ГЛАВА 1. ДЕВУШКИ ПРАВЯТ

ГЛАВА 2. БЛЮЗ РАБОЧЕГО ЧЕЛОВЕКА

ГЛАВА 3. ВЫВИХНУТЫЕ ОТЦЫ

ЧАСТЬ II. ДВОЙНОЙ НЕДОСТАТОК

ГЛАВА 4. ОЧКИ ДУАЙТА

ГЛАВА 5. КЛАССНЫЙ ПОТОЛОК

ГЛАВА 6. НЕОТВЕТЧИКИ

ЧАСТЬ III. БИОЛОГИЯ И КУЛЬТУРА

ГЛАВА 7. СОЗДАНИЕ МУЖЧИН

ЧАСТЬ IV. ПОЛИТИЧЕСКИЙ ТУПИК

ГЛАВА 8. ПРОГРЕССИРУЮЩАЯ СЛЕПОТА

ГЛАВА 9. ВИДЕТЬ КРАСНОЕ

ЧАСТЬ V. ЧТО ДЕЛАТЬ

ГЛАВА 10. ПЕРЕОБУТЬ МАЛЬЧИКОВ

ГЛАВА 11. МУЖЧИНЫ МОГУТ ИСЦЕЛЯТЬ

ГЛАВА 12. НОВЫЕ ПАПЫ

ЭПИЛОГ

ПРИМЕЧАНИЯ


ПРЕДИСЛОВИЕ


Я беспокоюсь о мальчиках и мужчинах уже 25 лет. Это вполне естественно, когда ты растишь трех мальчиков, которые уже стали взрослыми мужчинами. Джордж, Брайс, Кэмерон: я люблю вас безмерно. Поэтому даже сейчас я иногда беспокоюсь о вас. Но мое беспокойство вылилось в мою повседневную работу. Я работаю ученым в Брукингском институте, занимаясь в основном вопросами равенства возможностей или их отсутствия. До сих пор я обращал внимание на разделение по социальному классу и расе. Но меня все больше беспокоят гендерные различия, и, возможно, не в том смысле, в котором вы ожидаете. Мне стало ясно, что растет число мальчиков и мужчин, которые испытывают трудности в школе, на работе и в семье. Раньше я беспокоился о трех мальчиках и юношах. Теперь я беспокоюсь о миллионах.

Несмотря на это, я не хотел писать эту книгу. Я сбился со счета, сколько людей советовали не делать этого. В нынешнем политическом климате освещение проблем мальчиков и мужчин воспринимается как опасная затея. Один друг, газетный обозреватель, сказал: "Я никогда не подхожу к этим вопросам, если могу этого избежать. Там нет ничего, кроме боли". Некоторые утверждают, что это отвлекает от проблем, с которыми все еще сталкиваются девушки и женщины. Я считаю, что это ложный выбор. Как сторонник гендерного равенства, я много думаю о том, как сократить разрыв в оплате труда между женщинами и мужчинами. (На каждые 100 долларов, заработанные мужчинами, женщины зарабатывают 82 доллара.)¹ Как вы увидите, я думаю, что решения здесь включают более равное распределение заботы о детях, чему способствует щедрый оплачиваемый отпуск как для матерей, так и для отцов. Но меня не меньше беспокоит разрыв в получении диплома колледжа в другую сторону, который является лишь одним из симптомов большого и растущего гендерного разрыва в образовании. (На каждые 100 дипломов бакалавра, полученных женщинами, приходится 74 диплома мужчин)². Здесь я предлагаю простую, но радикальную реформу: начинать обучение мальчиков в школе на год позже, чем девочек.

Другими словами, пересмотреть рабочие места, чтобы они были более справедливыми для женщин, и реформировать школы, чтобы они были более справедливыми для мальчиков.

Мы можем держать в голове две мысли одновременно. Мы можем быть страстными защитниками прав женщин и сострадательными к уязвимым мальчикам и мужчинам.

Конечно, я едва ли первый, кто пишет о мальчиках и мужчинах. Я следую по стопам Ханны Розин (The End of Men), Эндрю Ярроу (Man Out), Кей Хаймовиц (Manning Up), Филипа Зимбардо и Никиты Куломба (Man, Interrupted), Уоррена Фаррелла и Джона Грея (The Boy Crisis) и многих других. Почему же именно эта книга и почему именно сейчас? Хотел бы я сказать, что у меня есть одна простая мотивация. Но есть шесть основных причин.

Во-первых, дела обстоят хуже, чем я думал. Я знал некоторые заголовки о том, что мальчики испытывают трудности в школе и в университетском городке, мужчины теряют позиции на рынке труда, а отцы теряют связь со своими детьми. Я думал, что, возможно, некоторые из них преувеличены. Но чем ближе я присматривался, тем мрачнее становилась картина. Гендерный разрыв в количестве получаемых дипломов о высшем образовании сегодня больше, чем в начале 1970-х годов, но в обратном направлении.⁴ Заработная плата большинства мужчин сегодня ниже, чем в 1979 году, в то время как заработная плата женщин выросла повсеместно.⁴ Каждый пятый отец не живет со своими детьми.⁵ На мужчин приходится почти три из четырех "смертей от отчаяния", либо от самоубийства, либо от передозировки.⁶

Во-вторых, мальчики и мужчины, испытывающие наибольшие трудности, находятся на острие других видов неравенства, особенно классового и расового. Больше всего я беспокоюсь о мальчиках и мужчинах, которые находятся ниже по экономической и социальной лестнице. Большинство мужчин не принадлежат к элите, и еще меньшему числу мальчиков суждено занять их место. В 1979 году еженедельный заработок типичного американского мужчины, получившего диплом о среднем образовании, составлял, в пересчете на сегодняшние доллары, 1017 долларов. Сегодня он на 14 % ниже - 881 доллар.⁷ Как пишет журнал The Economist: "Тот факт, что на самых высоких ступеньках стоят мужские ноги, мало утешает мужчин, находящихся внизу".⁸ Мужчины на вершине все еще процветают, но мужчины в целом - нет. Особенно если они чернокожие: "Быть мужчиной, бедным и афроамериканцем... значит ежедневно сталкиваться с глубоко укоренившимся расизмом, который существует в каждом социальном институте", - пишет моя коллега Камилла Бусетт.⁹ "Ни одна другая демографическая группа не находится в таком плохом положении, так упорно и так долго". Чернокожие мужчины сталкиваются не только с институциональным расизмом, но и с гендерным расизмом, включая дискриминацию на рынке труда и в системе уголовного правосудия.¹⁰

В-третьих, мне стало ясно, что проблемы мальчиков и мужчин носят структурный, а не индивидуальный характер, но редко рассматриваются как таковые. Проблема мужчин обычно формулируется как проблема мужчин. Именно мужчины должны быть исправлены, по одному мужчине или мальчику за раз. Такой индивидуалистический подход ошибочен. Мальчики отстают в школе и колледже, потому что система образования построена таким образом, что ставит их в невыгодное положение. Мужчины испытывают трудности на рынке труда из-за того, что экономика отходит от традиционно мужских профессий. А отцы выбиты из колеи, потому что культурная роль кормильца семьи оказалась вытесненной. Мужское недомогание - это не результат массового психологического срыва, а глубокие структурные проблемы.

"Чем больше я думаю о том, чего лишились мужчины - полезной роли в общественной жизни, возможности зарабатывать на достойную и надежную жизнь, признательности в доме, уважительного отношения в культуре, - пишет феминистская писательница Сьюзан Фалуди в своей книге Stiffed 1999 года, - тем больше кажется, что мужчины конца XX века скатываются в статус, странно похожий на тот, который был у женщин в середине века".

В-четвертых, я был потрясен, обнаружив, что многие меры социальной политики, в том числе и самые разрекламированные, не помогают мальчикам и мужчинам. Первой мне бросилась в глаза программа бесплатного обучения в колледже в Каламазу, штат Мичиган. По словам специалистов, проводивших оценку, "женщины получили очень большой выигрыш" в плане окончания колледжа (рост почти на 50 %), "в то время как мужчины, похоже, не получили никакого выигрыша"¹². Это поразительный вывод. Если сделать колледж полностью бесплатным, то это никак не повлияет на мужчин. Но оказалось, что существуют десятки программ , которые приносят пользу девочкам и женщинам, но не мальчикам и мужчинам: программа наставничества для студентов в Форт-Уорте, штат Техас; программа выбора школы в Шарлотте, Северная Каролина; повышение доходов для низкооплачиваемых работников в Нью-Йорке и многие другие. Поразительная неспособность этих мероприятий помочь мальчикам или мужчинам часто затушевывается средним положительным результатом, обусловленным положительным воздействием на девочек или женщин. В отдельности этот гендерный разрыв можно рассматривать как причуду конкретной инициативы. Но это повторяющаяся закономерность. Таким образом, многие мальчики и мужчины не только испытывают трудности, но и с меньшей вероятностью получат помощь от политических мер.

В-пятых, в вопросах пола и гендера существует политический тупик. Обе стороны увязли в идеологической позиции, которая препятствует реальным изменениям. Прогрессисты отказываются признавать, что важное гендерное неравенство может иметь двусторонний характер, и быстро причисляют проблемы мужчин к симптомам "токсичной мужественности". Консерваторы кажутся более чувствительными к проблемам мальчиков и мужчин, но только в качестве оправдания для того, чтобы повернуть время вспять и восстановить традиционные гендерные роли. Левые говорят мужчинам: "Будьте больше похожи на свою сестру". Правые говорят: "Будь больше похож на своего отца". Оба призыва не помогают. Необходимо позитивное видение мужественности, совместимое с гендерным равенством. Как добросовестный противник в культурных войнах, я надеюсь, что дал оценку состояния мальчиков и мужчин, которая может получить широкую поддержку.

В-шестых, как политик я чувствую в себе силы предложить несколько позитивных идей для решения этих проблем, а не просто сетовать на них. Хватит уже сетовать. В каждой из трех областей - образование, работа и семья - я предлагаю несколько практических, основанных на фактах решений, которые помогут мальчикам и мужчинам, испытывающим наибольшие трудности. (Возможно, стоит сразу сказать, что я сосредоточен на проблемах, с которыми сталкиваются цисгендерные гетеросексуальные мужчины, составляющие около 95 % мужчин.)¹³

В первой части я привожу доказательства мужского недомогания, показывая, как много мальчиков и мужчин испытывают трудности в школе и колледже (глава 1), на рынке труда (глава 2) и в семейной жизни (глава 3). В части 2 я подчеркиваю двойные недостатки, с которыми сталкиваются чернокожие мальчики и мужчины, страдающие от гендерного расизма (глава 4), а также мальчики и мужчины, находящиеся в самом низу экономической лестницы (глава 5). Я также привожу все больше доказательств того, что многие политические меры не приносят пользы мальчикам и мужчинам (глава 6). В третьей части я рассматриваю вопрос о половых различиях, утверждая, что и природа, и воспитание имеют значение (глава 7).

В части 4 я описываю наш политический тупик, показывая, как вместо того, чтобы ответить на этот вызов, политики усугубляют ситуацию. Прогрессивные левые отвергают законные опасения по поводу мальчиков и мужчин и патологизируют маскулинность (глава 8). Популистские правые используют мужскую неустроенность и дают ложные обещания (глава 9). Для партизан существует либо война с женщинами, либо война с мужчинами. Наконец, в части 5 я предлагаю некоторые решения. В частности, я предлагаю создать систему образования, благоприятную для мужчин (глава 10); помочь мужчинам получить работу в растущих областях здравоохранения, образования, управления и грамотности, или HEAL (глава 11); и укрепить отцовство как независимый социальный институт (глава 12).

"Мужчине никогда не придет в голову, - писала Симона де Бовуар, - написать книгу об особом положении человеческого мужчины". Но это было в 1949 году. Сейчас особая ситуация человеческого мужчины требует неотложного внимания. Мы должны помочь мужчинам адаптироваться к драматическим изменениям последних десятилетий, не требуя от них перестать быть мужчинами. Нам нужна просоциальная мужественность для постфеминистского мира.¹⁵ И она нужна нам в ближайшее время.


ЧАСТЬ

I

. МУЖСКОЕ НЕДОМОГАНИЕ


ГЛАВА 1. ДЕВУШКИ ПРАВЯТ


Мальчики отстают в образовании

Кэрол Фрэнсис, бывший главный экономист Американского совета по образованию, называет это "впечатляющим взлетом" и "феноменальным успехом"¹ Стефан Винсент-Ланкрин, старший аналитик Центра образовательных исследований и инноваций Организации экономического сотрудничества и развития (ОЭСР), говорит, что это "поразительно... люди не могут в это поверить".Для Ханны Розин, автора книги "Конец мужчин", это "самое странное и глубокое изменение века, тем более что оно происходит практически во всем мире".³

Фрэнсис, Винсент-Ланкрин и Розин говорят о гендерном разрыве в образовании. Всего за несколько десятилетий девочки и женщины не просто догнали мальчиков и мужчин в классе - они обошли их. В 1972 году правительство США приняло эпохальный закон Title IX, направленный на обеспечение гендерного равенства в высшем образовании. В то время разрыв в доле мужчин и женщин, получающих степень бакалавра, составлял 13 процентных пунктов.⁴ К 1982 году этот разрыв сократился. К 2019 году гендерный разрыв в доле бакалавров составил 15 пунктов, что больше, чем в 1972 году, но в обратную сторону.⁵

Низкая успеваемость мальчиков в классе, особенно чернокожих мальчиков и мальчиков из более бедных семей, наносит серьезный ущерб их перспективам трудоустройства и восходящей экономической мобильности. Уменьшить это неравенство будет непросто, учитывая нынешние тенденции, многие из которых усугубились во время пандемии. В США, например, в 2020 году снижение числа учащихся в колледжах было в семь раз больше среди юношей, чем среди девушек.⁶ Студенты-мужчины также испытывают больше трудностей с онлайн-обучением, и по мере того, как в ближайшие месяцы и годы станут яснее масштабы потерь в обучении, кажется почти уверенным, что они окажутся более значительными для юношей и мужчин.⁷

Первая задача - убедить политиков в том, что в сфере образования именно мальчики сейчас находятся в невыгодном положении. Некоторые утверждают, что преждевременно беспокоиться о гендерном разрыве в образовании, когда разрыв в оплате труда все еще имеет обратную сторону. О разрыве в оплате труда я подробнее расскажу в главе 2, а пока достаточно сказать, что рынок труда по-прежнему структурирован в пользу работников, не занятых уходом за детьми, и эти работники - в основном мужчины. Но в то же время система образования построена в пользу девочек и женщин по причинам, которые я изложу на сайте в этой главе. Таким образом, мы имеем систему образования, благоприятствующую девочкам, и рынок труда, благоприятствующий мужчинам. Из двух ошибок не получается одна правильная. Нам нужно исправить и то, и другое. Неравенство имеет значение, независимо от его направления. Стоит также отметить, что в то время как женщины догоняют мужчин на рынке труда, мальчики и мужчины все больше отстают в учебе. Один разрыв сокращается, другой - увеличивается.

Сначала я описываю гендерные различия в школьном образовании К-12, а затем указываю на то, что я считаю их главной причиной: совершенно разные скорости взросления мальчиков и девочек, особенно в подростковом возрасте. Затем я прослеживаю некоторые из вытекающих отсюда неравенств в высшем образовании. Моя главная мысль заключается в том, что гендерные различия существуют на каждом этапе и во всем мире, и многие из них продолжают увеличиваться. Но политики, как олени в свете фар, до сих пор не отреагировали на это.


ДЕВОЧКИ ПОЛУЧАЮТ ОЦЕНКИ


Что вы знаете о Финляндии? Что это самая счастливая страна на Земле? Правильно.⁸ Что школьная система превосходна? Ну, наполовину верно. Финляндия действительно всегда занимает первое или почти первое место в международной таблице результатов образования - но это из-за девочек. Каждые три года ОЭСР проводит исследование навыков чтения, математики и естественных наук среди 15-летних подростков. Этот тест называется PISA (Programme for International Student Assessment), и ему уделяется много внимания со стороны политиков. Финляндия - хорошее место для изучения гендерных различий в образовании, потому что это страна с такими высокими показателями (можно сказать, что другие страны страдают от приступа финской зависти каждый раз, когда публикуются результаты PISA). Но несмотря на то, что финские школьники занимают очень высокие места в общем рейтинге PISA, существует огромный гендерный разрыв: 20 % финских девочек набрали в тесте самые высокие баллы по чтению, в то время как среди мальчиков их всего 9 %.⁹ Среди тех, кто набрал самые низкие баллы по чтению, гендерный разрыв обратный: 20 % мальчиков против 7 % девочек. По большинству показателей финские девочки также превосходят мальчиков в естественных науках и математике. В итоге, всемирно известные результаты Финляндии в области образования полностью объясняются потрясающей успеваемостью финских девочек (на самом деле, американские мальчики показывают такие же высокие результаты, как и финские, в тесте PISA по чтению).

Это может иметь некоторые последствия для реформаторов образования, которые съезжаются в Финляндию, чтобы найти способы развить успех этой страны, но это всего лишь особенно яркий пример международной тенденции. В начальных и средних школах по всему миру девочки отстают от мальчиков. В странах ОЭСР девочки примерно на год опережают мальчиков по способностям к чтению, в то время как в математике преимущество мальчиков очень незначительно.¹⁰ Мальчики на 50 % чаще, чем девочки, не справляются со всеми тремя ключевыми школьными предметами: математикой, чтением и наукой.¹¹ Швеция начинает бороться с тем, что в ее школах называют "кризисом мальчиков" (pojkkrisen). В Австралии разработана программа чтения под названием "Мальчики, мальчики, книги и байты".

На протяжении десятилетий в США девочки были более сильным полом в школе. Но теперь они еще больше вырвались вперед, особенно в плане грамотности и вербальных навыков. Различия проявляются рано. Например, вероятность того, что девочки будут "готовы к школе" в возрасте 5 лет, на 14 процентных пунктов выше, чем у мальчиков, с учетом характеристик родителей. Это гораздо больший разрыв, чем разрыв между богатыми и бедными детьми, чернокожими и белыми, или между теми, кто посещает дошкольные учреждения, и теми, кто их не посещает.¹² Разрыв в 6 процентных пунктов в уровне владения навыками чтения в четвертом классе увеличивается до 11 процентных пунктов к концу восьмого класса.¹³ По математике разрыв в 6 пунктов в пользу мальчиков в четвертом классе сократился до 1 пункта к восьмому классу.¹⁴ В исследовании, проведенном на основе оценок по всей стране, ученый из Стэнфорда Шон Рирдон не обнаружил общего разрыва по математике с третьего по восьмой классы, но обнаружил большой разрыв по английскому языку. "Практически в каждом школьном округе США учащиеся женского пола превосходили учащихся мужского пола по результатам тестов ELA [English Language Arts]", - пишет он. "В среднем районе разрыв составляет... примерно две трети уровня класса и превышает эффект от большинства крупномасштабных образовательных мероприятий".¹⁵


РИСУНОК 1-1 Девочки получают оценки


Гендерная структура рейтинга среднего балла аттестата зрелости (децили) в средней школе



Примечание: На рисунке показан общий средний балл в средней школе для студентов, которые были первокурсниками в 2009 году.


Источник: Министерство образования США, Национальный центр образовательной статистики, Лонгитюдное исследование средней школы 2009 года.


К старшим классам женское лидерство закрепляется. Девочки всегда имели преимущество перед мальчиками по среднему баллу аттестата (GPA), даже полвека назад, когда у них, несомненно, было меньше стимулов, чем у мальчиков, учитывая разницу в показателях посещаемости колледжей и карьерных ожиданий. Однако в последние десятилетия этот разрыв увеличился. Как показано на рисунке 1-1, сейчас девочки составляют две трети старшеклассников, входящих в 10 % лучших по среднему баллу, в то время как в нижней части рейтинга соотношение обратное.

Девочки также гораздо чаще посещают занятия с углубленным изучением предметов или международный бакалавриат.¹⁷ Конечно, национальные тенденции скрывают огромные различия в зависимости от географии, поэтому полезно увеличить масштаб и посмотреть на конкретные места. Возьмем Чикаго, где вероятность того, что ученики из самых благополучных районов получат среднюю оценку А или В в девятом классе, гораздо выше (47 %), чем у учеников из самых бедных районов (32 %).¹⁸ Это большой классовый разрыв, который, учитывая, что Чикаго - самый сегрегированный крупный город в стране, означает и большой расовый разрыв. Но поразительно, что разница в доле девочек и мальчиков, получающих высокие оценки, одинакова: 47 % к 32 %. Если вы задаетесь вопросом, имеют ли оценки в первом классе средней школы большое значение, то это так, они сильно предсказывают последующие результаты образования. Как утверждают чикагские исследователи, проанализировавшие эти данные, "оценки отражают множество факторов, которые ценят учителя, и именно это многомерное качество делает оценки хорошими предсказателями важных результатов".

Правда, мальчики по-прежнему показывают несколько лучшие результаты, чем девочки, по большинству стандартизированных тестов. Но этот разрыв резко сократился - до тринадцати баллов по SAT, а по ACT он и вовсе исчез.¹⁹ Вероятно, здесь также стоит отметить, что баллы по SAT и ACT в любом случае имеют гораздо меньшее значение, поскольку колледжи отказываются от их использования при поступлении, что, какими бы достоинствами это ни обладало, скорее всего, еще больше увеличит гендерный разрыв в послешкольном образовании. Вот более анекдотичный пример гендерного разрыва: Каждый год газета New York Times проводит конкурс редакторских работ среди учеников средних и старших классов и публикует мнения победителей. Организаторы говорят мне, что среди претендентов соотношение девочек и мальчиков составляет "2:1, возможно, ближе к 3:1"²⁰.

Сейчас уже никого не удивишь тем, что мальчики реже девочек заканчивают среднюю школу. В 2018 году 88 % девочек окончили среднюю школу вовремя (то есть через 4 года после поступления) по сравнению с 82 % мальчиков.²¹ Показатель окончания школы среди мальчиков лишь немного выше 80 % среди бедных учеников. Вы можете подумать, что эти цифры легко найти, достаточно лишь сделать быстрый поиск в Google. Я так и думал, когда начал писать этот абзац. Но на самом деле, чтобы выяснить это, потребовался небольшой исследовательский проект Brookings, причем по весьма поучительным причинам. Согласно федеральному законодательству, штаты обязаны предоставлять данные о количестве выпускников средних школ в разбивке по расовой и этнической принадлежности, знанию английского языка, экономическому неблагополучию, бездомности и статусу приемной семьи. Такие данные бесценны для оценки тенденций в группах, подверженных наибольшему риску отсева. Но, как ни странно, штаты не обязаны сообщать о своих результатах по полу. Чтобы получить приведенные выше цифры, пришлось изучить данные по каждому штату.

Энергичный некоммерческий альянс Grad Nation стремится повысить общий уровень окончания средней школы в США до 90 % (по сравнению с 85 % в 2017 году).²² Это большая цель. Альянс отмечает, что это потребует улучшения ситуации среди "цветных студентов, студентов с ограниченными возможностями и студентов с низким уровнем дохода". Безусловно, так и будет. Но они упустили одну важную деталь - мальчиков. В конце концов, девочки находятся всего в 2 процентных пунктах от цели, а мальчики - на 8 процентных пунктов ниже.


ВСЕ ДЕЛО В СРОКАХ (РАЗВИТИЯ МОЗГА)


Что здесь происходит? Существует множество потенциальных объяснений. Некоторые ученые связывают относительную неуспеваемость мальчиков в школе с их более низкими ожиданиями от послешкольного образования, что, безусловно, само по себе является определением порочного круга.²³ Другие беспокоятся, что сильный перекос в сторону женщин-учителей - три из четырех и более - может ставить мальчиков в невыгодное положение.²⁴ Это, конечно, имеет значение. Но я думаю, что есть более простое и понятное объяснение. Мозг мальчиков развивается медленнее, особенно в самые критические годы среднего образования. Когда почти каждый четвертый мальчик (23 %) относится к категории "с отклонениями в развитии", справедливо задаться вопросом, не функционируют ли должным образом образовательные учреждения, а не сами мальчики.²⁵

В книге "Возраст возможностей: Lessons from the New Science of Adolescence" Лоуренс Стейнберг пишет, что "подростки старшего школьного возраста принимают лучшие решения, когда они спокойны, хорошо отдохнули и знают, что будут вознаграждены за хороший выбор"²⁶ На что большинство родителей или тех, кто вспоминает свои собственные подростковые годы, могут ответить: "Скажи мне что-нибудь, чего я не знаю, Ларри". Но подростки устроены таким образом, что им трудно "сделать хороший выбор". Когда мы молоды, мы ускользаем из постели, чтобы пойти на вечеринки; когда мы стареем, мы ускользаем с вечеринок, чтобы лечь спать. Стайнберг показывает, что подростковый возраст - это, по сути, борьба между ищущей ощущений частью нашего мозга (Иди на вечеринку! Забудь про школу!) и контролирующей импульсы частью (Мне действительно нужно заниматься сегодня вечером).

Можно представить их как психологический эквивалент педалей газа и тормоза в автомобиле. В подростковом возрасте наш мозг нажимает на педаль газа. Мы стремимся к новым, захватывающим впечатлениям. Наш контроль над импульсами - механизм торможения - развивается позже. Как пишет Роберт Сапольски, биолог и невролог из Стэнфорда, в своей книге Behave: The Biology of Humans at Our Best and Worst", "Незрелая лобная кора не в силах противостоять подобной дофаминовой системе".²⁷ Здесь очевидны последствия для воспитания детей и важность помощи подросткам в развитии стратегий саморегуляции.

Подростковый возраст - это период, когда нам сложнее сдерживать себя. Но у мальчиков этот разрыв гораздо больше, чем у девочек, потому что у них одновременно больше ускорение и меньше торможение. Части мозга, связанные с контролем импульсов, планированием, ориентацией на будущее, которые иногда называют "генеральным директором мозга", находятся в основном в префронтальной коре, которая созревает примерно на 2 года позже у мальчиков, чем у девочек.²⁸ Мозжечок, например, достигает полного размера в 11 лет у девочек, но не раньше 15 лет у мальчиков. Помимо прочего, мозжечок "оказывает модулирующее воздействие на эмоциональные, когнитивные и регуляторные способности", как утверждает нейробиолог Гёкчен Акюрек.²⁹ Я знаю; у меня трое сыновей. Эти результаты согласуются с данными опросов о внимании и саморегуляции, где наибольшие половые различия проявляются в среднем подростковом возрасте, отчасти из-за влияния полового созревания на гиппокамп - часть мозга, связанную с вниманием и социальным познанием.⁰ Правильный ответ на вопрос, который слышат многие мальчики-подростки: "Почему ты не можешь быть больше похож на свою сестру?", звучит примерно так: "Потому что, мама, существуют половые диморфные траектории развития коры и подкоркового серого вещества!" (Возвращается к видеоигре.)

В то время как части мозга должны расти, некоторые волокна мозга должны быть обрезаны, чтобы улучшить наши нейронные функции. Странно думать, что части нашего мозга должны стать меньше, чтобы быть более эффективными, но это правда. Мозг, по сути, приводит себя в порядок; думайте об этом, как о стрижке живой изгороди, чтобы она выглядела хорошо. Этот процесс обрезки особенно важен в подростковом возрасте, и исследование, проведенное на основе детальной визуализации мозга 121 человека в возрасте от 4 до 40 лет, показывает, что у девочек он происходит раньше, чем у мальчиков. Наибольший разрыв наблюдается в возрасте около 16 лет.³¹ Научный журналист Кристнелл Сторр пишет, что эти результаты "пополняют растущий массив исследований, изучающих гендерные различия, когда речь идет о мозге... Наука указывает на разницу в том, как развивается наш мозг. Кто может с этим поспорить?"³² (Оказывается, довольно много людей. Но об этом позже).

Как всегда, важно отметить, что речь идет о средних показателях. Но я не думаю, что эти данные шокируют многих родителей. "В подростковом возрасте девочки в среднем более развиты примерно на 2-3 года с точки зрения пика развития их синапсов и процессов связи", - говорит Фрэнсис Дженсен, заведующая кафедрой неврологии в Медицинской школе Перельмана при Пенсильванском университете. "Этот факт не удивит большинство людей, если мы подумаем о 15-летних мальчиках и девочках".³³ У меня нет дочерей, но я могу сказать, что когда мои сыновья приводили домой подруг в средние и старшие классы, разница в зрелости часто была поразительной.

Гендерный разрыв в развитии навыков и качеств, наиболее важных для успеха в учебе, наиболее велик именно в то время, когда школьникам нужно беспокоиться о своем среднем балле, готовиться к тестам и не попадать в неприятности.В докладе о важности новой науки о подростковом возрасте, опубликованном в 2019 году Национальной академией наук, инженерных наук и медицины, говорится, что "половые различия в ассоциациях между развитием мозга и половым созреванием имеют значение для понимания... заметных гендерных различий в подростковом возрасте".³⁵ Но эта новая наука о половых различиях в развитии мозга, особенно в подростковом возрасте, пока не оказывает влияния на политику. Например, глава об образовании в докладе Национальных академий не содержит никаких конкретных предложений, связанных с выявленными половыми различиями.

Споры о важности неврологических половых различий, которые могут быть весьма ожесточенными, неверно сформулированы применительно к образованию. Безусловно, в мужской и женской психологии существуют некоторые биологически обоснованные различия, которые сохраняются и после подросткового возраста. Но, безусловно, самая большая разница заключается не в том, как развивается женский и мужской мозг, а в том, когда. Ключевой момент заключается в том, что соотношение между хронологическим возрастом и возрастом развития у девочек и мальчиков совершенно разное. С точки зрения нейронаук, система образования перекошена в пользу девочек. Вряд ли стоит говорить, что это не было намерением. В конце концов, систему образования создавали в основном мужчины, и нет никакого векового феминистского заговора с целью ущемления мальчиков. Гендерный перекос в системе образования было труднее заметить, когда девочек отговаривали от получения высшего образования или карьеры и склоняли к выполнению домашних обязанностей.³⁶ Теперь, когда женское движение открыло эти возможности для девочек и женщин, их естественные преимущества становятся все более очевидными с каждым годом.


ПИНКОВЫЕ КАМПУСЫ


В высшем образовании гендерный разрыв еще больше увеличивается. В США 57 % степеней бакалавра теперь присуждаются женщинам, и не только по стереотипно "женским" предметам: например, на долю женщин приходится почти половина (47 %) степеней бакалавра бизнеса, тогда как в 1970 г. их было менее одной из десяти.³⁷ Женщины также получают большинство степеней юриста, по сравнению с примерно одной из двадцати в 1970 г.³⁸.

На Рисунке 1-2 показан гендерный разрыв в доле ученых степеней, присуждаемых на уровне младших специалистов, бакалавров и выпускников вузов с 1970 по 2019 год.

Женщины получают три из пяти степеней магистра и младшего специалиста, а в области профессиональных степеней рост был еще более значительным.⁴⁰ Доля женщин, получающих степень доктора стоматологии (DDS или DMD), медицины (MD) или права (JD или LLB), выросла с 7 % в 1972 году до 50 % в 2019 году.⁴¹ Доминирование женщин в кампусе проявляется и в неакадемических областях. В 2020 году главным редактором юридического обозрения в каждой из шестнадцати лучших юридических школ была женщина.⁴²


РИСУНОК 1-2 Великий образовательный обгон


Количество ученых степеней, присужденных женщинам, на каждые 100 ученых степеней, присужденных мужчинам, 1971-2019 гг.



Примечание: Степени магистра, специалиста, доктора наук и юриста включены в число послевузовских степеней.


Источник: Министерство образования США, Национальный центр статистики образования, "Степени, присвоенные учебными заведениями, выдающими дипломы, с разбивкой по уровню степени и полу студента" (2005 и 2020 гг.).


Как отмечает Розин, это глобальная тенденция. В 1970 году, когда я родилась, только 31 % дипломов бакалавра получили британские женщины. Когда я заканчивала колледж два десятилетия спустя, этот показатель составлял 44 %. Сейчас этот показатель составляет 58 %.⁴³ Сегодня 40 % молодых британских женщин отправляются в колледж в возрасте 18 лет по сравнению с 29 % их сверстников-мужчин.⁴⁴ "Мир просыпается от... этой проблемы", - говорит Эйольфур Гудмундссон, ректор Университета Акюрейри в Исландии, где 77 % студентов - женщины.Исландия представляет собой интересный пример, поскольку, по данным Всемирного экономического форума, она является самой гендерно эгалитарной страной в мире.⁴⁶ Однако исландские университеты изо всех сил пытаются обратить вспять массовое гендерное неравенство в образовании. "Это не обсуждается в СМИ", - говорит Стейнунн Гестсдоттир, проректор Исландского университета. "Но политики обеспокоены этой тенденцией".⁴⁷ В Шотландии политики уже прошли стадию беспокойства и перешли к стадии "что-то делать", поставив четкую цель увеличить представительство мужчин во всех шотландских университетах.⁴⁸ Их подход - это то, чему должны следовать другие страны.


РИСУНОК 1-3 Женщины более образованны, по всему миру


Доля молодых людей в возрасте 25-34 лет с высшим образованием, по полу



Примечание: Отдельные страны ОЭСР. Года, доступные в разных странах, несколько различаются.


Источник: ОЭСР, "Уровень образования и статус трудовой занятости: ELS-Population Who Attained Tertiary Education, by Sex and Age Group", данные получены 15 ноября 2021 года.


Правда, в некоторых предметах, таких как инженерное дело, компьютерные науки и математика, по-прежнему преобладают мужчины. Колледжи, некоммерческие организации и политики прилагают значительные усилия и инвестируют средства, чтобы ликвидировать эти пробелы в области STEM (наука, технологии, инженерия и математика). Но даже здесь новости в целом обнадеживают. Сейчас на долю женщин приходится 36 % степеней бакалавриата по предметам STEM, в том числе 41 % степеней по физическим наукам и 42 % по математике и статистике.⁴⁹ Однако не наблюдается эквивалентного роста для мужчин в традиционно женских областях, таких как преподавание или сестринское дело, а ведь в этих сферах деятельности возможен значительный рост рабочих мест. (О том, как привлечь больше мужчин на эти ЗДОРОВЫЕ профессии, я расскажу в главе 11).

В каждой стране ОЭСР сейчас больше молодых женщин, чем молодых мужчин со степенью бакалавра.⁵⁰ На рисунке 1-3 показан разрыв в некоторых странах. Насколько я могу судить, никто не предсказывал, что женщины будут обгонять мужчин так быстро, так полно и так последовательно по всему миру.


ПОЗИТИВНЫЕ ДЕЙСТВИЯ ИСПОДТИШКА


Почти в каждом колледже США сейчас учатся в основном женщины. Последними бастионами мужского доминирования были колледжи Лиги плюща, но теперь в каждом из них большинство студентов - женщины.⁵¹ Неуклонная феминизация кампусов колледжей может не беспокоить многих людей, но есть по крайней мере одна группа, члены которой действительно беспокоятся об этом: сотрудники приемных комиссий. "Как только вы становитесь решительно женским студентом, - пишет Дженнифер Делаханти, бывший декан приемной комиссии колледжа Кеньон, - все меньше мужчин и, как выясняется, все меньше женщин находят ваш кампус привлекательным". В провокационной статье New York Times, озаглавленной "Всем девушкам, которых я отвергла", она публично сказала то, что все знают втайне: "Стандарты для поступления в самые избирательные колледжи сегодня жестче для женщин, чем для мужчин"⁵².

Доказательства этой скрытой программы позитивных действий в пользу мужчин кажутся вполне очевидными. В частных колледжах уровень приема мужчин значительно выше, чем женщин.⁵³ Например, в Вассаре, где 67 % студентов - женщины, уровень приема мужчин осенью 2020 года составил 28 % по сравнению с 23 % для женщин.⁵⁴ Вы можете задаться вопросом, не потому ли это, что Вассар был женским колледжем до 1969 года. Но в Кеньоне, который до того же года был полностью мужским, наблюдается аналогичная проблема.⁵⁵ В отличие от этого, государственные колледжи и университеты, в которых обучается подавляющее большинство студентов, не имеют права на дискриминацию по половому признаку. Это одна из причин, почему в них больше женщин, чем в частных учебных заведениях.

Вы можете подумать, что такая дискриминация по половому признаку в частных колледжах незаконна. Но прочтите мелкий шрифт раздела 1681 (a) (1) Раздела IX, который содержит специальное исключение из положений о дискриминации по половому признаку для приема в частные колледжи. Понятно, что это положение было сделано для защиты небольшого числа однополых колледжей, а не для того, чтобы разрешить дискриминацию в пользу мужчин в других учебных заведениях. Доказательства гендерной предвзятости были настолько весомыми, что в 2009 году Комиссия по гражданским правам США начала расследование, несмотря на лазейку в разделе 1681. Гейл Хериот, комиссар, инициировавшая расследование, заявила, что были "доказательства целенаправленной дискриминации ."⁵⁶ Но два года спустя дело было прекращено, якобы по причине "недостаточных данных". Никто точно не знает, что произошло за кулисами. Но я думаю, что оценка Ханны Розин верна. "Признание более широкой динамики, которая привела бы к такой дискриминации, было угрозой совсем другого рода", - пишет она. "Это означало признать, что в этих сферах в помощи нуждались именно мужчины".⁵⁷

Как откровенно сказал Делахунти из Кеньона в интервью Wall Street Journal в сентябре 2021 года: "Есть ли палец на чаше весов для мальчиков? Безусловно. Вопрос в том, правильно это или нет?"⁵⁸ Мой ответ - неправильно. Несмотря на то, что я глубоко обеспокоен тем, как мальчики и мужчины отстают в образовании, позитивные действия не могут быть решением проблемы. (В значительной степени разрыв на уровне колледжа отражает разрыв в средней школе. Различия в раннем поступлении в колледж могут быть объяснены, например, различиями в среднем балле в средней школе. Навыки чтения и устной речи в значительной степени прогнозируют поступление в колледж, и именно в этих областях мальчики больше всего отстают от девочек.⁵⁹ Уравнивание навыков устной речи в 16 лет позволило бы ликвидировать гендерный разрыв при поступлении в колледж в Англии, согласно исследованию Эстебана Аучехо и Джонатана Джеймса.⁶⁰ Поэтому наиболее срочной задачей является улучшение результатов для мальчиков в системе школьного образования К-12.


ПРЕКРАЩЕНИЕ И ОТСЕВ


Но привлечение большего числа мужчин в колледж - это только первый шаг. Им также нужна помощь в окончании колледжа. Сейчас большинство студентов в какой-то момент поступают в колледж, но главная проблема заключается в его окончании. И здесь также существует гендерный разрыв. Студенты мужского пола чаще "бросают учебу", то есть отвлекаются от нее, а также чаще "отсеиваются" и не заканчивают колледж вообще. Различия не тривиальны: 46 % студенток, поступивших в государственный четырехлетний колледж, закончили его через 4 года; среди студентов-мужчин эта доля составляет 35 %. (Разрыв несколько сокращается в показателях 6-летнего выпуска.)⁶¹

В 2019 году Мэтью Чингос, директор Центра данных и политики в области образования при Городском институте, в сотрудничестве с газетой New York Times составил турнирную таблицу колледжей по уровню отсева. Чтобы справедливо оценить работу учебных заведений, Чингос принял во внимание тип студентов, которых они набирают, поскольку "в среднем колледжи имеют более низкий уровень отсева, если они набирают больше студентов с низким уровнем дохода, больше чернокожих и латиноамериканских студентов, больше мужчин, больше студентов старшего возраста и больше студентов с низким баллом SAT или ACT"⁶². Другими словами, колледжи не должны быть наказаны за высокий уровень отсева, поскольку они набирают больше неблагополучных студентов. Когда я читал эту статью, мне бросилось в глаза добавление "больше мужчин" в этой категории. Это показывает, что отставание половины населения в образовании теперь является для социологов обычным фактом, который следует добавить к стандартной батарее статистического контроля.

Цифры Чингоса говорят о том, что при прочих равных условиях в четырехлетней школе с полным женским составом процент отсева будет на 14 процентных пунктов выше, чем в школе с полным мужским составом.⁶³ Это не маленькая разница. На самом деле, если принять во внимание другие факторы, такие как результаты тестов, доход семьи и оценки в средней школе, студенты-мужчины подвергаются большему риску бросить колледж, чем любая другая группа, включая бедных студентов, чернокожих студентов или студентов иностранного происхождения.

Однако низкая успеваемость мужчин в колледже окутана немалой тайной. Ученые мирового уровня изучали низкие показатели поступления и окончания колледжей среди мужчин, накапливая данные и проводя регрессии. Я читал эти исследования и разговаривал со многими из них. Краткое резюме их выводов таково: "Мы не знаем". Экономические стимулы не дают ответа. Даже такой ученый,как Дэвид Аутор из Массачусетского технологического института, который глубоко изучил данные, в итоге назвал тенденции в образовании мужчин "загадочными"."Мэри Курнок Кук, бывший глава британской службы приема в университеты и колледжи, говорит, что она "озадачена"⁶⁶ Когда я спросила одного из своих сыновей, что он думает по этому поводу, он поднял глаза от своего телефона, пожал плечами и сказал: "Не знаю". Что, возможно, на самом деле было идеальным ответом.

Один из факторов, которому уделяется слишком мало внимания в этих дебатах, - это разрыв в развитии: мужская префронтальная кора головного мозга с трудом догоняет женскую вплоть до двадцатилетнего возраста. Мне кажется очевидным, что девушки и женщины всегда были лучше подготовлены к успешному обучению в колледже, как и в средней школе, и что это стало очевидным по мере того, как гендерные представления об обучении в колледже рушились.⁶⁷

Но я думаю, что здесь тоже есть разрыв в стремлениях. Большинство молодых женщин сегодня вбивают себе в голову, что образование имеет большое значение, и большинство из них хотят быть финансово независимыми. По сравнению со своими одноклассниками мужского пола, они видят свое будущее в более четком фокусе. В 1980 году старшеклассники-мужчины гораздо чаще, чем их одноклассницы, говорили, что непременно собираются получить высшее образование, но всего за два десятилетия разрыв изменился в другую сторону.⁶⁸ Возможно, именно поэтому многие меры в сфере образования, включая бесплатное обучение в колледже, приносят женщинам больше пользы, чем мужчинам: их стремление к успеху просто выше. Девочкам и женщинам и раньше приходилось бороться с женоненавистничеством. Теперь мальчики и мужчины борются за мотивацию внутри.

Книга Ханны Розин 2012 года имеет мрачное название: "Конец мужчин". Но тогда она не теряла надежды на то, что мужчины примут вызов, особенно в сфере образования. "Нет ничего лучше, чем быть побежденным год за годом, чтобы заставить вас пересмотреть свои возможности", - писала она.⁶⁹ Однако пока что признаков пересмотра мало. Выявленные ею тенденции усугубились. Не произошло также никакого переосмысления образовательной политики или практики. Курнок Кук правильно называет это "массивным слепым пятном в политике"⁷⁰ За почетными исключениями - вперед, в Шотландию! - разработчики политики были болезненно медлительны, чтобы приспособиться. Возможно, в этом нет ничего удивительного. Гендерный разворот в образовании был поразительно быстрым. Это похоже на то, как иголки магнитного компаса меняют свою полярность. Внезапно север стал югом. Внезапно работа по достижению гендерного равенства означает, что нужно сосредоточиться на мальчиках, а не на девочках. Дезориентирует, если не сказать больше. Неудивительно, что наши законы, институты и даже отношение к людям еще не догнали нас. Но они должны догнать нас.


ГЛАВА 2. БЛЮЗ РАБОЧЕГО ЧЕЛОВЕКА


Мужчины теряют позиции на рынке труда


В мае 2019 года на конференции, организованной Федеральным резервом, я был модератором дискуссии о неравенстве. Я спросил Мелиссу Кирни, высококлассного экономиста, о том, кто ее больше беспокоит - женщины или мужчины. Она на мгновение задумалась. Я задал ей этот вопрос перед весьма влиятельной аудиторией. "Меня действительно беспокоит то, насколько мужчины в США оттеснены на второй план в экономической, социальной и семейной жизни", - ответила она. "В течение 20, 30 или 40 лет... ученые фокусировались на женщинах и детях. Теперь нам действительно нужно подумать о мужчинах"¹.

Кирни отважилась сказать это, и она права. Если мы хотим иметь более динамичную экономику и лучшее будущее для наших детей, мы должны помочь мужчинам, которые испытывают трудности. В главе 1 я описал проблемы, с которыми они сталкиваются в школах. Здесь я перехожу к вопросу о работе. Все большее число мужчин отказываются от оплачиваемой работы. Для большинства тех, кто имеет работу, заработная плата не растет. Фактически, одной из причин сокращения гендерного разрыва в оплате труда является снижение медианной заработной платы мужчин, что, безусловно, является неоптимальным способом достижения равенства. Но в то время как женщины догоняют мужчин, работники, занимающие верхние ступени экономической лестницы - как мужчины, так и женщины, - отрываются от всех остальных. Самые глубокие трещины на рынке труда - это не трещины между мужчинами и женщинами. Они находятся между белыми и чернокожими работниками, между верхушкой среднего класса, средним классом и рабочим классом, о чем пойдет речь в главах 4 и 5.

"Многие представители женского движения и средств массовой информации жалуются, что мужчины просто "не хотят отдавать бразды правления", - пишет Сьюзан Фалуди. "Но это, похоже, мало применимо к ситуации большинства мужчин, которые в одиночку чувствуют не бразды правления в своих руках, а их укус во рту"².

Я описываю и объясняю здесь ухудшение экономического положения этих мужчин. Очень важно понять, что это результат разрушения рынка труда, а не слабости самих мужчин. Это структурная, а не личная проблема.


ПРОПАВШИЕ МУЖЧИНЫ


"За последние три десятилетия, - пишут экономисты Дэвид Аутор и Мелани Вассерман, - траектория развития рынка труда для мужчин в США пошла вниз по четырем направлениям: приобретение навыков, уровень занятости, профессиональный рост и уровень реальной заработной платы".³ Если это звучит плохо, то так оно и есть. За последние полвека участие мужчин в рабочей силе в США сократилось на 7 процентных пунктов - с 96 до 89 %.⁴ Еще до того, как COVID обрушил экономику в 2020 году, в стране насчитывалось 9 миллионов мужчин в самом зрелом трудоспособном возрасте, которые не имели работы. (Экономисты определяют "лучшие" годы как начинающиеся с 25 лет и заканчивающиеся, как ни странно, в 54 года). Технический, но важный момент заключается в том, что большинство мужчин, не имеющих работы, не учитываются в официальной статистике как "безработные", потому что они не ищут работу. Каждый третий мужчина со средним образованием сейчас находится вне рабочей силы.⁵ Это 5 миллионов мужчин, резервная армия рабочей силы, вдвое превышающая численность Народно-освободительной армии Китая.⁶

Если вы думаете о человеке, пострадавшем от экономических тенденций, то, скорее всего, имеете в виду мужчину средних лет. Но проблема касается не только пожилых мужчин. Как видно из рисунка 2-1, наибольшее падение занятости среди мужчин произошло среди молодых людей в возрасте от 25 до 34 лет.⁷ (Вот это и есть прайм-стаж) Ученые не знают точно, почему. Стандартные экономические модели с трудом объясняют это. Одно из популярных объяснений - привлекательность видеоигр, и легко понять, что игра в Assassin's Creed может показаться лучшим способом провести день, чем малооплачиваемая и непривлекательная работа. Но на самом деле никаких веских доказательств этому нет. Тщательный анализ данных об использовании времени, проведенный экономистом Университета Северной Каролины Греем Кимброу, показывает, что количество часов, проведенных за играми, больше всего увеличилось среди мужчин в возрасте 20 лет, но с всего трех часов в неделю в 2005 году до шести часов в неделю в 2015 году.⁸ Основываясь на собственном опыте отца трех сыновей, мне пришлось дважды проверить, действительно ли эти цифры относятся к часам в неделю, а не к часам в день. Эта цифра не кажется мне оправданием для моральной паники. Кимброу также показывает, что мужчины, которые уходят с работы, не увеличивают количество часов, проведенных за играми, по крайней мере, не сразу.


Рисунок 2-1 Меньше мужчин, больше женщин на работе


Изменение соотношения занятости и численности населения, 1979 - 2019 гг.



Примечание: с поправкой на сезонность; возраст 25-54; 1979 г. - 2019 г. - 4 кв.


Источник: Бюро статистики труда, серия "Соотношение занятости и населения".


Экономический спад 2020 года, очевидно, привел к резкому падению уровня занятости как мужчин, так и женщин, так как экономический кризис перевел экономику в состояние покоя. Всего за несколько недель женская занятость упала на 16 %, а мужская - на 13 %.⁹ Разница была частично обусловлена тем, что все больше женщин отрывались от работы, чтобы ухаживать за детьми, особенно в связи с закрытием школ и детских учреждений, и этот спад быстро окрестили "женской рецессией"."Безусловно, рецессия 2020 года отличалась от недавних экономических спадов, когда "снижение занятости женщин было едва заметным", как отмечает экономист из Мичигана Бетси Стивенсон.¹¹ Большинство предыдущих рецессий были, по сути, "хе-кризисами", которые сильнее всего ударяли по занятости мужчин.

Но поскольку спад 2020 года был искусственно вызван пандемией, а не обычным экономическим циклом, восстановление также было чрезвычайно быстрым. Рецессия COVID-19 была очень резкой, но очень короткой, длилась всего два месяца, меньше, чем любой предыдущий спад в истории США. Гендерный разрыв также сократился очень быстро. К октябрю 2021 года снижение доли участия в рабочей силе на 1,2 процентных пункта с начала пандемии равномерно распределилось между мужчинами и женщинами.¹² Есть и хорошие новости: доля женщин-руководителей высшего звена выросла до 24 % в 2020 году по сравнению с 21 % в 2019 году.¹³


РОБОТЫ И ТОРГОВЛЯ


Занятость мужчин упала не потому, что они вдруг стали бездельниками или не хотят работать, а из-за изменений в структуре экономики. Проще говоря, мужские рабочие места подверглись двойному удару - автоматизации и свободной торговли. Машины представляют собой большую угрозу для работающих мужчин, чем для женщин, по двум причинам. Во-первых, в профессиях, наиболее подверженных автоматизации, чаще работают мужчины, как показывает мой коллега Марк Муро. "Мужчины... составляют более 70 % производственных профессий, более 80 % транспортных профессий и более 90 % строительных и монтажных профессий", - пишет он.¹⁴ И это "все группы профессий с текущим объемом задач, в которых прогнозируемый уровень автоматизации выше среднего". Напротив, женщины составляют большую часть рабочей силы в относительно безопасных для автоматизации профессиях, таких как здравоохранение, персональные услуги и образование.

Во-вторых, мужчинам часто не хватает навыков, необходимых в мире автоматизации. По словам Энди Холдейна, главного экономиста Банка Англии, "высококвалифицированные и высокооплачиваемые рабочие места будущего могут включать в себя навыки, которые лучше измерять с помощью EQ (показатель эмоционального интеллекта), чем IQ".¹⁵ Уже есть доказательства того, что преимущество женщин в "мягких навыках" дает им дополнительный толчок на рынке труда США.Важно отметить, что существует большая неопределенность относительно возможного влияния автоматизации. Эмпирические оценки сильно разнятся.¹⁷ Опасения по поводу автоматизации существуют уже давно, и они часто являются косвенным отражением более широкого пессимизма в отношении экономических тенденций.

Одно можно сказать наверняка. Долгосрочный отказ от работ, требующих физической силы, будет продолжаться. Сейчас менее чем каждая десятая работа требует того, что Бюро трудовой статистики называет "тяжелым трудом", который требует "периодически поднимать или переносить 51-100 фунтов или часто поднимать или переносить 26-50 фунтов".¹⁸ По мере снижения мышечной нагрузки мужчины становятся физически слабее; одно из исследований силы хвата, хорошего показателя общей силы, показало резкое снижение среди мужчин.¹⁹ Между тем, и это, возможно, более удивительно, женщины становятся физически сильнее. В 1985 году средний мужчина в возрасте около 30 лет мог сжать вашу руку с силой примерно на 30 фунтов больше, чем женщина того же возраста. Сегодня их сила хвата примерно одинакова.

Цель не в том, чтобы вернуть мужчинам мужественные профессии, а в том, чтобы помочь им адаптироваться. В большинстве профессий, которые будут расти в ближайшие годы, преобладают женщины.²⁰ Была предпринята похвальная и в целом успешная попытка привлечь больше девочек и женщин к работе, требующей навыков STEM (науки, технологии, инженерии и математики). Но сейчас еще важнее привлечь мужчин к работе, которую я называю HEAL (здравоохранение, образование, администрирование и грамотность) и в которой доминируют женщины.

С одной стороны, рабочим мужчинам противостоят роботы, а с другой - рабочие из других стран. Свободная торговля стала горячей политической темой в последние годы, особенно в США и Великобритании. Здесь трудно распутать эмпирические узлы. Нет сомнений в том, что китайский импорт вызвал сокращение занятости в обрабатывающей промышленности США примерно на 2-3 миллиона рабочих мест.²¹ Однако продолжаются споры о том, было ли компенсировано увеличение других видов рабочих мест; насколько сильно это влияние было ограничено определенными местами, особенно Средним Западом; был ли шок краткосрочным, всего на несколько лет после 2001 года, когда Китай вступил во Всемирную торговую организацию, или имел более длительные последствия; и усугубило ли ситуацию снижение географической мобильности работников. Другими словами, все очень сложно. Кроме того, очень трудно получить хорошую экономическую оценку выгод от более дешевых китайских товаров для десятков миллионов потребителей (а также для рабочих в Китае, конечно, но это уже другой спор).

Я скажу, что политическая элита десятилетиями самодовольно утверждала, что в чистом виде и в долгосрочной перспективе свободная торговля - это хорошо. Так оно и есть. Однако по определению это означает, что некоторые люди, в некоторых местах, страдают прямо сейчас. Даже левоцентристские политики, заявляющие, что они на стороне рабочего класса, мало что сделали, чтобы помочь этим людям. Распространенное в политических кругах предположение о том, что часть выигрыша от свободной торговли будет перераспределена в пользу проигравших, оказалось в основном ложным. Жертв, по сути, бросили на произвол судьбы, велели им отбросить свои идеи, заняться "обучением на протяжении всей жизни" и следовать программе. Вплоть до 2017 года на каждый доллар, который правительство США тратило на помощь рабочим по коррекции торговли, 25 долларов уходило на налоговые субсидии в эндаументы элитных колледжей²² (Закон о сокращении налогов и рабочих местах от 2017 года ввел налог на крупнейшие из этих фондов). В условиях популистской реакции технократическая элита в значительной степени пожинала то, что посеяла.

Уровень оплаты труда работающих мужчин, как правило, ниже, чем в прошлом. Медианная реальная почасовая заработная плата мужчин достигла своего пика в 1970-х годах и с тех пор продолжает снижаться. В то время как заработная плата женщин росла повсеместно в течение последних четырех десятилетий, заработная плата мужчин на большинстве ступеней лестницы доходов стагнировала. Только у мужчин, занимающих верхние позиции, наблюдался значительный рост доходов. Мужчины, поступившие на работу в 1983 году, за всю свою трудовую жизнь заработают в реальном выражении примерно на 10 % меньше, чем те, кто начал работать в 1967 году. Для женщин, напротив, заработок за всю жизнь вырос на 33 % за тот же период (эти цифры приведены по медиане).²³ По сухим словам Бюро статистики труда США, "долгосрочная тенденция в заработках мужчин была совершенно иной, чем у женщин."²⁴


А КАК ЖЕ ГЕНДЕРНЫЙ РАЗРЫВ В ОПЛАТЕ ТРУДА?


Когда я нанимаю нового научного сотрудника, я прошу его прочитать две книги. Первая - How to Write Short: Word Craft for Fast Times Роя Питера Кларка, отличное руководство по четкому общению в мире блогов и твитов (и да, я знаю, что книга, которую вы держите в руках, довольно длинная). Другая книга - "Фактология: Ten Reasons We're Wrong about the World-and Why Things Are Better Than You Think" Ханса Рослинга, который является для меня чем-то вроде героя. Рослинг, умерший в 2017 году, был шведским врачом, который стал одержим проблемой статистической безграмотности. В книге "Фактология" он описывает различные предубеждения, в том числе "инстинкт прямой линии" - предположение, что историческая линия тренда останется неизменной в будущем; "инстинкт негативизма" - склонность думать, что ситуация, скорее всего, ухудшается; и "инстинкт разрыва" - "базовое стремление разделить вещи на две разные группы, между которыми нет ничего, кроме пустого промежутка"²⁵ Как говорит Рослинг, "мы любим дихотомизировать".

Инстинкт разрыва приводит к двум ошибкам восприятия. Во-первых, мы не видим, насколько сильно пересекаются две группы. Во-вторых, мы не видим больших разрывов, которые обычно существуют внутри групп, а не между ними.

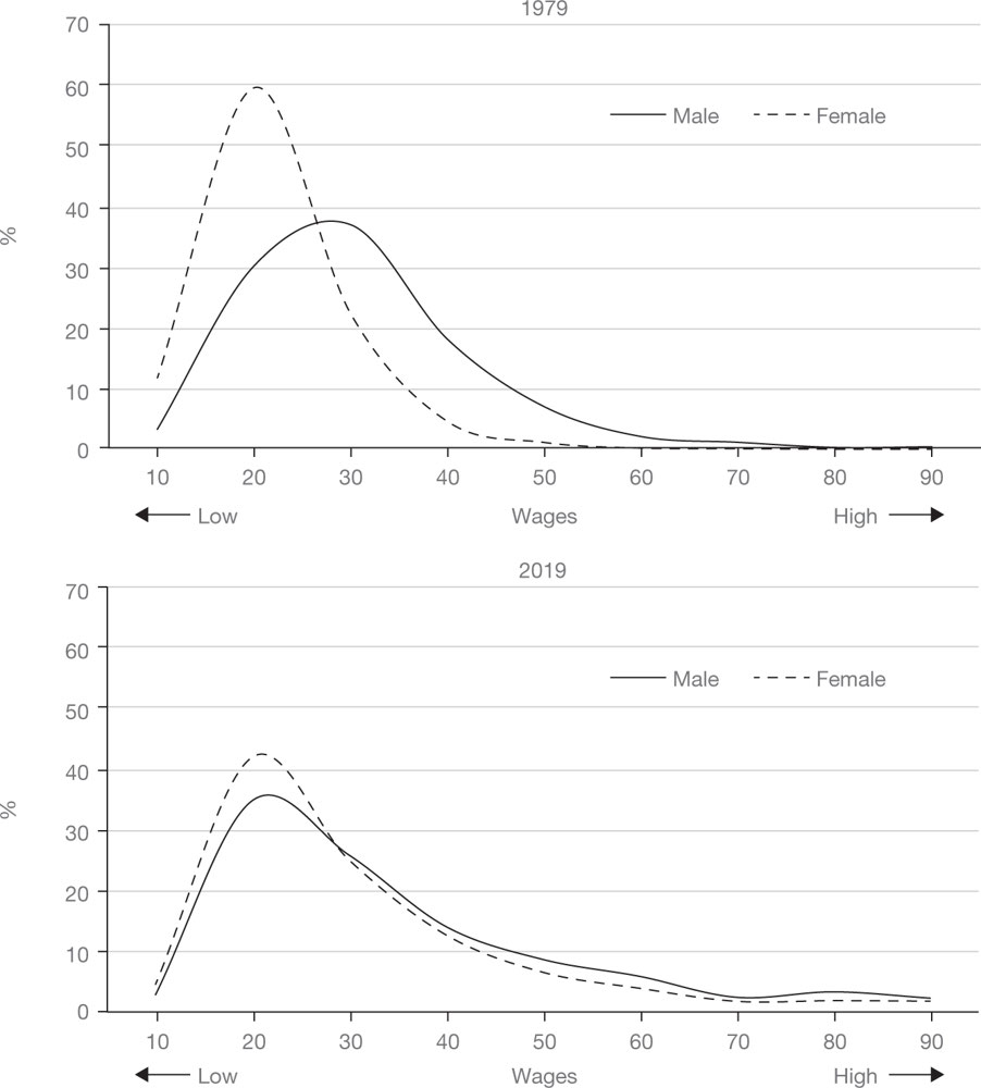
В качестве примера можно привести гендерный разрыв в оплате труда. Женщина, находящаяся в середине женского распределения заработной платы (для круглогодичных работников с полной занятостью), зарабатывает на 82 % больше, чем мужчина, находящийся в середине мужского распределения: в 2020 году - 891 доллар и 1082 доллара в неделю соответственно.²⁶ Когда мы слышим об этом разрыве, естественно, возникает мысль: "Женщины зарабатывают меньше, чем мужчины". Но на самом деле распределение заработной платы женщин поразительно похоже на распределение заработной платы мужчин, причем сегодня оно гораздо более схоже, чем несколько десятилетий назад; на рисунке 2-2 показано распределение заработной платы мужчин и женщин в 1979 году и в 2019 году.

Как видите, распределения теперь довольно плотно пересекаются. На самом деле 40 % женщин зарабатывают больше, чем типичный мужчина, по сравнению с 13 % в 1979 году. То, что две из пяти женщин зарабатывают больше, чем 50 % мужчин, многим кажется нелогичным. В июне 2021 года я опросил своих подписчиков в Twitter, спросив их, какая доля работающих женщин, по их мнению, зарабатывает больше, чем средний мужчина: 10 %, 20 %, 30 % или 40 %. Опрос набрал всего 264 голоса, так что я не собираюсь делать здесь никаких научных заявлений. Но мои подписчики, будучи людьми академического склада, скорее всего, лучше осведомлены о подобных вещах, чем большинство других. Но все же голоса были отданы в порядке убывания за 20 %, 10 %, 30 % и, наконец, правильный ответ - 40 %. Инстинкт разрыва силен.

Графики заработной платы на рисунке 2-2 иллюстрируют другую опасность мышления, основанного на инстинкте разрыва, - упускать из виду степень различий внутри групп. Распределения зарплат мужчин и женщин перекрываются в большей степени, чем в 1979 году, но они также гораздо более разрозненны. Разрыв между высокооплачиваемыми и низкооплачиваемыми женщинами и, в меньшей степени, между высокооплачиваемыми и низкооплачиваемыми мужчинами значительно увеличился. Близость распределения зарплат между мужчинами и женщинами - это, конечно, потрясающе хорошая новость с точки зрения гендерного равенства. За последние полвека произошло то, что Клаудия Голдин называет "грандиозной гендерной конвергенцией": резко сократился разрыв между мужчинами и женщинами не только в заработках, но и в уровнях занятости, количестве отработанных часов и типах профессий.²⁷ Правда и то, что в последние лет прогресс в сокращении разрыва в оплате труда замедлился, несмотря на успехи женщин в учебе.


РИСУНОК 2-2 Сокращение разрыва в оплате труда


Распределение заработной платы мужчин и женщин в 1979 и 2019 годах



Примечание: доллары 2019 года, скорректированные на инфляцию с помощью ИПЦ-U-RS. На рисунке показана сглаженная линия, на оси x - доля работников в каждом диапазоне почасовой заработной платы в 10 долларов.


Источник: Current Population Survey, расчеты автора.


Так в чем же причина оставшегося разрыва? Ответ на этот вопрос имеет большое значение, особенно когда речь идет о возможных решениях.

Основные факты не оспариваются. Как я уже говорил, типичная (т. е. медианная) женщина, работающая полный рабочий день, зарабатывает примерно на 82 % больше, чем типичный мужчина. Вопрос в том, почему. Здесь ситуация быстро накаляется. Для левых феминисток разрыв в оплате труда доказывает патриархат. "Разрыв в оплате труда - это вопиюще несправедливый пережиток патриархальной трудовой системы, который преследует экономический потенциал женщин на протяжении всей их жизни", - говорит Тони Ван Пелт, президент Национальной организации женщин.²⁸ Консерваторы же отвергают идею разрыва в оплате труда как феминистский миф, используемый для создания впечатления о неравенстве, которого просто не существует. По словам Кристины Хофф Соммерс из Американского института предпринимательства, разрыв в оплате труда - это "массово дискредитированный фактоид".²⁹ Соммерс не одинока. В ходе опроса 2019 года 46 % мужчин и 30 % женщин заявили, что проблема неравной оплаты труда "выдумана для достижения политических целей"⁰.

Разрыв в оплате труда точно описывает разницу в экономических ресурсах, которыми располагают отдельные мужчины и женщины, находящиеся в середине распределения зарплат. Это не миф. Это математика. Настоящие разногласия возникают не по поводу того, зарабатывает ли типичная женщина меньше типичного мужчины, а по поводу того, почему. Консерваторы ссылаются на исследования, показывающие, что если принять во внимание целый ряд факторов, влияющих на оплату труда, - часы работы, отрасль, опыт, стаж, местоположение и т. д., - то разрыв в оплате труда практически исчезает.³¹ По данным различных исследований такого рода, скорректированный гендерный разрыв в оплате труда составляет около 5 %. В предисловии к исследованию, проведенному в 2009 году по заказу федерального правительства, заместитель помощника министра труда Чарльз Джеймс пришел к выводу, что "необработанный разрыв в оплате труда не должен использоваться в качестве основы для обоснования корректирующих действий. На самом деле, исправлять может быть нечего"³².

Безусловно, существует очень мало доказательств того, что женщинам платят меньше, чем мужчинам, за выполнение той же работы тем же способом. Женщинам платят меньше, потому что они выполняют другую работу, или работают по-другому, или и то, и другое. Но, разумеется, это еще не конец истории. Женщины могут зарабатывать меньше, потому что они занимают меньше руководящих должностей, но сам этот факт может быть результатом институционального сексизма. Точно так же верно, что женщины, как правило, больше мужчин заняты в низкооплачиваемых профессиях и отраслях, что объясняет, возможно, треть разрыва в оплате труда. Но это может отражать социализированные гендерные роли, не в последнюю очередь связанные с семейными обязанностями, или обесценивание работы, которую выполняют женщины, или и то, и другое. В любом случае, несмотря на разрыв в оплате труда между профессиями, гендерный разрыв в оплате труда внутри профессий столь же велик.


РАЗРЫВ В ОПЛАТЕ ТРУДА - ЭТО РАЗРЫВ В ВОСПИТАНИИ ДЕТЕЙ


Разрыв в оплате труда можно объяснить одним словом: дети. Среди молодых взрослых, особенно если они бездетны, разрыв в оплате труда практически исчез.³³"Есть замечательные свидетельства того, что заработки мужчин и женщин движутся синхронно вплоть до рождения первого ребенка у пары", - говорит экономист Марианна Бертран. "Именно тогда женщины проигрывают и никогда не восстанавливаются".³⁴ Что еще хуже, решающие годы для роста заработной платы приходятся на середину 30-х годов, что, как отмечает Мишель Будиг, другой ведущий экономист в этой области, "является тем самым периодом, когда интенсивные семейные обязанности, особенно для матерей, вступают в полную силу".³⁵ Траектория заработка для женщин, не имеющих детей, похожа на мужскую. А вот для матерей - нет. Чем больше у женщин детей, тем больше они отстают как в плане занятости, так и в плане заработка.³⁶

Одним из лучших доказательств того, что гендерный разрыв в оплате труда - это в основном разрыв в оплате труда родителей, являются результаты новаторских исследований, проведенных в Швеции и Норвегии, в которых сравнивались новоиспеченные матери, состоящие в однополых отношениях, и матери, состоящие в гетеросексуальных отношениях. Илва Моберг из Шведского института оценки рынка труда и образовательной политики показывает, что влияние на заработок биологической матери практически одинаково в обоих типах семей.³⁷ Между тем, неродные матери в лесбийских парах демонстрируют такую же структуру заработка, как и отцы в гетеросексуальных парах. Со временем неравенство, похоже, выравнивается в лесбийских парах, если у них больше одного ребенка, поскольку каждая из них по очереди становится родной матерью. В гетеросексуальных парах, напротив, разрыв увеличивается с каждым ребенком.

Исследование водителей автобусов и поездов, работающих в Транспортном управлении залива Массачусетс (MBTA), проведенное Валентином Болотным и Натальей Эмануэль, дуэтом экономистов из Гарварда, также является убедительным доказательством.³⁸ Женщины составляют 30% водителей и в среднем зарабатывают 0,89 доллара на каждый доллар, заработанный их коллегами-мужчинами. Сосредоточившись на мужчинах и женщинах, выполняющих одну и ту же работу у одного и того же работодателя, Болотный и Эмануэль могут выявить различные факторы, способствующие разнице в оплате труда. Они пришли к выводу, что разрыв в оплате труда "можно полностью объяснить тем, что, имея одинаковые возможности выбора на рабочем месте, женщины и мужчины делают разный выбор".³⁹ Мужчины в два раза чаще работали сверхурочно (что оплачивается дополнительно), даже по первому требованию. Они также брали меньше часов неоплачиваемого отпуска и так далее. Среди машинистов поездов с детьми разрыв был еще больше. Отцы требовали еще большей оплаты за сверхурочную работу, а матери - больше времени на отдых.

В некотором смысле наиболее логично рассматривать женщин, находящихся на вершине лестницы, поскольку у них самый широкий выбор и самая большая экономическая власть. Возьмем женщин, окончивших Гарвард с дипломом специалиста или аспиранта, которые, возможно, являются членами самой элитной образовательной группы в мире. Через пятнадцать лет после окончания университета только половина этих женщин работает полный рабочий день. Что же произошло? "После преодоления стольких препятствий, после обретения бесчисленных свобод препятствие, которое всегда существовало, стало кристально ясным", - пишет Клаудия Голдин, детально изучившая эту группу.⁴⁰ "Барьер - это привязка ко времени. Дети требуют времени; карьера требует времени". Или возьмем выпускников программы MBA Чикагского университета. Сразу после окончания бизнес-школы женщины зарабатывали на 12 % меньше, чем их однокурсники-мужчины, и этот разрыв во многом объяснялся тем, какую работу они выбирали. Через тринадцать лет эта разница значительно увеличилась и составила около 38 %.⁴¹ Но одна подгруппа женщин, получивших степень MBA, не стала отставать. Теперь вам уже не нужно объяснять, какая именно: те, у кого нет детей.

Для большинства женщин рождение ребенка - это экономический эквивалент падения метеорита. Для большинства мужчин - едва ли. Возникает вопрос, являются ли эти разные роли свободно выбранными или нет. Я подробнее остановлюсь на этом вопросе позже. Пока же скажу, что матери маленьких детей, похоже, хотят больше времени проводить дома. В только что упомянутом исследовании Чикагского университета MBA женщины, которые чаще всего сокращали свой рабочий день, имели самых высокооплачиваемых мужей. Но даже если в данном случае речь идет о реальных предпочтениях, необходимо добавить два момента. Во-первых, цена на рынке труда, которую приходится платить за этот выбор, не должна быть такой высокой, как сейчас. Во-вторых, когда дети подрастают, есть все основания для того, чтобы отцы больше занимались домашним хозяйством.


ЖЕНЩИНА ЗА 2 ТРИЛЛИОНА ДОЛЛАРОВ


Мы должны поблагодарить женщин, и особенно матерей, за то, что они обеспечивали экономический рост на протяжении как минимум одного поколения. В 2019 году женщины составляли 47 % всех работников.⁴² Экономика США на 2 триллиона долларов больше, чем если бы участие женщин в экономике осталось на уровне 1970-х годов, говорится в докладе Совета экономических консультантов за 2015 год. Для семей со скромными или низкими доходами рост женского труда и заработной платы также приглушил некоторую боль от экономического спада мужчин. Совет пришел к выводу: "По сути, весь прирост доходов, который американские семьи среднего класса пережили с 1970 года, обусловлен ростом заработков женщин"⁴³.

Наибольшие изменения в сфере занятости произошли среди замужних женщин с детьми. В 1970 году большинство матерей не имели оплачиваемой работы, а сегодня почти три из четырех работают.⁴⁴ Даже среди матерей дошкольников оплачиваемая работа теперь является скорее нормой, чем исключением. Женщины занимают около половины руководящих должностей в экономике США.⁴⁵ Многие профессии, в которых ранее преобладали мужчины, включая медицину и финансовый менеджмент, быстро становятся женскими, особенно среди молодых специалистов. Доля женщин-юристов увеличилась в десять раз - с 4 % в 1980 году до 43 % в 2020 году.⁴⁶ Изменения произошли не только в экономической деятельности, но и в экономических устремлениях и ожиданиях. В 1968 году только 33 % молодых женщин в возрасте от 20 до 20 лет заявляли, что рассчитывают иметь оплачиваемую работу в возрасте 35 лет. К 1980 году эта доля составляла 80 %.⁴⁷ (Сейчас этот вопрос исключен из опроса). Идея о том, что женщины будут стремиться к достижению профессиональных и экономических целей, превратилась из новинки в обыденность. Когда вы в последний раз слышали термин "карьеристка"?

"Период в 200 000 лет, когда мужчины были главными, действительно подходит к концу", - пишет Ханна Розин в книге "Конец мужчин". "Глобальная экономика становится местом, где женщины успешнее мужчин".⁴⁸ Подождите, что? Женщины становятся более успешными, чем мужчины? Неудивительно, что на Розин обрушилось столько гнева, когда вышла ее книга. "Феминисткам не нравится этот аргумент, - заметила Розин позже, - потому что, по их словам, он создает впечатление, будто женщины полностью победили и больше не о чем беспокоиться"⁴⁹ Это не мнение Розин, впрочем, как и не мое. Есть о чем беспокоиться с точки зрения возможностей женщин , в том числе в высших эшелонах экономики. Только одна из пяти женщин занимает пост директора компании, а в сорока одной из компаний, входящих в список Fortune 500, есть женщина-руководитель.⁵⁰ Это, конечно, лучше, чем в 1995 году, когда этот показатель был равен нулю. Но это все равно шокирующе мало. Доля венчурного капитала, получаемого женщинами-учредителями, составляет 3 %.⁵¹ Так что да, женщинам еще есть над чем работать, особенно на вершине экономики. Но на более низких ступенях экономической лестницы часто приходится бороться с мужчинами.

За последние несколько десятилетий девушки и женщины обошли мужчин в школе и в университетских городках. В экономической сфере многие мужчины - хотя и не элитные - также потеряли позиции, поскольку женщины вырвались вперед. Это имело важные последствия для культуры в целом, особенно в плане семейной жизни. Экономический подъем женщин резко изменил условия торговли между полами. Многие мужчины с трудом приспосабливаются к этому.


ГЛАВА 3. ВЫВИХНУТЫЕ ОТЦЫ


Отцы утратили свою традиционную роль в семье

В июне 1955 года Адлай Стивенсон, бывший губернатор штата Иллинойс и двукратный кандидат в президенты, выступил перед выпускным классом колледжа Смита, состоящим из одних женщин. Теплым массачусетским днем он сказал им, что как будущие жены они должны сыграть важную роль в обеспечении того, чтобы их муж был "по-настоящему целеустремленным, чтобы он был цельным".¹ В то время это казалось достаточно безобидным заявлением, даже от ведущего прогрессиста того времени. (Стивенсон была любимицей Элеоноры Рузвельт и др.) Шестнадцать лет спустя речь на церемонии вручения дипломов произнесла женщина, которая в то время, когда Стивенсон выступала, была еще студенткой Смита. Она заметно отличалась от других, называя Бога "она", подчеркивая политическое значение женского оргазма и, что самое важное, описывая брак как институт, созданный для "порабощения женщин"². Ее звали Глория Стайнем.

Для Стайнем, как и для большинства феминисток ее поколения, брак был отношениями, порождающими калечащую зависимость. Ее призыв к молодым женщинам на лужайке в Смите заключался в том, что они должны сами прокладывать свой путь в мире и быть в состоянии оплачивать свои счета. "Зависимость представляет собой отсутствие альтернатив", - написала Маргарет Мид через несколько лет после выступления Стайнем. "Женщина, способная зарабатывать на жизнь самостоятельно, никогда не должна чувствовать себя в ловушке.... Независимость начинается с экономической независимости."³.

Женское движение - это движение за освобождение. (Прежде всего, это означало экономическую независимость от мужчин. В странах с развитой экономикой эта цель была в значительной степени достигнута, превратив брак в социальный выбор, а не в экономическую необходимость. До 1970-х годов типичная выпускница колледжа становилась женой в течение года после окончания учебы.⁴ Среди современных выпускниц Смита только около половины выходят замуж к 30 годам.⁵ Муж может быть приятным, но он больше не является необходимым. Стайнем была права, говоря о важности разрыва экономических цепей. Но - и это, конечно, гораздо сложнее сказать - Стивенсон тоже была права. Мужчина, который знает, что должен обеспечивать жену и детей, имеет четкое представление о том, как быть "целеустремленным" и "цельным".

В этой главе я утверждаю, что роль матерей была расширена и теперь включает в себя не только заботу о кормильце, но и уход за ним, а роль отцов не была расширена и теперь включает в себя не только заботу, но и уход за кормильцем. В частности, я утверждаю следующее: (1) мужская роль долгое время в культуре определялась как роль кормильца и основывалась на экономической зависимости матерей от мужчин; (2) эта традиционная роль была разрушена в результате обретения женщинами экономической независимости; (3) культура и политика застряли на устаревшей модели отцовства, отстающей от экономической реальности; и (4) это приводит к "дефициту отцов", когда мужчины все чаще не могут выполнять традиционную роль кормильца, но еще не могут сделать шаг к новой.

Экономическая зависимость женщин от мужчин приводила женщин в упадок, но и поддерживала мужчин. Теперь подпорки исчезли, и многие мужчины падают.


ОТЦЫ КАК КОРМИЛЬЦЫ


Завершая обширный обзор ряда культур от Средиземноморского бассейна до Таити и Южной Азии, опубликованный в книге Manhood in the Making: Cultural Concepts of Masculinity, Дэвид Гилмор пишет: "Чтобы быть мужчиной в большинстве рассмотренных нами обществ, нужно оплодотворять женщин, защищать иждивенцев от опасности и обеспечивать родственников. Мы могли бы назвать эту квазиглобальную личность чем-то вроде "Мужчина-оплодотворитель-защитник-провайдер". "Гилмор утверждает, что этот вездесущий мужчина должен восприниматься как заботливый, только в ином смысле, чем типичная женщина. От мужчин ожидается, что они будут ставить других выше себя самыми разными способами, в том числе отдавая ресурсы группе, а также рискуя получить травму или даже умереть, защищая ее. Одна из центральных идей здесь - идея профицита. Зрелые мужчины производят больше ресурсов, чем им нужно для собственного выживания, и делятся ими с кланом, племенем или семьей. "Идея кормильца - один из основных элементов в формировании мужской идентичности", - пишет социолог Дэвид Морган. "Это как моральная, так и экономическая категория"⁷.

По крайней мере, последние несколько тысяч лет мужчины могли описать свою роль четырьмя словами: "обеспечивать свою семью". На протяжении большей части этого периода семья была расширенной. Но в последние столетия, особенно на Западе, она превратилась в более узко определенный социальный институт, который часто называют нуклеарной семьей: отец, мать и дети. В результате роли отца и мужа стали настолько тесно связаны друг с другом, что практически неразличимы. Хорошим мужем и отцом считался тот, кто обеспечивал свою семью, состоящую из него самого, его жены или партнерши и их детей. Эта роль кормильца успешно связывала мужчин с семейной и общественной жизнью, как описывает британский социолог Джефф Денч в книге "Трансформация мужчин: Changing Patterns of Dependency and Dominance in Gender Relations": "Она формально включает мужчин в структуры межличностной поддержки, в цепи зависимости, которые лежат в основе любого человеческого общества"⁸.

Денч права с точки зрения истории. Но вопрос в том, как сохранить "цепи зависимости" между отцами и детьми в мире, где цепи между мужчинами и женщинами успешно разорваны. Традиционная модель семьи предоставляла "пакет услуг", в котором отношения отца с ребенком зависели от его отношений с матерью", - пишут Лаура Тач и соавторы.⁹ Традиционная семья была эффективным социальным институтом, поскольку делала необходимыми и мужчин, и женщин. Но она также опиралась на четкое разделение труда. В то время как матери напрямую, в первую очередь, заботились о своих детях, отцы выполняли косвенную, вторичную, обеспечивающую функцию. Я, конечно, не утверждаю, что это все. Мой собственный отец выполнял традиционную роль кормильца, но помимо этого он был еще много кем: тренером по плаванию, инструктором по вождению, грузчиком, шофером, консультантом по учебе, да мало ли кем. Но его основной обязанностью был долг всех отцов его поколения: кормилец.

Традиционный договор между заботливыми матерями и отцами-кормильцами выражался в браке. Брак между кормильцем и кормилицей - это часть того, что Гилмор назвал "особой моральной системой... необходимой для добровольного принятия соответствующего поведения мужчин"¹⁰. Это одна из причин, по которой консерваторы больше всего беспокоятся о снижении уровня брачности. Для них зависимые отношения между мужьями и женами - это именно то, что делает брак действенным, в том числе как механизм использования мужской энергии для достижения положительных социальных целей. Феминистки, напротив, считают брак институтом угнетения, "цитаделью врага", по словам Джона Стюарта Милля, и механизмом "запирания женщин", по оценке Глории Стайнем.¹¹ Эту критику поддерживают многие современные феминистские писательницы.¹²

Обе стороны сходятся в том, что брак связывал женщин с мужчинами, а также мужчин с женщинами и, соответственно, с детьми. Их мнения расходятся в том, хорошо ли это было. Консерваторы правы в том, что как социальный институт брак "работал" в прошлом. Феминистки правы в том, что это происходило за счет ограничения автономии женщин. Вопрос в том, что нам делать сейчас и, особенно, что делать с мужчинами. Конечно, ответ не в том, чтобы пытаться свернуть завоевания женского движения, как предлагают Денч и другие консерваторы. Ответ заключается в переосмыслении отцовства, основанного на более непосредственных отношениях с детьми, и я излагаю некоторые идеи на этот счет в главе 12.

Однако важно отметить, что жизнь мужчин в традиционных семьях не всегда была радужной. В жизни, которая создана для вас, есть определенная безысходность. Послевоенные страдания "человека-организации" в сером фланелевом костюме, мотающегося между пригородом и офисом пять дней в неделю, намекают на эту потенциальную пустоту. Посмотрите на тихое отчаяние Вилли Ломана в "Смерти коммивояжера" Артура Миллера, которому приходится "страдать пятьдесят недель в году ради двухнедельного отпуска" и который может выполнить свою роль кормильца, только покончив с собой.¹³ Мужская свобода часто подавлялась патриархатом, с жестко предписанными ролями и гнетущими ожиданиями.


ВЕЛОСИПЕДЫ В МИРЕ РЫБ


Высказывание Ирины Данн о том, что "женщина нуждается в мужчине, как рыба в велосипеде", которое позже популяризировала Глория Стайнем, стало запоминающимся призывом женского движения и выразительным описанием мира, в котором женщины не нуждаются в мужчинах.¹⁴ "Способность содержать себя позволяет выбрать брак по любви, а не только по экономической зависимости", - сказала Стайнем в 2004 году.¹⁵

Сейчас женщины являются основными кормильцами в 41 % американских семей.¹⁶ Некоторые из них - матери-одиночки, но далеко не все; три из десяти жен теперь зарабатывают больше своих мужей, что вдвое больше, чем в 1981 году.Большинство матерей теперь работают полный рабочий день, и почти в половине семей, где оба родителя работают полный рабочий день, матери зарабатывают столько же или больше, чем отцы.¹⁸ Матери также получают все большую поддержку со стороны системы социального обеспечения, что позволяет даже тем, у кого низкий или нулевой заработок, освободиться от необходимости иметь мужа-кормильца. Как пишет британский политик и ученый Дэвид Уиллеттс в своей книге The Pinch, "система социального обеспечения, которая изначально была разработана для компенсации мужчинам потери заработка, медленно и беспорядочно перестраивается для компенсации женщинам потери мужчин"¹⁹.

Более позитивный способ выразить ту же мысль заключается в том, что правительства все чаще видят свою роль в поддержке женщин, воспитывающих детей, отчасти для того, чтобы они не оказались в ловушке зависимых отношений с мужчиной. В то же время наблюдается либерализация законодательства о разводах, в результате чего стали появляться "разводы без вины" или "односторонние" разводы, позволяющие любой из сторон расторгнуть брак на любых основаниях. Эти законы остаются предметом жарких споров, но очевидно, что они останутся в силе.²⁰

Брак и материнство больше не являются практически синонимами. Около 40 % рождений в США теперь происходят вне брака, в то время как в 1970 году этот показатель составлял всего 11 %.²¹ Особенно поразительной тенденцией является сокращение числа браков, заключаемых по принципу "дробовика". Полвека назад внебрачная беременность была обычным явлением, но перед тем как отправиться в родильное отделение, пара шла в ЗАГС или церковь. Теперь этого нет. По данным исследования Объединенного экономического комитета, сокращение числа "дробовых" браков - самая большая причина роста числа внебрачных рождений у матерей,впервые родивших ребенка с 1960 года. Наибольшие изменения произошли в нижней части социально-экономической лестницы. В 1977 году 26 % беременностей среди женщин с низким уровнем образования заканчивались браком до рождения ребенка. К 2007 году этот показатель составлял всего 2 %.²²

Социальные нормы в отношении материнской занятости меняются так быстро, что термин "работающая мать" уже звучит устаревшим. По данным Общего социального опроса, три четверти (74 %) взрослых американцев сегодня согласны с тем, что работающие матери могут установить такие же "теплые и надежные" отношения со своими детьми, как и матери, сидящие дома, по сравнению с 48 % в 1977 году.²³

С точки зрения феминисток, это замечательные события. Но что они означают для мужчин? Старый сценарий, в котором основное внимание уделялось добыче хлеба, был разрушен. В своем влиятельном эссе 1980 года "Почему мужчины сопротивляются" Уильям Гуд заметил, что "в основе этого сдвига лежит снижение предельной полезности мужчин"²⁴ Это правда. Но, ой.

Многие мужчины чувствуют себя выбитыми из колеи. У их отцов и дедов был довольно четкий путь: работа, жена, дети. Но что теперь? Для чего нужен велосипед в мире рыб? Половина века может показаться долгим сроком для отдельного человека, особенно если он молод. Но с точки зрения истории культуры - это мгновение. Трансформация экономических отношений между мужчинами и женщинами происходила так быстро, что наша культура еще не успела за ней угнаться.


КУЛЬТУРА ОТСТАЕТ ОТ ЭКОНОМИКИ


В то время как роль матерей модернизировалась почти до неузнаваемости, отцовство по-прежнему остается в прошлом. "У нас есть культурное отставание, - говорит социолог Эндрю Черлин из Университета Джонса Хопкинса, - когда наши представления о мужественности не успевают за изменениями на рынке труда".²⁵ Экономические показатели изменились. А социальные нормы - нет. Четверо из пяти взрослых американцев (81 %) со средним образованием или ниже по-прежнему считают, что "для мужчины, чтобы быть хорошим мужем или партнером, очень важно уметь материально обеспечивать семью" (по сравнению с 62 % тех, кто имеет степень бакалавра)²⁶.

Таким образом, именно те мужчины, которые менее всего способны быть традиционными кормильцами, чаще всего оцениваются по их потенциалу. Это означает, что мужчины, которые плохо себя чувствуют на рынке труда, скорее всего, будут страдать и на брачном рынке, особенно в рабочем классе.²⁷

Мужья, не имеющие работы, подвергаются гораздо большему риску распада брака сегодня, чем в прошлом, говорится в работе Александры Киллевальд. "Возможно, ожидания, что жены будут заниматься домашним хозяйством, ослабли, - заключает она, - но норма о муже-кормильце сохраняется"²⁸ Марианна Бертран и ее соавторы показывают, что брачные рынки сильно пострадали от социальных ожиданий, что мужчина будет не просто зарабатывать, а зарабатывать больше, чем его жена. "По нашим оценкам, неприятие того, что жена зарабатывает больше мужа, объясняет 29 % снижения уровня брачности за последние тридцать лет", - пишут они.²⁹ (Стоит отметить, что неприятие было обнаружено как среди мужчин, так и среди женщин.) Другими словами, по мере того как женщины стали зарабатывать больше мужчин, они стали реже вступать в брак. По оценкам социолога Стива Рагглза, 40 % снижения числа браков среди американцев в возрасте от 25 до 29 лет с 1960 по 2013 год можно объяснить падением доходов мужчин по сравнению с мужчинами предыдущего поколения.³⁰ Примечательно, что этот эффект снижения брачности был наиболее сильным среди людей с низким уровнем образования.

Старые модели брака и семьи, основанные на экономической зависимости женщин от мужчин, в значительной степени разрушены. Это хорошая новость по всем тем причинам, о которых говорила Стайнем. Но даже великие благословения могут быть неоднозначными. Традиционный уклад хорошо работал на детей, поощряя создание достаточно стабильных семей. И в основном он был эффективен для мужчин. Будучи единственным или, по крайней мере, основным кормильцем, мужчина соединялся с женщиной-воспитателем, обычно через брак, чтобы растить детей. "Семья может быть мифом, - пишет Денч, - но это миф, который работает на то, чтобы сделать многих мужчин вполне полезными".

Денч опасалась, что без традиционной роли кормильца мужчинам будет "трудно добиться полного признания, и они рискуют оказаться в состоянии аномии и краткосрочной зависимости".³¹ Учитывая трудности, с которыми сталкиваются многие мужчины сегодня, этот страх нельзя сбрасывать со счетов как пугало. Успех женского движения не вызвал шаткость мужской социальной идентичности, но обнажил ее. Вопрос в том, куда нам двигаться дальше.

Консерваторы призывают к восстановлению традиционного брака. Дэвид Бланкенхорн, автор влиятельной книги 1996 года "Америка без отца", утверждает, что отцовство надежно покоится на двух основах: "совместном проживании с детьми и родительском союзе с их матерью"³² Это правда с точки зрения истории. Но "совместное проживание" - это то, в чем у женщин раньше не было выбора. Теперь у них есть. Бланкенхорн утверждал, что для того, чтобы привязать отцов к детям, их нужно снова связать узами брака. Но, учитывая стремительные культурные изменения последних десятилетий, это нереальный рецепт. Вместо того чтобы смотреть в зеркало заднего вида, нам нужно создать новую основу для отцовства, которая учитывала бы огромный прогресс, достигнутый нами на пути к гендерному равенству.

По словам Эндрю Черлина, для многих пар брак теперь служит в первую очередь "пробным камнем" в череде образовательных, социальных и экономических достижений.³³ Менее одного из пяти взрослых американцев считают, что брак необходим для полноценной жизни, а из тех, кто состоит в браке, лишь один из семи говорит, что финансовые причины были главным фактором в решении связать себя узами брака.³⁴

Но, утратив статус кормильца и отца-резидента, многие мужчины оказываются в некоторой растерянности. Экономисты Ариэль Биндер и Джон Баунд, проведя кропотливое исследование падения привязанности к рынку труда среди менее образованных мужчин, пришли к выводу, что "перспектива создания и обеспечения новой семьи является важным стимулом мужского предложения труда".³⁵ Мужчины, которые не являются кормильцами или, по крайней мере, не считают себя таковыми, работают меньше. После глубокого исследования мужчин из рабочего класса в Нью-Джерси, опубликованного в 2000 году под названием "Достоинство работающих мужчин", Мишель Ламонт пришла к выводу, что "трудолюбие - это способ выражения мужественности". Работа сигнализирует о выполнении главной мужской роли - "обеспечивать и защищать семью" - и является частью "дисциплинированной самости", которая составляет зрелую мужественность.³⁶

В 1858 и 1859 годах в газетах США, от Вирджинии и Северной Каролины до Калифорнии, появилось легкомысленное стихотворение, озаглавленное "На что похож холостяк?".


Почему насос без ручки?

Заплесневелая таловая свеча,

Гусь, потерявший своих собратьев,

Безносая пара мехов,

Лошадь без седла,

Лодка без весла;

Мул-дурак,

Двуногий табурет!

Шутка-шутка!

Уныние-изнеможение -

Противоположный унчар -

Рыба без хвоста,

Корабль без паруса ...


Экономически независимые женщины теперь могут процветать независимо от того, являются ли они женами или нет. Мужчины без жен, напротив, часто оказываются в затруднительном положении. По сравнению с женатыми мужчинами их здоровье хуже, уровень занятости ниже, а социальные сети слабее.⁸ Смертность от наркотиков среди мужчин, никогда не состоявших в браке, выросла более чем в два раза за десятилетие с 2010 года.⁹ Развод, инициаторами которого теперь в два раза чаще выступают жены, чем мужья, психологически тяжелее для мужчин, чем для женщин.⁴⁰ Одно из великих откровений феминизма может оказаться тем, что мужчины нуждаются в женщинах больше, чем женщины в мужчинах. Жены экономически зависят от своих мужей, а мужчины эмоционально зависят от своих жен. Несмотря на все их шутки про "шар и цепь", многие мужчины, похоже, знают об этом. В ходе опроса 2016 года больше мужчин, чем женщин, назвали пребывание в браке, будь то сейчас или в будущем, "очень важным для меня" (58 против 47 %).⁴¹ Мужчины не хотят быть кораблями без парусов.

В 2017 году исследовательский центр Pew Research Center задал американцам сложный вопрос: В чем заключается смысл жизни? В частности, они задали респондентам открытый вопрос: "Что в вашей жизни вы сейчас считаете значимым, приносящим удовлетворение или радость? Что заставляет вас продолжать жить и почему?" Одним из самых поразительных открытий стало то, что женщины находят больше смысла в своей жизни и из большего количества источников, чем мужчины. Женщины и мужчины с одинаковой вероятностью говорят, что их работа или карьера приносит им "много смысла и удовлетворения" (33 и 34 %).⁴² Но почти во всех остальных областях наблюдается заметный гендерный разрыв: Например, 43% женщин во всех возрастных группах назвали детей или внуков источником смысла жизни, в то время как среди мужчин таких оказалось всего 24%.

Психологи считают, что у человека, имеющего множество источников смысла и идентичности, высокий уровень "сложности Я". Сложная самость имеет свои издержки. Например, вам может потребоваться тратить время и энергию на переход от одного аспекта вашей идентичности к другому. В контексте расы для этого часто используется термин "переключение кодов". Например, женщинам приходится переключаться между ролью матери и работника, при этом каждая идентичность "активируется" или "деактивируется" в зависимости от обстоятельств. Они могут чувствовать себя разрывающейся между двумя этими категориями. Но пользы от этого, как правило, больше. По словам психолога Джанет Хайд, "если в одной сфере происходит сбой, женщины активизируют другую идентичность, восстанавливая тем самым позитивное самоощущение, что поддерживает преимущества самокомплексности".⁴³ Если у вас неудачный день в качестве мамы, вы можете компенсировать его, добившись успеха на работе, или наоборот. Или, по крайней мере, такова теория.

В настоящее время у мужчин более узкий круг источников смысла и идентичности, что делает их особенно уязвимыми, если какой-либо из этих источников оказывается поврежденным. Мужчины, похоже, больше страдают, если теряют работу.⁴⁴ Помимо пользы для детей, усиление роли отцов дало бы многим мужчинам дополнительный источник смысла и цели в их жизни.


ДЕФИЦИТ ОТЦА


"Слишком много отцов... отсутствуют... отсутствуют в слишком многих жизнях и в слишком многих домах", - сказал Барак Обама в День отца в 2008 году. "И из-за этого фундамент наших семей слабеет".⁴⁵ Это было прямое, смелое заявление, сделанное кандидатом в президенты, особенно для чернокожей аудитории. Обаму критиковали за недостаточное внимание к структурным барьерам, с которыми сталкиваются мужчины, особенно чернокожие. Но важно не упустить из виду его главную мысль, которая была гораздо более позитивной. Отцы имеют значение. Без них не обойтись. По его словам, они "учителя и тренеры. Они наставники и примеры для подражания".

Обама также был прав, когда отметил, что многие дети растут без крепких отношений с отцом. В течение 6 лет после развода родителей каждый третий ребенок никогда не видит своего отца, и еще столько же видят его раз в месяц или реже.⁴⁶ Как показывает эта статистика, главная причина дефицита отцов - растущая вероятность того, что отцы не живут с матерями своих детей. Отсутствуя в доме своих детей, они в конечном итоге исчезают из их жизни. Это особенно актуально для самых обездоленных. Среди отцов, не окончивших среднюю школу, 40% живут отдельно от своих детей, в то время как среди отцов, окончивших колледж, таких всего 7%.⁴⁷ В 2020 году каждый пятый ребенок (21%) будет жить только с матерью, что почти вдвое больше, чем в 1968 году (11%).⁴⁸

Отношение к незамужним родителям стало гораздо более спокойным. Восемьдесят два процента женщин в возрасте 25-34 лет говорят, что "для незамужней женщины нормально иметь и воспитывать ребенка", и 74 процента их сверстников-мужчин согласны с этим.⁴⁹ Большинство детей в США не проведут все свое детство с обоими биологическими родителями.⁵⁰ Либерализация социальных норм и практики в отношении брака и деторождения во многих отношениях является положительным моментом. Однако жизненно важно, чтобы отцы не оказались в стороне от этого процесса. Женщины расширили свою роль и диапазон выбора, который они могут сделать. Слишком много мужчин зациклились на узкой роли кормильца, которая сегодня сильно устарела не только в теории, но и на практике.

В результате разделение мужчин и женщин слишком часто означает разделение отцов и детей. Это плохо для мужчин, плохо для женщин и плохо для детей. Как женщины в значительной степени освободились от старой, узкой модели материнства, так и мужчинам необходимо вырваться из рамок модели отцовства кормильца. Отцы важны для детей, даже если они не состоят в браке с их матерью. Социальный институт отцовства срочно нуждается в обновлении, чтобы стать более ориентированным на прямые отношения с детьми. Наряду с очевидными проблемами здесь есть и большие возможности для расширения роли мужчин.

Ставки здесь высоки. Отцовство - это фундаментальный социальный институт, который формирует зрелую мужественность больше, чем любой другой. "Мужчина, интегрированный в сообщество через роль в семье, охватывающую поколения в прошлом и будущем, будет более последовательно и прочно связан с социальным порядком, чем мужчина, реагирующий главным образом на харизматического лидера, демагога или грандиозную идеологию патриотизма". Это Джордж Гилдер писал в 1973 году.⁵¹ Гилдер, безусловно, был убежденным консерватором. Но, учитывая новейшую политическую историю, трудно сказать, что он был неправ.


ЧАСТЬ

II

. ДВОЙНОЙ НЕДОСТАТОК


ГЛАВА 4.

ОЧКИ ДУАЙТА


Чернокожие мальчики и мужчины сталкиваются с серьезными проблемами


Несколько лет назад я обрадовался, увидев, что мой крестник носит очки. Я чувствую себя лучше, когда знаю, что другие тоже стареют. Осуждайте меня, если хотите. "Не расстраивайся, Дуайт, - сказал я с напускным сочувствием. "В конце концов это случается со всеми нами". Дуайт рассмеялся. "О нет, - сказал он, - это прозрачные линзы. Просто когда я их ношу, у меня больше дел". Дуайт зарабатывает на жизнь продажей автомобилей. Я был озадачен. Как ношение ненужных очков может помочь ему продать больше машин? "Белые люди, особенно белые, просто более расслаблены рядом со мной, когда я их ношу", - объяснил он.

Рост Дуайта - метр восемьдесят пять. Он также чернокожий. Оказалось, что это обычная тактика для снятия страха белых перед черной мужественностью. Когда я упомянул историю Дуайта в фокус-группе чернокожих мужчин, двое из них сняли очки, объяснив: "Да, я тоже". На самом деле, я еще не нашел чернокожего американца, который бы не знал об этом, но очень мало белых людей, которые знают. Адвокаты, безусловно, знают об этом и часто просят своих чернокожих клиентов надеть очки. Они называют это "защитой ботаника"¹. Одно исследование показало, что очки вызывают более благоприятное восприятие чернокожих обвиняемых-мужчин, но не имеют никакого значения для белых обвиняемых².

Заявление Дуайта было одним из тех моментов, когда все ваше мировоззрение смещается вокруг своей оси. Это было как в тот вечер за ужином, когда я спросил его, часто ли его останавливает полиция. "Нет, не очень", - ответил он. Потом: "Может быть, раз в несколько месяцев?" И после паузы произнес: "Хотя недавно на меня надели наручники. Они сказали, что перепутали личность". В такие моменты я понимаю, что не имею ни малейшего представления о том, каково это - быть чернокожим в Америке, и особенно - быть чернокожим мужчиной. И поэтому предупреждаю: как белый парень британского происхождения, мой взгляд на американский расизм должен быть соответствующим образом отброшен. Однако я убежден, что одним из главных препятствий на пути к равенству в США сегодня является сочетание расизма и сексизма, с которым сталкиваются чернокожие мужчины.

В первой части я рассказал о некоторых общих проблемах, с которыми сталкиваются мальчики и мужчины в сфере образования, работы и семейной жизни. Во второй части я сосредоточусь на тех, кто сталкивается с самыми серьезными проблемами, особенно на чернокожих мальчиках и мужчинах в этой главе и на мальчиках и мужчинах из рабочего класса в главе 5. В главе 6 я описываю тревожные свидетельства того, что социальные программы не работают для мужчин.

Как и многие чернокожие мужчины в Америке, Дуайт прошел трудный путь. Он вырос в одном из самых неблагополучных районов Западного Балтимора. Он не помнит своего отца, который умер, когда Дуайт был еще маленьким. Учитывая глубокие и специфические проблемы, с которыми сталкиваются чернокожие мужчины практически во всех сферах американской жизни, от уголовного правосудия до образования и трудоустройства, надевание пары прозрачных черепаховых оправ может показаться пустяком. Конечно, Дуайт относится к этому беспечно. "Это то, что есть, - говорит он. Но я думаю, что это говорит почти обо всем. Зная, что их воспринимают как угрозу, чернокожие мужчины прибегают к ненужным очкам не для того, чтобы видеть нас, а для того, чтобы мы видели их.


ОБРАТНЫЙ СЕКСИЗМ


В конце 1980-х и 1990-х годов в изучении неравенства и дискриминации произошел прорыв, когда была разработана концепция "взаимообусловленности". Эта концепция, основанная Кимберле Креншоу, изначально была заложена в черном феминизме, однако она дает возможность изучить, как различные формы угнетения действуют в сочетании друг с другом. Вместо того чтобы рассматривать неравенство в бинарных терминах, таких как мужчина/женщина, черный/белый, богатый/бедный или гей/страйт, Креншоу настаивает на "сложности соединения"³.

Сила межсекционного мышления заключается в его неизбежном плюрализме. Каждый из нас "многократно" идентифицирован. Вы можете быть чернокожим гетеросексуальным евреем, юристом-социалистом; я могу быть белым геем-атеистом, либертарианцем, шахтером. Это настаивание на множественности идентично векам прогрессивной либеральной мысли, от Джона Стюарта Милля и Гарриет Тейлор Милль в XIX веке до Амартия Сена и Марты Нуссбаум в XXI.

В центре внимания Креншоу - чернокожие женщины, но эта система может использоваться более широко, и положение любой конкретной группы не является фиксированным по отношению к положению другой группы. Как пишет о межсекторальном подходе моя коллега Тиффани Н. Форд, ученый в области общественного здравоохранения, "социальные категории контекстуальны. Основополагающие черты не фиксированы, а скорее постоянно меняются со временем".⁴ Что значит быть квиром, или чернокожим, или мужчиной, не фиксировано по отношению к тому, что значит быть натуралом, или белым, или женщиной. Модели преимуществ и недостатков не являются незыблемыми. Поэтому античерный гендерный расизм причиняет боль черным мужчинам и черным женщинам, но не одинаково. Гендер расифицирован, а раса гендеризирована, причем по-разному, в разных местах и в разное время.⁵ Рассмотрим консервативный архетип "королевы благосостояния" - гендерную линзу, через которую патологизируют чернокожих женщин, получающих государственную помощь.⁶

Чернокожие мужчины сталкиваются с различными проявлениями неблагополучия, многие из которых могут быть более острыми, чем те, с которыми сталкиваются чернокожие женщины. Как пишет Томми Карри, заведующий кафедрой африканской философии и исследований чернокожих мужчин в Эдинбургском университете, "в гуманитарных областях считается, что, поскольку пол чернокожих и коричневых мужчин является мужским, они имеют врожденное преимущество перед всеми женщинами и являются патриархальными"⁷ Но Карри утверждает, что все обстоит с точностью до наоборот. В книге The Man-Not: Race, Class, Genre and the Dilemmas of Black Manhood" он утверждает, что черные мужчины в США - это "угнетенные расовые мужчины"⁸ Карри призывает к созданию нового научного направления по изучению черных мужчин на том основании, что описания, предлагаемые существующими феминистскими и интерсекциональными учеными, не учитывают специфические формы гендерного расизма, с которыми сталкиваются черные мужчины.

Но эта проблема существует не только в академических кругах. Попытки сосредоточиться на специфических проблемах чернокожих мальчиков и мужчин часто воспринимаются с подозрением, как отвлечение внимания от проблем чернокожих женщин или людей других рас и этнических групп. Я хочу четко обозначить свою собственную позицию. Я считаю, что самые глубокие американские предрассудки коренятся в античерном расизме, особенно в отношении людей, которых правовед Шерилл Кашин называет "потомками", афроамериканцами, которые "происходят от долгого наследия рабства"⁹ По этой причине, помимо прочего, мне не очень нравится термин "цветные люди" или идея, что главная разделительная линия проходит между белыми американцами и всеми остальными. Я понимаю необходимость создания коалиций. Я также понимаю желание не выглядеть принижающим значение расизма для других групп. Но идея о том, что все люди, которые не являются белыми, находятся в таком же положении, как и чернокожие американцы, является как морально оскорбительной, так и эмпирически неверной. Античерный расизм - вот главная проблема, и для чернокожих мужчин она не менее велика, чем для чернокожих женщин.


НЕОПРОВЕРЖИМЫЕ ФАКТЫ О ЧЕРНОКОЖИХ МУЖЧИНАХ


Первые 11 лет своей жизни Дуайт прожил в Роузмонте, Западный Балтимор. Или, как выразилось бы Бюро переписи населения США, в районе 24510160700. Тогда это был черный район. Это черный район и сейчас. По меркам Балтимора, результаты детей из Розмонта не так уж плохи. Но это не то же самое, что сказать, что они хорошие; с точки зрения результатов взросления, Балтимор - одно из худших мест в Америке, чтобы вырасти мальчиком.¹⁰ Среди мальчиков, родившихся около 1980 года в семьях с низким доходом (когорта Дуайта) в Розмонте, каждый седьмой (16 %) сидел в тюрьме на 1 апреля 2010 года. Для ясности, не то, что они были в тюрьме к 1 апреля, а то, что они были в тюрьме на эту дату.¹¹ На самом деле, большее количество этих мальчиков стали заключенными, чем мужьями: уровень браков для этой когорты к середине 30-летнего возраста составил всего 11 %. Каждый третий из них по-прежнему жил в этом районе, а значит, их дети, скорее всего, будут ходить в местную начальную школу Белмонт. Все ученики Бельмонта - чернокожие. Сказать, что результаты обучения в этой школе плачевны, значит преуменьшить. В начальной школе, которую посещали мои дети в Бетесде, в 2019 году 82 % учеников справились со стандартами Мэриленда по математике. В масштабах штата этот показатель составлял 58 %. В Белмонте этот показатель составил 1 %.¹² Масштаб нашего провала здесь почти непостижим.

Когда Дуайту было 11 лет, в окно его спальни раздались шальные выстрелы. Работая на двух работах полный рабочий день, его матери удалось перевезти семью из района, и он выиграл спортивную стипендию в частной католической школе, а затем в двух колледжах. Как , Дуайт - чернокожий мужчина с высокой мобильностью, хорошим образованием и экономическим успехом - исключение, которое подтверждает правило. Радж Четти и его команда из Opportunity Insights проанализировали данные о 20 миллионах американцев, родившихся около 1980 года, чтобы внимательно изучить модели бедности и мобильности между поколениями. Они обнаружили, что у чернокожих мужчин гораздо меньше шансов подняться по лестнице доходов, чем у белых, в то время как у чернокожих и белых женщин, воспитывавшихся бедными родителями, одинаковые показатели восходящей мобильности поколений. Четти и его коллеги приходят к выводу, что общий разрыв в мобильности поколений между чернокожими и белыми "полностью обусловлен различиями в результатах жизни мужчин, а не женщин".¹³

Но, конечно, чернокожие женщины также страдают от низких экономических результатов чернокожих мужчин, и не в последнюю очередь в плане доходов домохозяйств. "Черные женщины по-прежнему имеют значительно более низкий уровень доходов домохозяйств, чем белые женщины, как потому, что они реже выходят замуж, так и потому, что черные мужчины зарабатывают меньше белых", - пишут Четти и его коллеги.¹⁴ В аналогичном исследовании Скотт Уиншип, ученый из Американского института предпринимательства, и я обнаружили, что уровень браков - это лишь малая часть истории.¹⁵ Главная проблема - низкие доходы черных мужчин, особенно тех, кто вырос в бедности. Это означает, что, несмотря на впечатляющий прогресс, достигнутый чернокожими женщинами, их дети все еще имеют гораздо больше шансов вырасти бедными, что усиливает неравенство поколений. Чтобы разорвать порочный круг бедности среди чернокожих американцев, необходимо изменить экономические показатели чернокожих мужчин.

Четти привел несколько новых резких статистических данных, но их понимание вряд ли можно назвать новым. "Многие из тех, кому удается спастись, делают это только в течение одного поколения", - писал Дэниел Патрик Мойнихан в своем докладе 1965 года о черной семье. "При нынешнем положении дел их детям, возможно, придется бежать по перчатке заново".¹⁶ Один из способов избежать повторного бега по перчатке - получить хорошее образование. Но, как показывают данные по Belmont Elementary, качественные школы и колледжи остаются менее доступными для чернокожих американцев.¹⁷ И мальчики и мужчины здесь находятся в особенно невыгодном положении. Как пишут Джерландо Ф. Л. Джексон и Джеймс Л. Мур в специальном выпуске журнала Teachers College Record, "на протяжении всего образовательного цикла - начального, среднего и послесреднего - ... афроамериканские мужчины отстают как от своих афроамериканских женщин, так и от белых мужчин"¹⁸.

Чернокожие женщины используют возможности для получения образования, в которых им долгое время было отказано, и по некоторым показателям они обогнали белых мужчин. Чернокожие девочки чаще, чем белые мальчики, заканчивают среднюю школу; молодые чернокожие женщины в возрасте от 18 до 24 лет чаще, чем молодые белые мужчины, поступают в колледж; и среди чернокожих женщин в возрасте от 25 до 29 лет больше аспирантов, чем среди белых мужчин того же возраста.¹⁹ Разрывы здесь скромные, но они иллюстрируют важные успехи в образовании, достигнутые чернокожими женщинами за последние годы. Гендерный разрыв в образовании между чернокожими женщинами и чернокожими мужчинами гораздо больше, чем между белыми женщинами и белыми мужчинами, как показывает рисунок 4-1. На каждого чернокожего мужчину, получающего высшее образование на всех уровнях, приходится две чернокожие женщины.²⁰

Чернокожие мужчины сталкиваются с особенно острыми проблемами в США. Но и в других странах наблюдаются похожие тенденции. Например, в Великобритании гендерный разрыв в образовании наиболее ярко выражен среди чернокожих учащихся: чернокожие мальчики отстают от чернокожих девочек по всем предметам в любом возрасте.²¹ (Однако здесь стоит отметить, что в британских школах хуже всего учатся белые мальчики из малообеспеченных семей).

Поэтому чернокожие мужчины приходят в мир труда с меньшим количеством документов об образовании, чем почти любая другая демографическая группа. Затем они сталкиваются с большим риском дискриминации во многих сферах рынка труда, а также с более высоким уровнем лишения свободы.²² В результате в составе рабочей силы больше чернокожих женщин, чем чернокожих мужчин, в отличие от всех других расовых и этнических групп.²³ Это не просто проблема бедности. Как сообщает Четти, у чернокожих мужчин, выросших в относительно благополучных семьях, уровень занятости ниже, чем у белых мужчин, выросших в бедности.²⁴

Те чернокожие мужчины, которые работают, получают одну из самых низких зарплат: еженедельная зарплата типичного чернокожего рабочего в 1979 году составляла 757 долларов (в долларах сегодняшнего дня). Сегодня она составляет 830 долларов. Это всего лишь 10 % прироста. Опять же, важно рассматривать расу и пол вместе. Как видно из рисунка 4-2, наиболее значительные экономические успехи за последние десятилетия были достигнуты белыми женщинами. В 1979 году белые и чернокожие женщины зарабатывали одинаково. Сейчас чернокожие женщины зарабатывают на 21 % меньше. Белые женщины догнали чернокожих мужчин в 1990-х годах, и с тех пор их заработки растут быстрее. Сейчас чернокожие мужчины зарабатывают на 14 % меньше, чем белые женщины (и на 33 % меньше, чем белые мужчины).


РИСУНОК 4-1 Чернокожие мужчины отстают от чернокожих женщин в образовании


Гендерная структура степеней, присуждаемых чернокожим студентам



Примечание: Данные приведены за 2018-2019 учебный год.


Источник: Национальный центр статистики образования, IPEDS. Дайджест статистики образования, таблицы 321.20, 322.20, 323.20 и 324.20.


Гендерные различия на рынке труда сокращаются, в то время как расовые различия увеличиваются. Общее гендерное неравенство в оплате труда сокращается, потому что зарплата женщин, особенно белых, быстро растет. В то же время разрыв в оплате труда между чернокожими и белыми увеличивается, поскольку зарплата чернокожих работников, особенно чернокожих мужчин, растет мучительно медленно. Учитывая эти тенденции, не стоит удивляться тому, что чернокожие женщины чаще, чем чернокожие мужчины, являются основными кормильцами семьи, что опять-таки контрастирует со всеми другими расовыми группами.²⁵

С точки зрения восходящей мобильности, занятости, заработной платы и статуса кормильца, положение чернокожих мужчин разительно отличается от положения белых мужчин, а по большинству показателей они также отстают от чернокожих женщин. Все это не означает, что чернокожие женщины каким-то образом освободились от расизма или сексизма или достигли чего-то близкого к равенству. Чернокожие женщины сталкиваются с иным сочетанием неблагоприятных факторов, чем чернокожие мужчины; есть некоторые свидетельства, например, что чернокожие женщины подвергаются большей дискриминации, когда становятся матерями.²⁶ Они также сталкиваются с гендерным расизмом, хотя и другого рода.


РИСУНОК 4-2 Белые женщины сейчас зарабатывают больше, чем чернокожие мужчины


Медианный недельный заработок в 1979 и 2020 годах, в разбивке по расе и полу



Примечание: Медианный недельный заработок для работников в возрасте 16+, в долларах США с поправкой на инфляцию в 2020 году.


Источник: Бюро статистики труда, Текущее обследование населения, таблица 3.


Но для чернокожих мальчиков и мужчин существует особая болевая точка, причем не вопреки их полу, а благодаря ему. В резюме исследования Четти, опубликованном в New York Times, делается вывод, что "в препятствиях, с которыми сталкиваются чернокожие мужчины, есть что-то уникальное"²⁷.

Это одна из причин, по которой президент Обама в 2014 году выступил с инициативой "Мой брат - хранитель", которая продолжает существовать как Альянс MBK в Фонде Обамы.²⁸ Этот акцент на мальчиках и мужчинах критиковался, например, Институтом исследований женской политики, за то, что он отвлекает внимание от проблем, с которыми сталкиваются черные женщины.²⁹ Но мне кажется, что это правильно, учитывая как разительное неравенство, так и общий недостаток институциональных инвестиций в проблемы, с которыми сталкиваются мальчики и мужчины. В конце концов, существует множество организаций, как государственных, так и частных, ориентированных на женщин, многие из которых также решают некоторые из проблем, с которыми сталкиваются чернокожие женщины. В последние годы некоторые фонды и аналитические центры также стали уделять больше внимания чернокожим мужчинам. Но эта реакция все еще выглядит скудной, учитывая то, что Камилла Бусетт называет "ужасающим кризисом". По ее словам, нам нужно не что иное, как "Новый курс для чернокожих мужчин".


СТЕРЕОТИП УГРОЗЫ


Многие чернокожие мужчины, в том числе бывшие соседи Дуайта по Балтимору, попадают в то, что Та-Нехизи Коутс называет "серыми отходами" американской тюремной системы. Каждый четвертый чернокожий мужчина, родившийся с конца 1970-х годов, к 30 годам оказывается в тюрьме.³¹ Среди тех, кто бросил среднюю школу, таких семь из десяти. Эти мужчины вступили во взрослую жизнь как раз тогда, когда в 1980-х и 1990-х годах начался бум тюремного заключения в рамках двухпартийной войны с наркотиками.

Проблема начинается с представления о том, что чернокожие мужчины опасны. Чернокожие мужчины "уникально стигматизированы", согласно исследованиям неявных предубеждений, проведенным политологами Исмаилом Уайтом и Коррин Макконнохи. Каждый третий белый американец считает "многих или почти всех" чернокожих мужчин "жестокими", в то время как только один из десяти говорит то же самое о белых мужчинах.³² По словам Макконнохи и Уайта, "гендерный модификатор выполняет уникальную работу по созданию негативных представлений о чернокожих мужчинах".³³ Другими словами, черные мужчины подвергаются дискриминации, потому что они - мужчины. Вряд ли стоит говорить, что это старая проблема. "Держать негра "на своем месте" можно перевести как держать негра-мужчину на своем месте", - заметил Мойнихан в 1965 году. "Женщина никому не угрожала"³⁴.

Эти представления ограничивают жизнь чернокожих мужчин весьма специфическими способами. Мой коллега Рашон Рэй, социолог, показывает, например, что чернокожие мужчины из среднего класса реже проявляют физическую активность в районах, где живут преимущественно белые. Почему? Потому что чернокожие мужчины пытаются избежать восприятия себя как угрозы. "Социальная реальность чернокожих мужчин отличается от социальной реальности их чернокожих сверстниц", - пишет он. "Восприятие окружающих влияет на социальные взаимодействия чернокожих мужчин с коллегами и соседями [и] структурирует уникальную форму относительной депривации.... В этом отношении рамки межсекторальности становятся полезными для освещения множественности и уязвимости чернокожих мужчин."³⁵

Это межсекторальность как вопрос жизни и смерти. 23 февраля 2020 года Ахмод Арбери был застрелен во время пробежки в своем районе. Его убийцами оказались Грегори Макмайкл, бывший офицер полиции, и сын Макмайкла, Трэвис. Несмотря на неопровержимые улики, их не арестовывали в течение 2 месяцев. Ибрам X. Кенди, ученый из Американского университета, написал о своем собственном опыте бегства. "Им не нужно выяснять, кто я такой. Все, что они видят, - это то, что я есть. Черный мужчина. А то, кем я являюсь, говорит о том, кто я. Преступник. Воплощение опасности. Производитель страха."³⁶

Считая чернокожих мужчин более угрожающими, их чаще останавливает полиция, чаще обыскивает, чаще арестовывает и чаще осуждает. Война с наркотиками и преступностью стала, по сути, войной с чернокожими мужчинами, которые более чем в три раза могут быть арестованы за наркопреступление, чем белые мужчины (хотя не чаще употребляют наркотики), и в девять раз чаще оказываются в тюрьме штата в результате наркопреступления.³⁷ Для чернокожих мужчин, даже больше, чем для мужчин в целом, мужественность - это обоюдоострый меч. Черная мужественность считалась "токсичной" задолго до того, как этот термин стал применяться в более широком смысле, о чем свидетельствует использование таких терминов, как "суперхищник" и "волчья стая", для описания черных мужчин-правонарушителей.³⁸

Один из самых поразительных аспектов античерного гендерного расизма, направленного против мальчиков и мужчин, - его физическая природа. Как писал Та-Нехизи Коутс, это история телесного воровства и разрушения, "каретных кнутов, щипцов, железных кочерг, пил, камней, пресс-папье или всего того, что может пригодиться, чтобы сломать черное тело, черную семью, черную общину, черную нацию"³⁹ А теперь еще и оружия. В июле 2016 года три чернокожих мужчины были застрелены полицейскими в три дня подряд в трех разных городах: Делраун Смолл в Бруклине, Нью-Йорк; Алтон Стерлинг в Батон-Руж, Луизиана; и Филандо Кастиль в Сент-Поле, Миннесота.

На третий день ко мне в офис пришла близкая коллега, якобы для обсуждения рабочего проекта. Она - чернокожая мать и уже через несколько минут была в слезах, очень переживала за своих мальчиков и недоумевала по поводу того, как все люди вокруг нее занимаются своими повседневными делами, как будто все в порядке. Пока она не вошла в мою дверь, я тоже был одним из этих людей.

Одна из причин, по которой чернокожие мужчины реже устраиваются на работу, заключается в том, что они гораздо чаще оказываются в тюрьме. И даже когда они выходят на свободу, их шансы найти работу значительно снижаются. Это происходит не только потому, что у них есть судимость, а потому, что работодатели в любом случае чаще рассматривают чернокожих мужчин как преступников.⁴⁰ Одно поразительное исследование показало, что у чернокожего мужчины без судимости меньше шансов быть принятым на работу, чем у такого же квалифицированного белого мужчины с судимостью. Именно поэтому реформы, направленные на "запрет ящика" (т. е. отмену требования заявлять о наличии судимости при приеме на работу), похоже, не повышают шансы чернокожих мужчин быть принятыми на работу.⁴¹ Как пишет Дева Пейджер, "фактически рынок труда в Америке рассматривает чернокожих мужчин, которые никогда не были преступниками, как будто они ими были"⁴².

Криминализация чернокожих мужчин в Америке привела к появлению миллионов безработных мужчин и миллионов семей без отцов. Но мужчины, испытывающие трудности на рынке труда, часто испытывают трудности и на рынке брака, что приводит к росту числа одиноких родителей. Президент Барак Обама описывает "дыру" в своем сердце, оставленную отсутствием отца.⁴³ Многие чернокожие мужчины страдают от "посттравматического расстройства из-за отсутствия отца", по словам Джаванзы Кунджуфу, автора книги "Воспитание черных мальчиков"⁴⁴ До достижения 14-летнего возраста каждый четвертый чернокожий ребенок видит, как один из родителей попадает в тюрьму или тюрьму, обычно их отец.Дэниел Бити, писатель, актер и поэт, вспоминает детскую игру, в которую он играл до трех лет. Когда утром отец Бити стучал в дверь его спальни, Бити притворялся спящим, а затем радостно прыгал к отцу на руки. До утра отец не стучал, потому что находился в тюрьме. Три десятилетия спустя Бити исполнил свое стихотворение "Тук-тук", в котором есть следующие строки:


Двадцать пять лет спустя я пишу эти слова для маленького мальчика.

во мне, который все еще ждет стука своего папы....

Папа, вернись домой, я скучаю по тебе.

Я скучаю по тому, что ты будишь меня по утрам и говоришь, что любишь меня.

Папа, вернись домой, потому что есть вещи, которые я

не знаю, и я подумал, может быть, вы меня научите:

как бриться, как вести мяч, как разговаривать с дамой, как ходить как мужчина....⁴⁶


О важности отцов я еще расскажу в главе 12. А пока отмечу, что чернокожие мальчики, похоже, даже больше других выигрывают от активного отцовства и что по многим показателям чернокожие отцы более активны, чем отцы других рас, особенно если они не состоят в браке с матерью или не живут с ней.⁴⁷


ЧЕРНАЯ СЕМЬЯ В СТРЕССОВОЙ СИТУАЦИИ


Чернокожие женщины всегда играли более важную экономическую роль в семье, особенно по сравнению с белыми женщинами. Даже сегодня неравенство определяет расовые различия в семейной жизни. Половина чернокожих женщин, воспитывающих детей, делают это без мужа или сожителя, что резко отличается от женщин других расовых групп, особенно белых. Чернокожие матери в три раза чаще, чем белые, являются родителями-одиночками (52 % против 16 %) и вдвое реже живут с супругом (41 % против 78 %).⁴⁸ Большинство родов у чернокожих женщин происходит вне брака (около 70 %), по сравнению с примерно половиной родов у латиноамериканских женщин и 28 % родов у белых женщин.⁴⁹

Келли Рэйли, Меган Суини и Даниэль Вондра провели всестороннее исследование тенденций в браке и пришли к выводу, что "по сравнению с белыми и латиноамериканскими женщинами чернокожие женщины вступают в брак позже, реже выходят замуж вообще и имеют более высокие показатели нестабильности брака"⁵⁰. Чернокожие женщины в возрасте около 40 лет в пять раз чаще, чем белые женщины того же возраста, не выходили замуж (34 % против 7 %). Черные браки были подорваны античерным расизмом, в том числе из-за особых проблем, с которыми сталкиваются черные мужчины. В своей классической социологической книге "Истинно обездоленные", опубликованной в 1990 году, Уильям Джулиус Уилсон утверждал, что тяжелые экономические условия приводят к уменьшению числа "брачных мужчин", поэтому меньше пар связывают себя узами брака.⁵¹

Мне всегда было неприятно слышать этот аргумент, потому что мужская "брачность" основана на стереотипных предположениях. Чтобы быть бракоспособным, мужчина должен быть добытчиком. Как это устарело и сексистски! Проблема в том, что большинство людей, включая большинство чернокожих, согласны с Уилсоном. Потенциал добытчика высоко ценится в потенциальном партнере: 84 % чернокожих американцев говорят, что для того, чтобы быть хорошим мужем или партнером, "очень важно", чтобы мужчина был "способен материально обеспечивать семью", по сравнению с 67 % белых респондентов.⁵² Но разрыв еще больше, когда речь идет о женщинах-добытчиках: 52 % чернокожих американцев говорят, что для женщин очень важно иметь возможность финансово обеспечивать свою семью, в то время как среди белых американцев таких всего 27 %. Учитывая экономические проблемы, с которыми сталкиваются чернокожие женщины и мужчины, это неудивительно. Но если у чернокожих женщин наблюдается некоторое улучшение образовательного и экономического положения, а значит, и способности выполнять ролькормильца, то чернокожие мужчины сильно отстают.

Надеюсь, понятно, что я не призываю каким-то образом возвысить чернокожих мужчин над чернокожими женщинами, даже если бы это было возможно, а просто помогаю им не отставать. Необходимо сделать еще больше, чтобы устранить препятствия на пути чернокожих женщин. Но еще больше нужно сделать для чернокожих мужчин. Это не игра с нулевой суммой, и жизненно важно, чтобы она не рассматривалась как таковая, как это сделал Мойнихан в письме к президенту Джонсону в 1965 году. "У мужчин должна быть работа. Мы не должны успокаиваться, пока каждый трудоспособный негр-мужчина не начнет работать", - писал он, а затем добавил, но уже фатально: "Даже если нам придется вытеснить некоторых женщин".⁵³ Конечно, Мойнихан писал более полувека назад. Кроме того, он был белым человеком и представителем истеблишмента. Но мы не должны просто отмахнуться от этого комментария. Даже сегодня существует опасение, что помогать мужчинам - значит мешать женщинам, будь то по умыслу или по случайности. Но это не так. Важно стремиться к равенству по половому, классовому и расовому признакам, как утверждает Хизер Макги в своей книге "Сумма нас"⁵⁴ Поднимать мужчин вверх - не значит сдерживать женщин или "вытеснять" их. Это значит подниматься вместе.


СВОБОДНЫЕ МУЖЧИНЫ


9 августа 2014 года Майкл Браун, безоружный чернокожий подросток, был застрелен белым полицейским в Фергюсоне, штат Миссури, в районе Сент-Луиса. На следующий день, 10 августа, в город прибыл доктор Шон Джо. Он приехал, чтобы занять должность профессора социального развития в Вашингтонском университете. Джо уже планировал заняться проблемами, с которыми сталкиваются чернокожие мальчики и мужчины. Теперь, когда город переживал смерть Брауна и ее последствия, его работа приобрела новую актуальность. Он создал новую лабораторию Race and Opportunity Lab и инициативу Homegrown STL, направленную на улучшение перспектив 60 000 чернокожих мальчиков и мужчин в возрасте от 12 до 29 лет, проживающих в этом районе. После гибели Брауна губернатор штата Миссури поручил комиссии из местных лидеров провести "широкомасштабное и глубокое исследование основных проблем, выявленных в результате событий в Фергюсоне". В октябре 2015 года комиссия опубликовала поразительный доклад об истории и влиянии расизма в городе и представила почти 200 рекомендаций по проведению реформ.⁵⁵

Но Шон Джо был разочарован. "В докладе говорится о расовом равенстве в целом, но ничего не сказано о чернокожих мальчиках и мужчинах конкретно", - сказал он мне. "Нам нужно иметь возможность уверенно говорить о проблемах, с которыми сталкиваются чернокожие мальчики и мужчины. Именно это и олицетворял собой Майкл Браун. Важно не только то, что он был чернокожим, но и то, что он был чернокожим мужчиной. Люди просто не хотят говорить об этом". В отчете действительно ничего не говорится о гендере. Это не такая уж редкая проблема. Расовое равенство сейчас стоит на повестке дня многих учреждений и сообществ. Но есть реальное нежелание фокусироваться на особых проблемах, с которыми сталкиваются чернокожие мальчики и мужчины. Тот факт, что чернокожие мужчины находятся в неблагоприятном положении из-за своего пола, не вписывается в бинарные модели расизма и сексизма, с которыми многим удобно работать. Учитывая массу фактов, свидетельствующих о тяжелом положении чернокожих мужчин, это просто невозможно.

Есть некоторые признаки надежды. В 2020 году редкое двухпартийное законодательство учредило Комиссию по социальному статусу чернокожих мужчин и мальчиков. Это постоянная комиссия из девятнадцати человек при Комиссии по гражданским правам США, которой поручено расследовать "потенциальные нарушения гражданских прав чернокожих мужчин" и "изучать неравенство, с которым они сталкиваются в сфере образования, уголовного правосудия, здравоохранения, занятости, отцовства, наставничества и насилия"."По образцу аналогичной инициативы во Флориде, Комиссия по закону должна ежегодно отчитываться перед Конгрессом с рекомендациями и советами.⁵⁷ Создание Комиссии встретило определенное сопротивление со стороны демократов в Конгрессе, которые, как мне кажется, ошибочно опасались, что она будет отвлекать внимание от женских проблем. Как сказала тогдашний сенатор Камала Харрис, "настало время признать, что Америка так и не смогла полностью справиться с системным расизмом, который существовал в нашей стране, особенно в отношении чернокожих мужчин и мальчиков"⁵⁸ Гендерный расизм, с которым сталкиваются чернокожие мальчики и мужчины, уникален по степени вреда, и настало время взглянуть ему в лицо. Многие предложения, которые я выдвигаю далее в этой книге, преследуют именно эту цель.

После долгого разговора о его собственных проблемах я спросил Дуайта, чего он больше всего хочет для своих трех сыновей. "Я просто хочу, чтобы они были свободны, понимаете?" - сказал он. "Свободны от страха, от осознания всего этого. Просто свободны".


ГЛАВА 5. КЛАССНЫЙ ПОТОЛОК


Бедные мальчики и мужчины страдают


В 2017 году в лексикон социальных наук вошло новое словосочетание: "смерть от отчаяния". Популяризированный учеными Энн Кейс и Ангусом Дитоном, этот термин относится к смертности от передозировки наркотиков, самоубийств и болезней, связанных с алкоголем. В своей научной работе и последующей книге, вышедшей в 2020 году, Кейс и Дитон подчеркивают рост числа смертей от отчаяния среди белых людей среднего возраста с низким уровнем образования.¹ Они утверждают, что снижение экономического благосостояния рабочего класса в сочетании с различными формами социального распада - особенно в семейной жизни - привело к формированию моделей "кумулятивного неблагополучия" или, говоря более прямо, "распада белого рабочего класса"². Но это история и о гендере. В целом смертность от отчаяния почти в три раза выше среди мужчин, чем среди женщин.²

Я утверждал, что чернокожие мальчики и мужчины находятся в особенно невыгодном положении из-за гендерного расизма. Вот почему жизненно важно рассматривать гендер через призму расы, и наоборот. То же самое можно сказать и о социальном классе. На вершине экономической лестницы, особенно в верхних 20 % распределения доходов, и женщины, и мужчины преуспевают практически по всем показателям, начиная с роста их благосостояния и заканчивая увеличением продолжительности их жизни. (Ниже этой верхней планки мужчины работают меньше, чем в прошлом, и получают более низкую зарплату.

Разрыв в зарплате между мужчинами и женщинами сократился, но разрыв между высокооплачиваемыми работниками и всеми остальными увеличился. В 1979 году заработок типичной женщины составлял 63 % от заработка типичного мужчины. К 2019 году этот показатель вырос до 82 %. Напротив, заработная плата типичного работника (т. е. медианная) упала с 54 % от заработной платы высокооплачиваемого работника (т. е. 90-го процентиля) до 42 % к 2019 г.⁴ По этим показателям гендерный разрыв в оплате труда сократился на 19 процентных пунктов, а классовый разрыв в оплате труда увеличился на 12 процентных пунктов.

Воины класса преуменьшают значение гендерных проблем, сосредоточившись только на олигархии. Гендерные воины преуменьшают классовые проблемы, сосредоточившись только на патриархате. Но классовое и гендерное неравенство нужно рассматривать вместе, особенно когда они тянут в разные стороны. "Разработка политики - это не игра с нулевой суммой, в которой вы должны выбирать между заботой о неблагополучии женщин, социально-экономическом разрыве или неуспеваемости мужчин", - пишут Ник Хиллман и Николас Робинсон. "Все три фактора имеют значение"⁵ Слишком узкое внимание к остающимся барьерам, с которыми сталкиваются женщины, может отвлечь внимание от гораздо более глубоких классовых противоречий, которые открылись в нашем обществе. Мы можем прислониться, но не смотреть вниз.

В этой главе я привожу данные о смерти мужчин от отчаяния; показываю, как экономические трудности мужчин из рабочего класса в конечном итоге наносят ущерб семьям и увеличивают давление на женщин; и описываю, как многие из этих мужчин потеряли связь с социальными институтами, которые когда-то скрепляли мужскую идентичность, включая брак. Я также описываю, как неблагополучие в детстве вредит мальчикам больше, чем девочкам, что приводит к разрушительному межпоколенческому циклу. По мере того как мужчины из рабочего класса борются, их семьи становятся беднее, и в этих семьях мальчики страдают больше всего, что вредит их перспективам во взрослой жизни. Мужское недомогание становится наследственным заболеванием.

Может показаться странным, что в книге о мальчиках и мужчинах так много внимания уделяется экономическому неравенству. Но я пришел к выводу, что эти две проблемы неразделимы. Просто не существует способа уменьшить экономическое неравенство, не улучшив судьбы менее благополучных мальчиков и мужчин.


СМЕРТЬ ОТ ОТЧАЯНИЯ


Когда Дональд Трамп в своей инаугурационной речи говорил об "американской бойне", я, признаться, закатил глаза.⁶ Я думал, что это нелепая гипербола. Теперь я думаю, что это была всего лишь гипербола. Трамп знал, с кем он говорит. Округа с наибольшим количеством смертей от отчаяния были теми, которые в 2016 году наиболее решительно склонились на его сторону, по сравнению с показателями Митта Ромни в 2012 году.⁷ Это также те общины, где наиболее резко снизилась занятость, особенно среди мужчин.

"Мужчины особенно остро ощутили потерю не только дохода, но и достоинства, которое сопутствовало хорошей работе", - пишут Николас Кристоф и Шерил Вуданн, авторы книги "Tightrope: Americans Reaching for Hope", посвященной исследованию сообществ, наиболее сильно пострадавших от последних экономических тенденций. "Одинокие и обеспокоенные, они занимались самолечением с помощью алкоголя или наркотиков, накапливали судимости, которые делали их менее трудоспособными и менее пригодными для брака. Структура семьи разрушалась"⁸.

Работа Кейса, Дитона и других исследователей, посвященная смертям от отчаяния, показывает, что резко возросла смертность, связанная с наркотиками. Очевидно, что опиоиды играют здесь большую роль, и на долю мужчин приходится почти 70 % смертей от передозировки опиоидов в США.⁹ Почти половина мужчин первого возраста, не занятых в трудовой деятельности, в 2016 году заявили, что накануне принимали обезболивающие препараты, в основном по рецепту, согласно опросу, проанализированному экономистом из Принстона Аланом Крюгером. Он предположил, что рост числа рецептов на опиоиды с 1999 по 2015 год может объяснить почти половину (43 %) падения занятости среди мужчин за тот же период времени.¹⁰ Конечно, плохие перспективы трудоустройства могут быть причиной употребления опиоидов, как и наоборот. В обзоре тенденций в сфере занятости, проведенном экономистами из Мэриленда Кэтрин Абрахам и Мелиссой Кирни, делается вывод: "Хотя кажется очевидным, что проблемы депрессивного участия в рабочей силе и употребления опиоидов взаимосвязаны, стрелки причинно-следственной связи идут в обоих направлениях"¹¹.

Я думаю, что опиоиды - это не только барометр социальных проблем, но и их причина. Опиоиды не похожи на другие наркотики, которые можно принимать для искусственного повышения уверенности, энергии или озарения. Не зря люди принимают MDMA в танцевальном клубе или психоделики в духовном поиске. Опиоиды принимают просто для того, чтобы заглушить боль - сначала физическую, потом экзистенциальную. Это не наркотики вдохновения или бунтарства, а изоляция и отступление. Одна из причин, по которой так много людей умирает от передозировки опиоидов, заключается в том, что потребители, как правило, находятся в помещении и очень часто в одиночестве.¹²


РИСУНОК 5-1 Самоубийства среди мужчин: высокий уровень и рост


Уровень самоубийств по полу и возрастным группам, 1999 и 2019 гг.



Примечание: Самоубийства определены по Международной классификации болезней 10-го пересмотра.


Источник: Национальный центр статистики здравоохранения, Национальная система статистики естественного движения населения, Смертность.


Мужчины также гораздо чаще совершают самоубийства, чем женщины. Это общемировая, давно сложившаяся тенденция. Но гендерный разрыв наиболее велик в странах с более развитой экономикой, где мужчины примерно в три раза чаще, чем женщины, лишают себя жизни.¹³ Самоубийство сегодня является самым большим убийством британских мужчин в возрасте до 45 лет.¹⁴ В США уровень самоубийств быстрее всего растет среди мужчин среднего возраста, но в последние десятилетия также наблюдается значительный рост среди мужчин подросткового и молодого возраста, как показано на рисунке 5-1. Уровень самоубийств среди женщин тоже вырос, хотя и был гораздо ниже, чем среди мужчин.¹⁵

В эссе о мужественности, опубликованном в журнале Harper's в 2019 году, Барретт Суонсон отмечает, что многие из его друзей и соседей-мужчин выглядят так или иначе выбитыми из колеи. "Некоторые из этих мужчин боролись с зависимостью, депрессией или другими заболеваниями, которые можно назвать, - пишет он, - но более распространенной жалобой было нечто более туманное - тихое отчаяние, которое, если бы я был вынужден обобщить, казалось, проистекало из грызущего чувства бесцельности".¹⁶

В ходе исследования самоубийств австралийская исследовательница Фиона Шанд и ее коллеги обратили внимание на слова или фразы, которые мужчины, совершившие попытку самоубийства, чаще всего использовали для описания себя.¹⁷ На вершине списка оказались слова "бесполезный" и "никчемный". Я считаю, что истинная причина мужского недомогания - не недостаточное участие в рабочей силе, а культурная ненужность.


СЕМЕЙНЫЕ НЕСЧАСТЬЯ


Когда мужчины борются, семьи становятся беднее. Один из самых поразительных фактов новейшей экономической истории заключается в том, что за последние несколько десятилетий только женщины удерживали американские семьи на плаву. Да и то с трудом. За исключением самых богатых семей (т. е. первой пятой части), весь рост доходов домохозяйств с 1979 года произошел за счет увеличения рабочего времени и заработка женщин. Как пишут Хизер Боуши, назначенная в 2021 году членом Совета экономических консультантов, и Кавия Вагхул, "вклад женщин спас семьи с низкими доходами и среднего класса от резкого падения их доходов"¹⁸.

Не стоит заблуждаться, полагая, что женщин заставляли работать против их воли, лишь бы прокормиться. Несомненно, в некоторых случаях так и было. Но большинство женщин, включая матерей, хотят зарабатывать на жизнь и, конечно, хотят иметь такую возможность, а не зависеть от мужчины. Суть в том, что если бы мужчины работали лучше, большинство семей от этого только выиграли бы.

Поскольку женщины по-прежнему несут основную ответственность за уход за детьми, им часто приходится работать во "вторую смену", которую социолог Арли Хохшильд назвала "домашним трудом в дополнение к работе".¹⁹ Двойная смена наиболее остро ощущается, конечно, теми, кто воспитывает детей в одиночку. В США каждый четвертый ребенок до 18 лет воспитывается одним взрослым, 82 % из них - матери.²⁰ Эти женщины, по определению, несут более тяжелое бремя. Но они также часто не хотят заводить отношения. Социологи Кэтрин Эдин и Мария Кефалас в своей книге "Обещания, которые я могу выполнить: Why Poor Women Put Motherhood before Marriage" ("Почему бедные женщины ставят материнство выше брака"), что многие женщины в бедных районах стали воспринимать мужчин, в том числе отцов своих детей, как еще один рот, который нужно кормить, что является инверсией ожидаемой роли мужчины.²¹ С ростом доходов женщин мужчинам приходится преодолевать более высокую планку, чтобы считаться достойным мужем. Женщины скорее пойдут на это в одиночку, чем станут партнерами с мужчиной, находящимся в слабом экономическом положении. Как показывают этнографические исследования Эдина и Кефаласа, многие женщины решают, что "я и сама справлюсь".²² В нижней пятой части распределения доходов семь из десяти матерей сегодня являются основными кормильцами - как правило, потому, что они единственные.²³ Этот растущий классовый разрыв в семейной жизни показывает, как экономические факторы, особенно положение мужчин, как в абсолютном выражении, так и относительно женщин, влияют на формирование семьи.²⁴ По мнению Дэвида Аутора и Мелани Вассерман, падение уровня доходов мужчин, не получающих высшее образование, является одной из причин снижения числа их браков.²⁵

Даже когда брак ослабел как экономический институт, он сохранил большую часть своей символической силы.²⁶ В 2015 году после долгой борьбы лесбиянки и геи получили право на брак в США. В течение двух лет три из пяти сожительствующих однополых пар были женаты.²⁷ Но когда один разрыв закрылся, открылся другой, по социальному классу. Уровень браков среди образованных и обеспеченных американцев в последние десятилетия оставался на довольно высоком уровне, но для всех остальных упал.²⁸ В 1979 году практически не было разницы в уровне браков по социальным классам. Сегодня разрыв очень велик.²⁹ За последние 40 лет уровень брачности среди мужчин в возрасте 40-44 лет со средним образованием или ниже упал более чем на 20 процентных пунктов по сравнению с 6 процентными пунктами среди тех, кто имеет высшее образование.⁰ Как написала моя коллега Изабель Сохилл, "создание семьи - это новая линия разлома в классовой структуре Америки"³¹.

Большинство родов у женщин с дипломом о среднем образовании происходит вне брака (59%), но то же самое можно сказать о каждом десятом рождении у женщин с высшим образованием.³² Работа Эндрю Черлина показывает, что даже если женщины с высшим образованием не выходят замуж, когда у них рождается первый ребенок, они с большой вероятностью выходят замуж к моменту рождения второго, обычно за мужчину, который является отцом обоих детей. "Брак по-прежнему играет более важную роль в семейной жизни американцев с высшим образованием, чем тех, кто не имеет высшего образования", - заключает Черлин.³³

В этом есть некий парадокс. Женщины, достигшие наибольшей степени экономической независимости, имеющие высокий уровень образования и потенциал для заработка, именно те, кто сейчас чаще всего выходят замуж и остаются в браке. Не думаю, что Глория Стайнем или кто-либо другой предполагали, что все сложится именно так. Но даже она в конце концов вышла замуж в возрасте 66 лет, объяснив: "Мы находимся в том возрасте, когда брак можно выбирать, а не ожидать".

Я думаю, что образованные американцы превратили брак из института экономической зависимости в совместное предприятие по воспитанию детей. Брак здесь служит в первую очередь для того, чтобы взять на себя обязательства по совместному инвестированию времени и денег в детей. Я называю эти браки браками с высокими инвестициями в воспитание детей, или HIP-браками.³⁵ У обеспеченных, высокообразованных родителей больше гибкости на работе, больше денег на привлечение домашнего труда, больше богатства или кредитов, чтобы купить время на дом, если они захотят. Если один из них уходит с рынка труда, семейные финансы выживут. Исследование выпускников MBA, которое я приводил в главе 2, показывающее, как время, затрачиваемое на уход за детьми, приводит к гендерному разрыву в оплате труда, также показало, что женщины с самыми высокооплачиваемыми мужьями чаще всего уходят с рынка труда.³⁶ Это подчеркивает различия в положении мужчин разных классов. Мужчины, получившие образование в колледже, в значительной степени защищены от потрясений на рынке труда, которые постигли многих других. Благодаря высоким и растущим доходам они остаются привлекательными в плане брака, даже для женщин, которые сами преуспевают на рынке труда. Однако эти мужчины в большинстве своем не стали отцами, сидящими дома.

Даже на вершине карьерной лестницы можно многое сказать о том, чтобы разделить добычу между двумя победителями. Образованные американцы также слышали и усвоили идеи о важности стабильности семьи для перспектив детей. Мужчины-профессионалы достаточно модернизировались, чтобы быть хорошими партнерами, не отказываясь при этом от традиционных атрибутов мужского статуса, особенно в качестве кормильцев. Жизнь мужчин с падающей зарплатой и урезанными перспективами трудоустройства сильно изменилась. Равенство легче дается обеспеченным людям.

Классовый разрыв в семейной жизни отражает и усиливает социальное и экономическое неравенство. Высокодоходники объединяют ресурсы в домохозяйствах с другими высокодоходниками; низкодоходники - не очень. "Если рассматривать все домохозяйства, - пишут экономист Шошана Гроссбард и соавторы, - то фактором, в наибольшей степени объясняющим рост неравенства в этот период [1973-2013], является возросшая тенденция отдельных мужчин и женщин оставаться одинокими".³⁷ Состоятельные пары также способны вкладывать гораздо больше средств в своих детей. В результате судьбы детей расходятся, женщины несут большую экономическую ответственность и независимость, а число мужчин, которые "не обременены и не привязаны", растет, считают Шелли Лундберг и ее соавторы.³⁸


БЕССИСТЕМНЫЙ ЧЕЛОВЕК


Без сценария у многих мужчин не остается другого выбора, кроме как импровизировать. Но импровизация успешной жизни - очень сложная задача. "Модель стабильной мужественности, - пишет Дэвид Морган, - включала бы относительно высокую степень конгруэнтности между публичными дискурсами о мужественности и публичными и частными практиками мужественности. У отдельных мужчин было бы чувство онтологической безопасности".³⁹ Это не самый лучший лозунг. "Чего мы хотим? Онтологической безопасности! Когда мы ее хотим? Сейчас!" Но на самом деле это именно то, что ищут многие мужчины: более прочный социальный якорь, больше уверенности в том, как быть в этом мире.

В течение 13 лет группа качественных исследователей под руководством Кэтрин Эдин проводила глубинные интервью с мужчинами в четырех американских городах. В вышедшей в 2019 году работе "Непрочные привязанности мужчин из рабочего класса" (The Tenuous Attachments of Working-Class Men) они прослеживают эрозию ключевых институциональных основ зрелой маскулинности , особенно работы, семьи и религии. Эти основные институты, пишут Эдин и ее соавторы, "создавали привязанности, инвестиции, вовлеченность и убеждения, которые направляли и придавали смысл человеческой деятельности в конкретных социальных сферах". Они также "организовывали социальную деятельность в общие модели поведения, [и] обеспечивали нормы, верования и ритуалы, которые узаконивали эти модели".

Как следует из названия их работы, многие мужчины из рабочего класса сейчас лишь ненадежно привязаны к этим институтам работы, веры и семьи. В этих условиях "немногие могут построить жизнь, более плодотворную, чем у предыдущих поколений, но большинство будет бороться"⁴¹. В результате растет число мужчин с тем, что команда называет "бессистемным "я"", колеблющимся между различными планами и приоритетами, пытающимся удержаться на каком-то определенном пути и часто сползающим назад.

В Коал-Бруке - так антрополог Дженнифер Сильва назвала городок в антрацитовом регионе Пенсильвании - "масштабные преобразования в области гендера, работы и семьи... разорвали жизни мужчин и заставили их снова собирать их воедино". Здесь, в преддверии выборов 2016 года, Сильва сообщает, что Дональд Трамп воспринимался положительно как "человек-мужчина". Сильва показывает, как некоторые из мужчин в Угольном ручье пытаются, вопреки обстоятельствам, "сохранить унаследованное ими мужское наследие обеспечения, защиты и мужества".⁴² Другие ищут альтернативные пути к мужской идентичности, включая приверженность религии или индивидуально ориентированное самосовершенствование. Одни поддаются белому национализму, другие - временному эскапизму опиоидов. Так или иначе, все они пытаются, по словам Сильвы, "собрать себя по кусочкам".


ВСЕ ОДИНОКИЕ МУЖЧИНЫ


Очень часто они делают это в одиночестве. У мужчин меньше друзей, чем у женщин, и они больше подвержены риску изоляции. В последние годы этот разрыв увеличился. В отчете Центра исследований американской жизни за 2021 год говорится о "рецессии дружбы" среди мужчин: 15 % мужчин заявили, что у них нет близких друзей, по сравнению с 3 % в 1990 году.⁴³ Неудивительно, что именно эти мужчины чаще всего говорят о том, что чувствуют себя одинокими.

Дэниел Кокс, ученый из Американского института предпринимательства, проводивший исследование, пишет: "В 1990 году почти половина (45%) молодых людей сообщали, что, столкнувшись с личной проблемой, они в первую очередь обратились бы к своим друзьям. Сегодня только 22 % молодых людей опираются на своих друзей в трудные времена. Тридцать шесть процентов говорят, что первым делом обращаются к родителям"⁴⁴ Отчасти это может быть связано с тем, что мужчины чаще живут под одной крышей с мамой и папой. В 2014 году каждый третий молодой взрослый мужчина (35 %) жил с родителями, что больше, чем с женой или партнером.⁴⁵ Для женщин все наоборот.

Однажды в Нью-Йорке я услышал, как один стендап-комик начал свое выступление, назвав себя "сыном-домоседом", а затем оттолкнувшись от этой темы. Как и большинство шуток, это было смешно, потому что имело острую грань правды. Многие из этих мужчин - обитатели места, которое социолог Майкл Киммел назвал "страной парней"⁴⁶ Неудача с запуском - это не просто троп. Это факт. В ноябре 2021 года в эфир вышел трагикомичный скетч из шоу Saturday Night Live, в котором женщины ведут своих партнеров-мужчин в "мужской парк", чтобы пообщаться с другими мужчинами. "Который из них твой?" - спрашивает одна женщина у другой.

Почему мужчины испытывают дефицит дружбы? Во-первых, мужчины, как правило, вкладывают в дружбу меньше средств, чем женщины, и часто полагаются на подруг или жен не только в организации социальной жизни, но и в качестве главного доверенного лица.⁴⁷ Когда брак распадается, женщины, похоже, лучше справляются с сохранением и созданием сетей друзей.Не зря Эрнест Хемингуэй, а затем Харуки Мураками, почти век спустя, выбрали название "Мужчины без женщин" для своих сборников рассказов.⁴⁹ Одинокие мужчины, как правило, остаются одинокими мужчинами. "Парню нужен кто-то, чтобы быть рядом", - говорит Крукс в романе Джона Стейнбека "Мыши и люди". "Парень сходит с ума, если у него никого нет... Я говорю вам, что парень становится слишком одиноким и заболевает".

Крайними являются молодые люди, которые полностью уходят от общества. Эта тенденция наиболее ярко выражена в Японии, где растущее число хикикомори (замкнутых людей) вызвало широкую озабоченность в стране и даже некоторые действия правительства в виде онлайн-поддержки.⁵¹ Некоторые хикикомори годами живут в одной комнате. Это не официальное медицинское состояние, и многие из них не являются явно психически больными, но часто используется термин "тяжелая социальная абстиненция". По данным исследования, проведенного японским кабинетом министров, в настоящее время насчитывается более полумиллиона таких современных отшельников.⁵²

Некоторые отчаявшиеся родители платят "сестрам напрокат", чтобы те писали записки и разговаривали по телефону с их сыновьями-хикикомори в надежде, что это вернет их в нормальное общество. Это не только молодые мужчины - по крайней мере, уже не молодые: треть из них старше 40 лет. С одной стороны, хикикомори устраивают молчаливое восстание. Многие из них называют одной из причин своего ухода трудоголическую культуру нации. Но опасность очевидна. "Чем дольше хикикомори остаются в стороне от общества, тем сильнее они осознают свою социальную несостоятельность", - говорит Майка Элан, сфотографировавшая многих из них для репортажа National Geographic. Они теряют чувство собственного достоинства и уверенность в себе, а перспектива покинуть дом становится все более пугающей". Запершись в своей комнате, они чувствуют себя в "безопасности". "⁵³

Некоторые ученые опасаются, что если Япония будет лидировать, то другие страны могут последовать за ней. Была создана организация по работе с итальянскими хикикомори.⁵⁴ Американский исследователь Алан Тео, доцент Орегонского университета здоровья и науки, считает, что хикикомори может быть более распространенным явлением, чем многие полагают. Он работал над определением и измерением этого синдрома с помощью нового опросника из двадцати пяти пунктов (HQ-25).⁵⁵ Даже если относительно небольшое количество мужчин полностью откажется от секса, гораздо больше тех, кто находится на определенном этапе развития хикикомори, считает Тео. "У нас [в США] есть большое количество людей в возрасте около 20 лет, живущих в подвальной спальне", - говорит он. "Зачастую это молодые мужчины. У них проблемы с работой. Борьба с запуском. Есть некоторый элемент того, что они все еще застряли на более ранней стадии развития".⁵⁶


МУЖСКИЕ ОРХИДЕИ


Кто ваш ребенок - одуванчик или орхидея? Странный вопрос, я знаю, но психологи используют эти термины, чтобы различать детей, которые довольно устойчивы, в основном способны справляться с невзгодами и стрессом (одуванчики), и тех, кто более чувствителен к условиям (орхидеи).⁵⁷ Если все в порядке, орхидеи действительно расцветают. Если нет - они будут страдать. Психологи все еще спорят о том, насколько дихотомия "орхидея/одуванчик" может быть применима на индивидуальном уровне. Но тем временем социологи накапливают доказательства того, что мальчики страдают от неблагоприятных условий в детстве.

Например, мальчики, выросшие в семьях, находящихся в нижней пятой части распределения доходов, имеют меньше шансов вырваться из бедности во взрослом возрасте, чем девочки из таких же бедных семей.⁵⁸ Если бы Горацио Алджер писал свои истории о превращении из лохмотьев в богатство сегодня, его главными героями должны были бы быть девочки. Это явление характерно не только для США. В Канаде, например, мальчики, родившиеся в самых бедных семьях, в два раза чаще, чем девочки, остаются бедными во взрослом возрасте, по словам Майлза Корака, экономиста из The Graduate Center, CUNY.⁵⁹ Возможно, еще более поразительно то, что в США мальчики, выросшие в бедности, имеют меньше шансов, чем девочки, найти оплачиваемую работу в возрасте 30 лет.

"Гендерные различия во взрослой жизни уходят корнями в детство, - пишут Радж Четти и его соавторы, проводившие исследование в США, - возможно, потому, что бедность и пребывание в неблагополучных районах в детстве особенно пагубно сказываются на мальчиках".⁶⁰

Особенно плохи дела у мальчиков, которые воспитываются не только в бедных семьях, но и в бедных районах. Появляется все больше доказательств того, что район имеет значение для долгосрочных результатов. Но, похоже, для мальчиков они имеют большее значение, чем для девочек. Например, мальчики плохо себя чувствуют, если растут в районах с высоким уровнем преступности, а большая доля семей с одним родителем, похоже, особенно пагубно влияет на мальчиков. Именно поэтому мальчики особенно плохо себя чувствуют в некоторых городах, включая Балтимор, а также Детройт и Фресно, в то время как на результаты девочек почтовый индекс оказывает меньшее влияние. С другой стороны, чернокожие мальчики, выросшие в районах с высокой долей отцов, имеют лучшие перспективы во взрослой жизни. В итоге, по мнению Четти, "районы имеют большее значение для мальчиков, чем для девочек"⁶¹.

Похожая история с одуванчиками и орхидеями происходит и в сфере образования. Разрыв в развитии между мальчиками и девочками, начинающими ходить в детский сад, гораздо больше у детей из семей с менее образованными матерями и менее активными отцами. В старших классах на успеваемость мальчиков гораздо сильнее влияет семейное происхождение - измеряемое доходом, образованием родителей и браком, - чем на успеваемость девочек.⁶² Более сильное влияние классового положения на мальчиков и мужчин проявляется и в послешкольном образовании: девочки, выросшие в самых бедных семьях (т.е, В Великобритании гендерный разрыв в посещении колледжа наиболее велик для тех, кто имеет право на бесплатное школьное питание.⁶⁴⁶⁴

И наконец, что не менее важно, мальчики больше страдают от нестабильности семьи, особенно от ухода биологических отцов.⁶⁵ Мальчики, воспитывающиеся родителями-одиночками, особенно матерями-одиночками, хуже девочек (включая их родных сестер) успевают в школе и хуже поступают в колледж, отчасти из-за больших различий в поведенческих проблемах в классе.⁶⁶ "Мальчики особенно плохо учатся в неполных семьях", - пишут Марианна Бертран и Джессика Пан.⁶⁷ Мальчики также получают гораздо больше преимуществ, чем девочки, от успешного устройства в приемную семью, а не от пребывания в групповом доме, согласно анализу, проведенному Кэмероном Тейлором из Стэнфорда.⁶⁸

Если посмотреть со всех сторон, то картина становится очевидной. Экономическое и социальное неблагополучие вредит мальчикам больше, чем девочкам. Это очень важный факт, которому пока не уделяется достаточного внимания. Проблемы мужчин не только подпитывают социальное и экономическое неравенство, но и являются его причиной. "Может возникнуть порочный круг, - пишут Дэвид Аутор и Мелани Вассерман, - когда плохие экономические перспективы менее образованных мужчин приводят к тому, что их сыновья оказываются в крайне неблагоприятном положении, что потенциально усиливает развитие гендерного разрыва в следующем поколении".⁶⁹


НОВАЯ ГЕНДЕРНАЯ ЭКОНОМИКА


Доминирующий нарратив о гендерном равенстве строится почти исключительно с точки зрения неблагоприятных условий для девочек и женщин. Но если рассматривать гендерное равенство в контексте расы и класса, вырисовывается иная картина. Особенно на нижних ступенях экономической лестницы именно мальчики и мужчины отстают от девочек и женщин. "Государственная политика должна опираться на новую гендерную экономику, по крайней мере, когда речь идет о социальной мобильности", - пишет Майлз Корак. "Существуют значительные различия между жизненными перспективами мальчиков и девочек из менее благополучных семей."⁷⁰

Любые серьезные усилия по повышению уровня восходящей мобильности или сокращению экономического неравенства должны учитывать специфические проблемы, с которыми сталкиваются мальчики и мужчины. В противном случае модели неблагоприятного положения мужчин будут повторяться из поколения в поколение. Это плохо для всех, включая женщин, детей и особенно мальчиков. Это потребует не просто изменения политики здесь или быстрой инициативы там. Эти проблемы очень глубоки и требуют соразмерного ответа.

Хорошая новость заключается в том, что очевидная связь между экономическим неравенством и мужским недомоганием открывает возможность для двухпартийных действий. Консерваторы, беспокоящиеся о мальчиках и мужчинах , должны быть обеспокоены экономическим неравенством. А либералы, обеспокоенные неравенством, должны уделять больше внимания мальчикам и мужчинам.


ГЛАВА 6. НЕОТВЕТЧИКИ


Политика не помогает мальчикам и мужчинам


"Женщины просто от природы умнее мужчин, и сейчас они на подъеме". Это Джонатан, студент младших курсов колледжа. Мы обсуждаем, почему женщины учатся в колледже гораздо лучше, чем мужчины. "Знаете, у мужчин просто больше нет мотивации", - добавляет он. "Это ментальная вещь".

Мы с Джонатаном беседуем за чашкой кофе в его родном городе Каламазу, штат Мичиган. Каламазу - особенное место, особенно для политиков. Не из-за песни Гленна Миллера "(У меня есть девушка в) Каламазу", а из-за уникальной программы бесплатного обучения в колледже. Благодаря анонимному меценату студенты, обучающиеся в городской системе школ K-12, получают возможность оплатить все свое обучение практически в любом колледже штата.¹ Подобные инициативы есть и в других городах, но программа Kalamazoo Promise необычайно щедра. Кроме того, это одна из немногих инициатив, прошедших тщательную оценку, проведенную трио ученых из Института Апджона: Тимоти Бартиком, Брэдом Хершбейном и Мартой Лаховской.² Они пришли к выводу, что "Обещание" имело большое значение - большее, чем другие программы типа "Обещание".

Но за средним эффектом скрывается резкий гендерный разрыв. Программа привела к ракетному ускорению показателей окончания колледжа среди женщин, увеличив число женщин, получивших степень бакалавра, на 45 %. Но показатели мужчин не изменились. Анализ затрат и выгод показал, что общая прибыль от программы составила 69 000 долларов на одну женщину-участницу, то есть возврат инвестиций составил не менее 12 %, в то время как общая потеря составила 21 000 долларов на каждого мужчину (другими словами, это было дорого и не сработало). Философ Бертран Рассел говорил, что признаком цивилизованного человека является способность плакать над колонкой цифр. Для политиков цифры в этих регрессионных таблицах могут оказаться как раз такими.

Но дело не только в "Обещании Каламазу". Я обнаружил поразительное количество социальных программ, которые, похоже, хорошо работают для девочек и женщин, но не для мальчиков и мужчин. Я описываю здесь некоторые из них, сначала в сфере образования и обучения, а затем в программах по трудоустройству. Мне кажется, что это очень важно. Но на нее почти не обращают внимания, и не в последнюю очередь потому, что о ней почти никто не знает.

Я спросил Брэда Хершбейна, в чем причина огромного гендерного разрыва в Каламазу. Поскольку он настоящий ученый, ответ Брэда был таков: "Мы не знаем". Он имел в виду, что этот разрыв нельзя объяснить статистически, по крайней мере с помощью легко наблюдаемых факторов, таких как результаты тестов или семейное происхождение. Как я уже отмечал в главе 1, вокруг худших результатов в образовании для мужчин по-прежнему много загадок. Но я думаю, что Джонатан на правильном пути со своим замечанием о "ментальных вещах". Если нам нужны ответы, то мы найдем их не в показателях, а в сознании самих молодых людей.

Это одна из причин, по которой я отправился в Каламазу, чтобы встретиться с некоторыми из тех, кому "Обещание" призвано помочь. Может быть, они знают, почему этого не произошло.


НЕВОСПРИИМЧИВ К ИНИЦИАТИВАМ: ОБРАЗОВАНИЕ


"Мне казалось, что я просто зря трачу время в колледже", - говорит Куамари, еще одна из моих собеседниц. "Я часто впадала в депрессию. У меня просто не было особого драйва". Бросив колледж Kalamazoo Valley Community College, он устроился работать в банк, но потом его уволили. Поэтому он вернулся к учебе, на этот раз в Мичиганский государственный университет в Лансинге, в 70 милях к северо-востоку. Куамари надеется, что в маленьком и тихом городе ему будет легче постигать учебники. В конце концов, как он говорит, "здесь нечем заняться". Куамари прошел путь высшего образования стаккато, останавливаясь, переключаясь, возобновляя учебу. Он много раз менял специализацию: от бухгалтерского учета до ортодонтии (он говорит: "Знаю, звучит странно, но мне нравятся зубы, и у меня были брекеты"), дизайна интерьера, а затем социологии. Теперь он надеется поступить на психологический факультет, открыв для себя музыкальную и арт-терапию как потенциальный путь к карьере. Его история согласуется с результатами исследований, согласно которым мужчины чаще идут в колледж зигзагами, в то время как женщины идут более прямым путем.³"Женщины просто больше работают, лучше успевают, задают больше вопросов", - говорит он. Джален, один из успешных мужчин Каламазу, согласен с ним. Он окончил Западный Мичиганский университет со степенью бакалавра и говорит, что всегда искал учебные группы, в которых преобладали женщины, потому что "ты просто знал, что у них все получится".

Одно из других исследований, которое попало ко мне на стол, - это оценка программы наставничества и поддержки под названием Stay the Course ("Держи курс") в двухгодичном муниципальном колледже Tarrant County College в Форт-Уэрте, штат Техас.⁴ Муниципальные колледжи - краеугольный камень системы образования США, в них обучается около 7,7 миллиона студентов, в основном из семей среднего класса и с низким уровнем дохода.⁵ Однако в этом секторе наблюдается кризис завершения обучения. Только около половины студентов получают квалификацию (или переводятся в четырехлетний колледж) в течение трех лет после поступления.⁶ Многие из них получают гораздо больше отсевов, чем дипломов. Хорошая новость заключается в том, что существуют программы, такие как Stay the Course, которые могут повысить шансы студента на успех. Плохая новость заключается в том, что, как показывает пилотный проект в Форт-Уэрте, они могут не сработать для мужчин - тех, кто больше всего подвержен риску отсева в первую очередь. Среди женщин инициатива в Форт-Уэрте "втрое увеличила количество студентов, получивших степень младшего специалиста"⁷. Это огромный результат. Но, как и в случае с бесплатным колледжем в Каламазу, она не оказала никакого влияния на окончание колледжа среди студентов-мужчин.

Почему? И снова эксперты могут только предполагать. Джеймс Салливан, один из ученых, изучающих программу, говорит: "Мы не знаем"⁸ Опять эта фраза. Его исследовательская группа отмечает, что все кейс-менеджеры, назначенные для работы со студентами и называемые "навигаторами" (отличное название, кстати), были женщинами. Когда программа в значительной степени опирается на тесные отношения "один на один", совпадение пола поставщика и получателя помощи может быть важным. Это согласуется с исследованиями, показывающими, что при совпадении расовой или гендерной принадлежности учителей и учеников, наставников и подопечных результаты часто оказываются лучше.⁹

Программа Stay the Course и Kalamazoo Promise - лишь две из десятков инициатив в сфере образования, которые, похоже, не идут на пользу мальчикам или мужчинам, включая следующие:


- Оценка трех дошкольных программ - "Абецедариан", "Перри" и "Проект раннего обучения" - показала "значительные" долгосрочные преимущества для девочек, но "никаких значительных долгосрочных преимуществ для мальчиков".

- Проект READS, летняя программа чтения в Северной Каролине, "значительно" повысил баллыпо грамотности у девочек 3-го класса - это эквивалентно 6-недельному ускорению обучения. Но для мальчиков наблюдался "отрицательный и незначительный эффект".¹¹

- Ученики, которые посещали выбранную ими среднюю школу в Шарлотте (Северная Каролина) после участия в лотерее выбора, имели более высокий средний балл, посещали больше занятий по программе AP и имели больше шансов поступить в колледж. Но "эти общие успехи были достигнуты исключительно за счет девочек"¹².

- Новая программа наставничества для старшеклассников в Нью-Гэмпшире почти удвоила число девочек, поступивших в 4-годичный колледж, но не оказала "среднего эффекта" на мальчиков.¹³

- Городские школы-интернаты в Балтиморе и Вашингтоне повысили успеваемость среди чернокожих учеников с низким уровнем дохода, но только у девочек. "Если воспринимать буквально, то точечные оценки означают, что наши результаты обусловлены исключительно женскими ... абитуриентами", - отмечают эксперты.¹⁴

- Стипендиальные программы колледжей в Арканзасе и Джорджии увеличили число женщин, получающих высшее образование, но оказали "слабое" влияние на белых мужчин и "смешанные и шумные" результаты для чернокожих и испаноязычных мужчин.¹⁵

- Проект STAR, предоставляющий дополнительную поддержку в обучении и финансовую помощь первокурсникам колледжа, значительно повысил успеваемость женщин - более высокий средний балл, большее количество кредитов и более низкий уровень академических отчислений, - но не оказал "никакого влияния на мужчин".¹⁶


Джош Ангрист из Массачусетского технологического института, лауреат Нобелевской премии по экономике, изучал эту последнюю программу и провел много времени в этой области. Он сказал мне, что у него "нет теории" о гендерном разрыве. (Это более формальный способ сказать "я не знаю"). Я думаю, что главная проблема заключается в более низком уровне вовлеченности и мотивации, о которых много говорили молодые люди в Каламазу. Это не те вещи, которые можно легко исправить извне.

Еще в 2009 году Ангрист и его соавторы писали: "Эти гендерные различия в реакции на стимулы и услуги представляют собой важную область для дальнейшего изучения"¹⁷ Так и есть. Но, насколько я могу судить, никто не прислушался к этому призыву. По крайней мере, эти результаты говорят о том, что политики и ученые должны быть гораздо более чувствительны к гендерным различиям и их потенциальным последствиям для разработки программ.

Конечно, есть программы, которые показывают положительные результаты для обоих полов, например, другая хорошо оцененная схема наставничества в муниципальных колледжах, ускоренное обучение в ассоциированных программах (ASAP), некоторые другие программы раннего образования и т. д.¹⁸ Но там, где есть разница по полу, она почти всегда в пользу девочек и женщин. Единственное реальное исключение из этого правила - профессионально ориентированные программы или учебные заведения, которые, похоже, приносят больше пользы мужчинам, чем женщинам, что является одной из причин, почему нам нужно больше таких программ.


ЕСЛИ ВЫ СМОЖЕТЕ ПРИЕХАТЬ СЮДА: РАБОТА


Нью-Йорк - это городское воплощение американского духа "могу-делать". "Сделай свой след в Нью-Йорке, - писал Марк Твен, - и ты - состоявшийся человек"¹⁹. Идеальное место для испытания новой программы, призванной помочь большему числу мужчин сделать свой след. В рамках пилотного проекта Paycheck Plus около 3 000 бездетных участников получали премию в размере до 2 000 долларов, а главной целью программы было повышение уровня занятости. Тщательная оценка эксперимента, проведенная исследовательской группой MDRC, выявила "относительно большой положительный эффект на уровень занятости среди женщин", но "никакого заметного эффекта среди мужчин".²⁰ Женщины-участницы также стали здоровее, а мужчины - нет.²¹

Команда MDRC описывает результаты по мужчинам как "несколько разочаровывающие"²², что является некоторым преуменьшением, учитывая надежды на проект и падение зарплат и уровня занятости менее квалифицированных мужчин.²³ Здесь есть и более широкие политические последствия. Paycheck Plus рассматривается как пробный вариант возможного изменения национальной политики, чтобы сделать налоговый кредит на заработанный доход доступным для бездетных взрослых. Это не будет стоить дешево. Аналогичное расширение EITC в законопроекте 2021 года Build Back Better имело цену в 13,5 миллиарда долларов в год.²⁴ Явная цель расширения EITC - помочь менее квалифицированным мужчинам. Джин Сперлинг, бывший национальный экономический советник президентов Билла Клинтона и Барака Обамы, утверждает, что изменение политики "важно для стимулирования молодых мужчин... к участию в формальной экономике"²⁵ Но пилотный проект Paycheck Plus предполагает, что более высокие субсидии на заработную плату могут привлечь к работе больше одиноких женщин, чем одиноких мужчин. Для ясности, я не говорю, что это плохо, просто это не заявленная главная цель реформы.

Если субсидирование заработной платы не так хорошо работает для мужчин, то как насчет обучения работников? К сожалению, представленные здесь оценочные исследования наводят на мрачные мысли. Трудно найти примеры финансируемых государством программ обучения, которые бы хорошо работали для любого человека, будь то мужчина или женщина.²⁶ Но те немногие программы, которым удалось сдвинуть с мертвой точки, часто ориентированы на женщин, включая следующие:


- Программа обучения в Милуоки, финансируемая как государственно-частное предприятие, оказала положительное, статистически значимое влияние на уровень занятости и заработок участвующих в ней женщин по истечении двух лет, но не мужчин.²⁷

- Программы для выбывших работников, финансируемые Законом об инвестициях в трудовые ресурсы, имели "более значительные преимущества для участия женщин... при этом ежеквартальный прирост заработка превышал аналогичный показатель для мужчин". Стоимость обучения также имела более значительное долгосрочное положительное влияние на заработок и занятость женщин.²⁸

- Программы обучения на рабочем месте и программы помощи в поиске работы, финансируемые в рамках Закона о партнерстве в области обучения рабочим профессиям 1982 года, оказали "значительное положительное влияние" на заработки и уровень образования женщин-участниц, но не мужчин.²⁹


Как я уже говорил, в целом выбор довольно скуден, когда речь идет об эффективных программах обучения. Но даже среди тех немногих, которые демонстрируют положительный эффект, часто наблюдается гендерный разрыв. Если программа обучения работает, она, как правило, работает для женщин, но не всегда для мужчин.

В исследованиях по оценке политических мер прослеживается четкая повторяющаяся закономерность: девочки и женщины оказывают более сильное воздействие, чем мальчики и мужчины. Это имеет глубокие последствия для исследований и политики. Прежде всего, специалисты по оценке должны включать результаты с разбивкой по полу. А когда различия обнаружены, их следует подчеркнуть. Сейчас же им зачастую уделяется мало внимания. В исследовательской записке, основанной на оценке тройки государственно-частных программ обучения, проведенной Public Private Ventures и опубликованной через Институт Аспена, гендерный разрыв в результатах не упоминается.³⁰ Даже в основном отчете эта разница была заметна только тем читателям, которые добрались до приложения D, таблица 5, на странице 72.³¹

Учитывая доказательства того, что многие программы просто не работают для половины населения, было бы безответственно со стороны политиков не задаться вопросом, правильно ли расходуются эти деньги. Безусловно, здесь достаточно доказательств, чтобы опровергнуть любую презумпцию в пользу гендерно-независимых программ и услуг. Не стоит констатировать эти "неутешительные" результаты, пожимать плечами и продолжать тратить деньги.


ПРОБЕЛЫ В СТРЕМЛЕНИИ


Конечно, сложный вопрос заключается в том, почему эти инициативы не сработали для мальчиков или мужчин и что может сработать вместо них. Эмпирические данные на этот счет слабы. Но Тайриз, чернокожий молодой человек, пробивающий себе дорогу в муниципальный колледж в Каламазу, крепко задумался над этим вопросом. Тайриз как раз из тех, кому призвано помочь "Обещание Каламазу". Его отец умер, когда ему было 5 лет. Два его брата сидят в тюрьме. Он замечает четыре большие разницы между окружающими его женщинами и мужчинами. Во-первых, мотивация: "Женщины так целеустремленны. Они знают, что должны обеспечивать свою семью". Во-вторых, независимость: "Им [женщинам] не нужны отношения, они могут все сделать сами". В-третьих, упорство: "Когда становится трудно, парни обычно убегают, а девушки - нет". В-четвертых, планирование: "Женщины склонны жить будущим, а мужчины - настоящим". Если сложить все эти факторы вместе - мотивацию, независимость, упорство и планирование, - то неудивительно, по крайней мере для Тайриза, что женщины лучше успевают в школе.

Мне кажется очевидным, что мотивация и стремление, которые практически невозможно выразить количественно, составляют большую часть этой истории. Молодые женщины используют возможности с гораздо большим рвением, чем молодые мужчины. Возьмем, к примеру, обучение за границей. В последние десятилетия это стало гораздо более популярным (по крайней мере, до пандемии), и все большее число студентов старших курсов теперь хватают свои паспорта и разговорники и отправляются за границу, чаще всего в Европу.³² А почему бы и нет? Поездка в другую страну на несколько месяцев - это прекрасная возможность. В совместном докладе Американский институт иностранных исследований и Институт международного образования превозносят ценность обучения за рубежом.³³ Конечно, это так. Но, похоже, они правы. Работодателям нравится брать на работу выпускников с более широким кругозором, а многие навыки, приобретенные в чужой стране, пригодятся в дальнейшей жизни. Но поразительно, что студенты-женщины более чем в два раза чаще учатся за границей, чем их сверстники-мужчины.³⁴ Аналогичный разрыв наблюдается и в европейских странах.³⁵ Возможно, вы думаете: "А, но, может быть, это просто потому, что женщины чаще учатся на факультетах, предлагающих больше возможностей для обучения за границей, например, языки и искусство". Но нет - гендерный разрыв наблюдается по всем предметам.

И снова этот пробел поставил исследователей в тупик. Мы знаем только то, что женщин, похоже, мотивируют учиться за границей самые разные факторы, включая наличие образованных родителей или занятия, посвященные человеческому разнообразию и различиям. Ни один из этих факторов не влияет на мужчин. Единственное, что повлияло на решение мужчин учиться за границей, - это "взаимодействие со сверстниками", но в негативном направлении.³⁶ Мужчины, похоже, мотивируют друг друга оставаться на месте, а не отправляться в путь. В докладе подчеркивается необходимость создания разнообразного и представительного контингента студентов, отправляющихся в другие страны, и серьезные усилия были направлены на снижение барьеров для небелых студентов, которые сейчас составляют три из десяти студентов, обучающихся за рубежом. Однако в докладе нет упоминания о соотношении 2:1 между студентами женского и мужского пола.

Дело не только в учебе за границей. В целом, кажется, что молодые женщины более склонны к авантюрам. Тот же гендерный дисбаланс 2:1 можно увидеть в числе записавшихся в Корпус мира, а также в отечественный эквивалент, Americorps.³⁷ Разрыв еще больше в британской программе Voluntary Service Overseas.³⁸ У молодых женщин сегодня более широкие горизонты, чем у мужчин. Забудьте все старые стереотипы о мужчинах, жаждущих странствий и отправляющихся в путь. Сейчас женщины - это исследователи. И как часто бывает, никто не может толком объяснить, почему. Дело не в том, что у мужчин меньше возможностей. Дело в том, что они их не используют. Проблема, по-видимому, заключается в снижении самостоятельности, стремления и мотивации. Но это произошло не в вакууме. Я думаю, что это результат целого ряда структурных проблем. Я уже показал, что система образования менее приспособлена для мальчиков, а рынок труда стал более жестким местом для мужчин. Но есть и более глубокие, культурные причины. В частности, резкое изменение баланса властных отношений между мужчинами и женщинами за последние несколько десятилетий привело к тому, что старые модели маскулинности, особенно в роли кормильца семьи, устарели. Но ничто еще не заменило их.

"Женщины становятся более независимыми", - размышляет Куамари, вернувшись в Каламазу. "Более решительными, готовыми работать ради этого. Они знают, что им нужны другие варианты". По его собственному признанию, Куамари с трудом вписывается в этот новый мир. Он выступает за равенство, но при этом принадлежит к христианской конфессии, которая учит, что мужчина должен быть главой семьи. Он разрывается между тем, каким должен быть мужчина, которого ему прочили, и тем, какой мужчина нужен миру сейчас. И он не один такой. Общей нитью через многие проблемы, с которыми сталкиваются мужчины, проходит культурный шок, вызванный экономической независимостью женщин. Чтобы по-настоящему понять, что происходит с мальчиками и мужчинами, нам нужны антропологи не меньше, чем экономисты. И нам нужны политики, готовые взглянуть в лицо фактам, в том числе фактам о том, какие программы работают лучше всего. В противном случае есть опасность, что некоторые из наших мальчиков и мужчин не просто отстанут, а окажутся за пределами нашей досягаемости.


ЧАСТЬ

III

. БИОЛОГИЯ И КУЛЬТУРА


ГЛАВА 7. СОЗДАНИЕ МУЖЧИН


Природа и воспитание имеют значение


У каждой религии есть своя история о том, как и почему мы были созданы мужчинами и женщинами. В иудаизме и христианстве все начинается с Адама и Евы. Исламская теология учит, что мужчины и женщины "созданы парами" из одной души. В индуистской традиции Брахма просит Рудру разделить его на мужчину и женщину, чтобы творение могло продолжаться. Эти истории сотворения мира отражают самую фундаментальную дихотомию в биологии человека - дихотомию между мужчиной и женщиной.

Половые различия в биологии формируют не только наши тела, включая мозг, но и нашу психологию. Мы не чистые листы. Некоторые из этих различий больше связаны со временем развития, чем с конечными результатами. Например, я уже рассказывал о том, что мозг девочек созревает гораздо раньше, что является одной из причин гендерного разрыва в образовании. Но многие различия носят устойчивый характер. Мужчины, как правило, более агрессивны, чаще рискуют и имеют более сильное половое влечение, чем девушки и женщины.¹ Конечно, это не полный список. Есть и другие черты, которые чаще встречаются у мужчин, чем у женщин. Например, мужчин больше интересуют вещи, а женщин - люди; парень возится в гараже, а его жена болтает с подругой.² Но именно в этих трех чертах - агрессия, риск, секс - различия проявляются наиболее ярко, и именно о них я расскажу здесь подробнее.

В этой главе я описываю доказательства естественных половых различий, особенно в отношении агрессии, риска и полового влечения. Затем я утверждаю, что и наше непосредственное окружение, и более широкая культура также имеют большое значение, формируя способы развития и проявления биологических различий. Выбор профессии, особенно так называемый парадокс STEM, служит примером того, что необходимо учитывать как непосредственное окружение, так и более широкую культуру. Природа и воспитание имеют значение, и они также взаимодействуют важным образом. Думаю, мы можем смело оставить эти избитые дебаты в стороне. Наконец, я указываю на опасность полного игнорирования биологии, особенно в таких прикладных областях, как психология.

Однако идея о том, что у половых различий есть естественная основа, является политически окрашенной. Поэтому лучше сразу сделать оговорки. Во-первых, хотя некоторые черты характера в большей степени ассоциируются с одним полом, чем с другим, их распределение совпадает, особенно среди взрослых. После использования снимков МРТ для изучения половых различий в выборке из более чем 5000 человек в Великобритании - крупнейшего на сегодняшний день исследования такого рода - психолог Стюарт Ричи и его соавторы пришли к выводу, что "для каждого показателя мозга, который демонстрировал даже значительные половые различия, всегда имелось перекрытие между мужчинами и женщинами: даже в случае значительной разницы в общем объеме мозга было 48,1% перекрытия выборки".³ Другими словами, различия являются диморфными - различными, но перекрывающимися - а не бинарными. (Следите за инстинктом разрыва, о котором я говорил в главе 2.) Например, типичный мужчина в большей степени готов идти на риск, чем типичная женщина (особенно в подростковом возрасте). Но некоторые женщины более склонны к риску, чем некоторые мужчины. Большинство исследований показывают, что наибольшие различия наблюдаются на хвостах этих распределений, а не у большинства людей. Большинство самых агрессивных людей - мужчины, но различия в агрессивности в общей популяции гораздо меньше.

Во-вторых, эти половые различия могут быть усилены или приглушены культурой. В одних культурах ценится насилие, а в других - нет. Я почти уверен, что был бы более физически агрессивным, если бы родился в Спарте пару тысяч лет назад. Просто в Брукингском институте от этого не так много пользы. Эти культурные вариации имеют большое значение для того, как и насколько сильно природные склонности выражаются в поведении. Культура и биология не развиваются отдельно друг от друга. Они коэволюционируют. Ни биология, ни культура не могут рассказать всю историю. Но понимание роли биологии необходимо для того, чтобы держать ее на своем месте. "Биология действительно является основой наших личностных качеств и поведенческих тенденций", - пишет Луанн Бризендин в своей книге "Женский мозг". "Если во имя свободы воли и политкорректности мы пытаемся отрицать влияние биологии на мозг, мы начинаем бороться с собственной природой. Если же мы признаем, что на нашу биологию влияют другие факторы... мы можем помешать ей создать фиксированную реальность, которой мы управляем".⁴

В-третьих, эти половые различия, как правило, оказывают довольно скромное влияние на повседневную жизнь в XXI веке. В настоящее время существуют гораздо более серьезные факторы, определяющие поведение, включая не только культуру, но и личностные качества. В современных обществах, к счастью, гораздо больше места для индивидуальности. Освобождение от узких определений того, что нужно для того, чтобы быть мужчиной или женщиной, является признаком прогресса как общества, так и личности. Но это не означает, что мы должны отрицать любые природные различия, а лишь ответственно подходить к их устранению. Нейробиолог Джина Риппон предупреждает, что "вера в биологию влечет за собой особый образ мышления относительно фиксированного и неизменного характера человеческой деятельности"⁵ Но вполне возможно иметь "веру в биологию", не принимая бездумно на веру, что человеческая природа "фиксирована и неизменна", или что культура и окружающая среда не имеют значения. Трудно найти ответственного ученого, который был бы либо откровенным детерминистом, либо откровенным отрицателем в вопросе биологии. Настоящие дебаты ведутся не о том, имеет ли биология значение, а о том, насколько она имеет значение и когда она имеет значение.

В-четвертых, средние половые различия не оправдывают институционализацию гендерного неравенства. Существует опасение, что биология может быть использована для интеллектуального обоснования сексизма. Это вполне обоснованно, учитывая нашу историю. В чужих руках доказательства естественных различий действительно могут быть использованы для оправдания угнетения. Но полностью отрицать науку бесполезно: правда всегда возвращается, чтобы укусить вас в конце концов. Довольно скучная правда заключается в том, что мужские черты более полезны в одних контекстах, а женские - в других, и ни один из этих наборов по своей сути не лучше другого.

В-пятых, средние различия между группами не должны влиять на то, как мы воспринимаем отдельных людей. Это то, что большинство людей называют стереотипами, а экономисты - статистической дискриминацией. Даже если в среднем женщины более воспитаны (а это так), это не значит, что мой сын не может быть прекрасным, заботливым и сочувствующим учителем маленьких детей (а он им является). Вы, вероятно, можете назвать несколько женщин, которые не очень воспитаны. Если вы нанимаетесь на работу, где важна забота, сосредоточьтесь на человеке, а не на его поле.

Поэтому важно держать роль биологии в перспективе и быть осторожным, чтобы избежать потенциального злоупотребления. Всегда есть опасность поддаться "натуралистическому заблуждению", полагая, что все естественное обязательно должно быть хорошим. Но и отрицать или отвергать реальность естественных половых различий тоже не стоит. Я хочу, чтобы [мои дочери и сын] понимали, что между полами существуют различия, которые не формируются культурой, а имеют более фундаментальные корни, уходящие в эволюцию и биологию", - пишет антрополог Мелвин Коннер в книге "Женщины в конце концов". "Я не хочу, чтобы кто-то из них - или сотни моих студентов в год, или любая молодежь, или вообще кто бы то ни было - жил с огромным недостатком, упуская этот факт".⁶


ТЕСТОСТЕРОН: АГРЕССИЯ


Иронично, что в большинстве религиозных мифов о сотворении мира мужчина идет впереди женщины. В биологии все наоборот: в начале была женщина. Первоначальный генетический план всех людей, как и всех млекопитающих, предусматривает наличие самки. При комбинации XY задача короткой, но трудолюбивой Y-хромосомы - нарушить этот тщательно продуманный женский план. По словам оксфордского генетика Брайана Сайкса, мужчины - это "в основном генетически модифицированные женщины"⁷.

Задача номер один для Y, примерно через 7 недель после оплодотворения, - запустить рост яичек. Далее эмбрион подвергается воздействию андрогена тестостерона, который ставит его на путь к мужественности. Андрогены маскулинизируют мозг. Далее, по приказу SOX9 в клетках Сертоли, команда генетиков из двух человек - AMH на хромосоме 19p13.3 и AMHR2 на хромосоме 12 - подавляет развитие женских репродуктивных частей тела. После этого мужские гормоны берут перерыв на несколько лет, до полового созревания, когда тестостерон снова необходим, в том числе для роста пениса и простаты.

Весь процесс определения пола настолько необычайно сложен, что удивительно, что он почти всегда идет по плану. Но это так. Почти все мы рождаемся определенно мужчинами или женщинами. Иногда XX-эмбрион подвергается воздействию большего количества мужских гормонов, чем обычно, либо в результате генетической аномалии, либо в результате приема некоторых лекарств во время беременности , что может привести к определению пола как интерсексуального, а не как мужского или женского. Эта часть спектра полового развития, по словам Коннера, "как экзотическая стеклянная скульптура - маленькая, но красивая и странная".⁸ Однако исторически сложилось так, что сами интерсексуалы считались скорее странными, чем красивыми, и подвергались виктимизации, нежелательным операциям и стыду. Даже сегодня их права человека часто нарушаются.⁹ Не существует единого определения интерсекса, и существуют различные оценки его распространенности, но, применяя самое широкое определение, разумной верхней границей является оценка примерно одного человека из ста.¹⁰ Интерсексуалов с более типично женской анатомией часто определяют как женщин при рождении, но многие на самом деле чувствуют себя более комфортно с мужской идентичностью, и они часто переходят позже.¹¹ Это дает важные доказательства того, что пол в значительной степени определяется тем, что происходит в утробе матери, а не после рождения.

Одним из результатов воздействия тестостерона на мужской мозг является повышенная склонность к физической агрессии, причем не только у людей, но и почти у всех приматов и млекопитающих. Человеческие мужчины более физически агрессивны во всех культурах в любом возрасте.¹² Мальчики в пять раз чаще, чем девочки, проявляют частую агрессию в возрасте семнадцати-семнадцати месяцев.¹³ Разрыв увеличивается до ранней взрослости, а затем снова сокращается.¹⁴ Во всем мире мужчины совершают более 95 % убийств и подавляющее большинство насильственных действий другого рода, включая сексуальные нападения.¹⁵ Но связь между тестостероном, мужественностью и агрессией сложна. С одной стороны, похоже, что тестостерон не вызывает агрессию напрямую, а усиливает ее.¹⁶ Насколько сильно это усиление, во многом зависит от обстоятельств. Как показывает Кэрол Хувен в своей книге "Тестостерон: The Story of the Hormone That Dominates and Divides Us", врожденная склонность к агрессии у мальчиков и мужчин существует, но не обязательно выражена. Мы не рабы своих клеток.

Важно также отметить, что большинство обществ со временем стали гораздо менее жестокими и что сегодня уровень преступности в разных странах сильно различается. "То, что все эти факторы имеют значение, не является доказательством того, что связь между Т и агрессией слабая, - пишет Хувен, - скорее, это показывает нам, что она сложная, как и исследования, изучающие, как работает эта связь". Никто не отрицает, что культура и социализация имеют значение. Иначе было бы трудно объяснить резкие различия в уровнях мужского насилия в разных местах и в разные эпохи. Но не менее глупо отрицать, что биология тоже имеет значение, и не в последнюю очередь в различиях между мужчинами и женщинами.


БЕССТРАШНЫЕ ДЬЯВОЛЫ: РИСК


Эти половые различия не являются результатом какой-то космической случайности. Люди - это, по словам Десмонда Морриса, "воскресшие обезьяны, а не падшие ангелы". В этом и заключается суть полового отбора. Оптимальные репродуктивные стратегии были разными для мужчин и женщин, что в долгосрочной перспективе отразилось на нашей психологии. Например, мужчины более склонны к риску. Это не социальная конструкция. Это можно выявить в каждом известном обществе на протяжении всей истории, как показывает Джойс Бененсон в своей книге Warriors and Worriers: The Survival of the Sexes.¹⁹ "Половые различия существуют практически во всех областях, в которых изучался риск, причем мужчины рискуют больше, чем женщины", - пишет группа ученых, изучающих стили руководства. "Аналогичные результаты были получены от охотников-собирателей до руководителей банков"²⁰.

Как и агрессия, стремление к риску - одно из различий между мужской и женской психологией, которое имеет четкие корни в нашей эволюционной истории. Таким образом, рисковать для мужчин имеет больше смысла. Но почему? Если говорить прямо, то потому, что у мужчин гораздо меньше шансов размножиться, чем у женщин. На самом деле у нас в два раза больше предков-женщин, чем предков-мужчин.²¹ Это может занять минуту, чтобы понять. В конце концов, с точки зрения генетики, у каждого человека должны быть мать и отец. Но, конечно, один мужчина может иметь много детей от многих женщин, а другой - ни одного. Именно так и произошло в истории. Чингисхан, прямой предок одного из 200 современных людей, является, пожалуй, самым известным примером. Вежливо это можно выразить так: "У самцов дисперсия репродуктивного успеха выше, чем у самок".²² Психолог Рой Баумайстер говорит об этом более прямолинейно: "Чтобы максимизировать воспроизводство, культуре нужны все матки, которые она может получить, но и несколько пенисов могут справиться с этой задачей. Обычно пенисы в избытке"²³.

Добавьте к этому тот факт, что большинство человеческих обществ были полигинными, позволяя мужчинам иметь несколько жен, и вы получите то, что гарвардский эволюционный психолог Джозеф Хенрих называет "математической проблемой избытка мужчин"²⁴ Именно здесь и возникает риск. Мужчины, которым грозит опасность стать эволюционными неудачниками, будут готовы пойти на серьезный риск, чтобы получить доступ к своей паре: возможно, совершить преступление, чтобы получить больше ресурсов, или сразиться в потенциально прибыльной войне. Даже шансы на успех 50 на 50 кажутся неплохими для мужчины, который в противном случае вряд ли вообще будет иметь детей. В результате, - пишет Хенрих, - психология мужчин меняется таким образом, что это вызывает более острую конкуренцию между мужчинами".

Недавние доказательства этого утверждения получены в ходе исследования политики одного ребенка в Китае, которая была введена в разных провинциях в разное время, что дало исследователям возможность изучить ее последствия. Поскольку семьи предпочитали рожать мальчиков, после введения этого правила соотношение полов резко изменилось в сторону мужчин. Экономист Лена Эдлунд показала, что через 18 лет после введения этой политики в каждой области, по мере того как избыточные мальчики становились мужчинами, уровень преступности начал расти. И не скромно: количество арестов увеличилось почти вдвое.²⁵ Работа Эдлунд подчеркивает важный момент. Несмотря на то, что мужская психология более склонна к риску, это обычно выливается в антисоциальные формы рискованного поведения (такие как преступление) только в условиях жесткой конкуренции.

Вряд ли стоит говорить о том, что мужское отношение к риску имеет множество отрицательных сторон. Когда я глазами отца средних лет вспоминаю некоторые из "игр", в которые мы с друзьями-мужчинами играли в подростковом возрасте, я содрогаюсь. Особенно выделяется та, в которой мы пытались последними промчаться по шоссе перед встречным грузовиком. (Я никогда не был последним.) Но в готовности мужчин поставить свою жизнь на кон есть и свои плюсы. Мужчины, похоже, демонстрируют большую готовность идти на риск ради спасения других, что, опять же, имеет прекрасный эволюционный смысл, учитывая относительно большую важность женского тела для воспроизводства.

Ежегодно Фонд героев Карнеги, основанный в 1904 году, выдает медали гражданским лицам за мужественные поступки, в частности за риск своей жизнью ради спасения незнакомца. В 2021 году 66 из 71 медали получили мужчины.²⁶ Среди награжденных в том году были 19-летний Лукас Й. Сильверио Мендоза, погибший при попытке вывести трехлетнего ребенка из горящего здания, и 17-летний Кристиан Александр Бургос, который утонул, спасая жизнь 9-летнего мальчика и его матери. Мы можем попытаться уменьшить негативные стороны большей готовности мужчин идти на риск, но также поощрять и отмечать те преимущества, которые это может принести. Как писала Маргарет Мид, "важно, чтобы задачи будущего были организованы таким образом, чтобы, когда смерть за свою страну станет неосуществимой, риск за то, что любимо, все еще был возможен"²⁷ (Пока я пишу, однако, перспектива умереть за свою страну слишком реальна в раздираемой войной Украине).


СЕКС НА МУЖСКОЙ МОЗГ


Учитывая, что различия между мужской и женской психологией возникли во многом благодаря половому отбору, возможно, не стоит удивляться тому, что наибольшие различия между мужчинами и женщинами касаются самого секса. С биологической точки зрения, мужчины просто более похотливы - или обладают тем, что Коннер называет "управляемой сексуальностью", - чем женщины.²⁸ Всеобъемлющий обзор 150 исследований обнаружил подавляющие доказательства того, что мужчины обладают более сильным сексуальным влечением, "отражающимся в спонтанных мыслях о частоте секса и разнообразии сексуальных фантазий, желаемой частоте половых актов, желаемом количестве партнеров, мастурбации, симпатии к различным сексуальным практикам, готовности отказаться от секса, инициативе и отказе от секса, жертвовании ради секса и других показателях"²⁹ Как говорит герой Билли Кристалла в фильме City Slickers, "женщинам нужна причина, чтобы заняться сексом. Мужчинам нужно только место".

И опять же, у этого различия есть веская эволюционная причина. Имея гораздо более высокие шансы не стать отцом детей, мужчины должны были быть готовы использовать практически любую возможность для деторождения. "Физически мужчины в расцвете сил находятся в состоянии почти вечной готовности к паре с любой женщиной в их окружении, которая, вероятно, способна зачать и выносить ребенка", - пишет Марианна Легато, директор Фонда гендерно-специфической медицины.³⁰ Именно поэтому Легато и другие считают здоровье эрекции показателем общего состояния здоровья мужчины.

Коммерциализация мужского сексуального влечения так же стара, как и история; в латинском языке существует двадцать пять слов, означающих "проститутка".³¹ За секс платят почти исключительно мужчины, и сегодня в США работает около 1 миллиона проституток, что намного больше, чем священников и пасторов.Исследование, проведенное в Нью-Йорке, показало, что открытие стрип-клуба или эскорт-агентства снижает уровень сексуальной преступности в близлежащем районе на 13 %.³³ Через секс-бизнес проходит больше денег, чем через наркотики и оружие вместе взятые, согласно исследованию восьми городов, проведенному Городским институтом.³⁴ Реальность мужского сексуального влечения означает, хотим мы этого или нет, что работники секс-бизнеса всегда будут с нами. Политики должны признать этот факт, а не заниматься магическими рассуждениями о перспективах изменения мужской сексуальности. (Декриминализация проституции была бы полезна, не в последнюю очередь для улучшения условий жизни самих секс-работников)³⁵.

Порнография также не нова. Эротическая статуэтка из слоновой кости, обнаруженная в 2008 году, датируется примерно 35 000 лет назад.³⁶ Каждая технологическая революция, от печатного станка до фотоаппарата и кино, означает больше порнографии. Но интернет стал мультипликатором. В 2021 году PornHub и Xvideos, два крупнейших онлайн-порносайта, ежемесячно посещали в среднем 694 миллиона и 640 миллионов человек соответственно только в США. Для сравнения, это больше, чем у Netflix (541 миллион) или Zoom (630 миллионов). Название всестороннего обзора, проведенного для Управления уполномоченного по правам детей Великобритании, хорошо резюмирует ситуацию: "По сути... порно повсюду".³⁷ Некоторые женщины, конечно, тоже смотрят порно, но гораздо реже, чем мужчины.³⁸

Когда писатель New Yorker и комментатор CNN Джеффри Тубин прославился тем, что был замечен мастурбирующим в перерыве длинного совещания по Zoom, реакция большинства моих подруг была примерно такой: "О чем он думал в середине совещания, в середине дня?". Для большинства мужчин она была такой: "О чем он думал, когда не проверил, выключена ли камера?" Я думаю, что одна из причин, по которой просмотр порнографии может вызывать такую сильную негативную реакцию, заключается в том, что она ярко высвечивает природу мужской сексуальности. Как правило, молодые мужчины сообщают, что смотрят порно 2 или 3 дня в неделю, почти всегда в сопровождении мастурбации, и обычно недолго (6 минут - средняя продолжительность просмотра). Мужчины, состоящие в постоянных сексуальных отношениях, мастурбируют под порно гораздо реже.³⁹ Как и в случае с играми, проблема заключается в небольшом количестве активных пользователей, которые могут стать зависимыми.

Вряд ли стоит добавлять, что культура, хорошо это или плохо, оказывает огромное влияние на выражение движущей сексуальности мужчин. Одна из важнейших вещей, которой юноши учатся в окружающей их культуре, - как правильно выражать свое сексуальное желание. Но мужская похоть - это факт жизни.


КУЛЬТУРНЫЕ ЖИВОТНЫЕ


Я надеюсь, что убедил вас в том, что хотя биологические различия между полами не являются определяющими в поведении, они имеют значение, и отрицание этого мало что даст. Но наше окружение и культура тоже имеют большое значение. Это не природа или воспитание. Это природа и воспитание. "У нас нет карточки "свободен от эволюции", - пишет Кевин Митчелл, нейрогенетик из Тринити-колледжа в Дублине, - но мы и не мясные роботы, чье поведение определяется положением нескольких ручек и переключателей, не зависящих ни от каких общественных сил ."⁴⁰ Некоторые из наиболее интересных последних исследований в этой области показывают, как наше непосредственное окружение, особенно в детстве, формирует способ выражения генетической предрасположенности. Например, взросление в стрессовой или нестабильной семейной обстановке влияет на способность мозга к метаболизму серотонина, который помогает снизить агрессивное поведение.⁴¹ Различные жизненные траектории однояйцевых близнецов влияют на то, насколько ослабляются или усиливаются гены, связанные с рискованными действиями.⁴² У детей, чьи отцы сидят в тюрьме, наблюдается сокращение длины теломер (концов хромосом), что повышает риск возникновения проблем со здоровьем во взрослом возрасте. Мальчики с генами, которые делают их более чувствительными к окружающей среде, хуже себя чувствуют, когда их биологический отец покидает семью, но при этом получают большую пользу, если их биологический отец присоединяется к семье - пример того, как орхидея может приносить как выгоду, так и затраты.⁴³ Существует бесчисленное множество других примеров сложных двусторонних отношений между физической биологией и социальной средой.

Тот факт, что биология имеет значение, не делает культуру менее важной. Более того, он делает ее более важной. Культура определяет, как мы управляем, направляем и выражаем многие из природных качеств, которые я здесь описал. Биология влияет на культуру, но культура также влияет на нашу биологию. Как утверждает Джозеф Хенрих, логичнее всего думать о коэволюции природы и воспитания. "Культура перестраивает наш мозг и изменяет нашу биологию, - говорит он, - не изменяя при этом генетический код"⁴⁴ Когда люди научились пользоваться огнем, мы стали есть больше мяса, например, и наши пищеварительные системы адаптировались. Грамотность изменила психологию многих людей, которые стали теми, кого Хенрих называет WEIRD (западными, образованными, промышленно развитыми, богатыми и демократичными).

Один из ярких примеров - роль брака, который Хенрих довольно жестоко описывает как "систему подавления тестостерона". Уровень тестостерона наиболее высок у молодых холостых мужчин, и те, у кого он выше, чаще становятся отцами. Но затем уровень тестостерона падает среди мужчин, которые остепеняются, обзаводятся женой и детьми, и это падение наиболее резкое среди мужчин, которые больше заботятся о детях. Одна группа ученых, изучавших эти данные, пришла к выводу, что "человеческие мужчины имеют развитую нейроэндокринную архитектуру, которая способствует их роли отцов и воспитателей как ключевого компонента репродуктивного успеха".⁴⁶ Здесь есть и более широкие социальные последствия. По мере распространения института моногамного брака росло число мужчин, непосредственно участвующих в воспитании детей. Коллективное воздействие, благодаря снижению уровня тестостерона, привело к резкому снижению общего уровня мужского насилия. Это хороший пример сложного взаимодействия между биологией, непосредственным окружением и более широкой культурой.⁴⁷


ХРУПКАЯ МУЖЕСТВЕННОСТЬ


Антропологи сходятся во мнении: Мужское начало хрупко. Женственность более прочна, поскольку в большей степени определяется специфической ролью женщины в воспроизводстве. Как пишет феминистский антрополог Шерри Ортнер, "это просто факт, что пропорционально большая часть пространства тела женщины, на протяжении большей части ее жизни... занята естественными процессами, связанными с воспроизводством вида".⁴⁸ Женственность в большей степени определяется биологией, а мужественность - социальной конструкцией. Именно поэтому мужественность имеет тенденцию быть более хрупкой, чем женственность. Когда был последний "кризис женственности"? Правильно: никогда.

Мужественность определяется как поведением, так и биологией. "Я очень рано понял, что то, что мужчина делает... даже важнее, чем то, кем он является", - писал британский психиатр Энтони Клэр в своей книге "О мужчинах: Masculinity in Crisis.⁴⁹ Клэр имел в виду именно оплачиваемую работу в современном капиталистическом обществе, но общее наблюдение справедливо почти для всех известных человеческих обществ. Мужественность - это непрерывное достижение, а не просто отдельная веха. Во многих культурах обряды инициации - часто связанные с физическим принуждением или риском - знаменуют переход от мальчика к мужчине. Как писал американский поэт Леонард Кригель, "в каждую эпоху, не только в нашу, мужественность была чем-то, что нужно было завоевать"⁵⁰.

Но то, что можно завоевать, можно и потерять. Отсюда и хрупкость. Формирование мужественности - важная культурная задача в любом обществе, особенно в периоды быстрых социальных изменений, как в нашем. "Мужественность - это символический сценарий, культурная конструкция", - пишет антрополог Дэвид Гилмор.⁵¹ "Настоящие мужчины не просто появляются со временем естественным путем, как бабочки из мальчишеских коконов; их нужно усердно вытаскивать из их ювенильных оболочек, формировать и воспитывать, советовать и подталкивать к мужественности"⁵² Это не значит, что существует единый план создания мужчин. Если мы говорим, что мужчин нужно создавать, это не значит, что существует только один набор инструкций. В разных культурах представления о том, что такое "настоящий мужчина", сильно различаются.

Поведение человека определяется сочетанием природы (наши инстинкты, основанные на биологии), воспитания (инструкции, которые мы получаем из окружающей нас культуры) и агентства (наша личная инициатива). Большая часть драматизма человеческой жизни проистекает из напряжения между этими тремя силами. Как заявляет шекспировский Кориолан: "Я никогда не буду / Таким гусем, чтоб инстинкту повиноваться; но стоять, / Как если б человек был автором самого себя, / И не знал другой родни"⁵³.

Он пытается игнорировать как природу, инстинкт гослинга, так и свои социальные обязанности перед сородичами, и просто идти своим путем. Разумеется, ему это не удается. Никто не может просто освободиться от биологии или культуры и стать полностьюавтономным агентом. Даже просвещенные современные люди в глубине души остаются животными. Все, что мы можем сделать, - это попытаться найти подходящий баланс. Хорошая новость заключается в том, что по мере развития общества сначала культура, а затем и индивидуальная деятельность становятся все более важными. Калейдоскоп наших жизненных решений становится все более красочным. Но мы не должны совершать ошибку Кориолана и думать, что можем избежать нашей культуры. Мы, как утверждает Рой Баумейстер в книге "Культурное животное", созданы для культуры. "Человеческие существа сформированы - сначала генами, а затем социальным окружением, - пишет он, - чтобы жить в культуре"⁵⁴.

Культура сыграла особенно важную роль в направлении энергии людей на позитивные социальные цели, особенно научив их заботиться о других. Но "это поведение, усвоенное, хрупко, - предупреждала Маргарет Мид, - и может довольно легко исчезнуть в социальных условиях, которые больше не учат его эффективно".⁵⁵ Это предупреждение, к которому нам следует прислушаться.


ПАРАДОКС СТЕБЛЯ


Я уже подчеркивал, что средние различия между группами по любой заданной характеристике обычно дают ограниченную информацию о каждом конкретном человеке. Но в совокупности по всем группам населения эти различия могут привести к определенным закономерностям, например, в выборе профессии. В последнее время наблюдается активное движение за привлечение большего числа девочек и женщин к карьере в области STEM - науки, технологии, инженерии и математики. Оно оказалось довольно успешным: сейчас женщины составляют 27 % работников этих профессий, что является большим скачком по сравнению с 8 % в 1970 году, хотя, конечно, до паритета еще далеко.⁵⁶ Но стоит ли ожидать, что мы достигнем гендерного паритета 50/50 во всех этих профессиях? Скорее всего, нет. В среднем, помните, мужчин больше привлекают вещи, а женщин - люди.⁵⁷ Даже в условиях идеального гендерного равенства, скорее всего, больше мужчин, чем женщин, выберут эти карьерные пути. Не из-за сексизма или социализации, а из-за реальных различий в предпочтениях.

В 2018 году два исследователя, Гийсберт Стоет и Дэвид Гири, показали, что в странах с более высоким уровнем гендерного равенства, таких как Финляндия и Норвегия, женщины реже посещают университетские курсы по предметам STEM. Стоет и Гири назвали это "парадоксом гендерного равенства"⁵⁸ Они предположили, что в странах с высоким уровнем доходов и сильным государством всеобщего благосостояния экономические стимулы для карьеры в области НТИМ могут быть ниже, что позволяет женщинам выбирать курсы и работу, которые в большей степени соответствуют их личным предпочтениям. Некоторые смежные исследования подтверждают выводы Стоэта и Гири. Армин Фальк и Йоханнес Хермле изучили половые различия в некоторых предпочтениях, таких как готовность рисковать, терпение, альтруизм, позитивная и негативная взаимность и доверие, в разных странах. Половые различия были наибольшими в более богатых и более гендерно равных странах, причем в каждой из них они имели независимый эффект. Авторы пришли к выводу, что "более эгалитарное распределение материальных и социальных ресурсов позволяет женщинам и мужчинам независимо выражать гендерные предпочтения".⁵⁹ Аналогичное исследование с использованием других источников данных пришло к такому же выводу. "Возможное объяснение заключается в том, что люди в более прогрессивных и равноправных странах имеют больше возможностей для выражения врожденных биологических различий", - говорит один из авторов исследования, Петри Кайониус. "Другая теория заключается в том, что люди в прогрессивных странах имеют большее желание выразить различия в своей идентичности через пол".

Важно отметить, что ни одно из этих исследований не имеет дизайна, позволяющего однозначно установить причинно-следственную связь. Но, по крайней мере, эта работа должна заставить нас с осторожностью относиться к идее идеального гендерного паритета во всех сферах жизни. Некоторые из наблюдаемых нами различий могут быть результатом осознанного личного выбора, и если это так, то мы должны уважать этот выбор. В то время как консерваторы иногда говорят, что женщины, не соответствующие традиционным ролям, отрицают свою природу, многие левые настаивают на том, что женщины, которые так поступают, должны сдаться сексизму. Но я думаю, что автор Atlantic Ольга Хазан понимает это правильно: "Итог этого исследования не является ни особенно феминистским, ни особенно печальным. Дело не в том, что гендерное равенство отбивает у девушек охоту заниматься наукой. А в том, что оно позволяет им не делать этого, если они не заинтересованы"⁶¹.

Здесь стоит повторить два момента. Во-первых, средние различия между группами никогда не должны влиять на отношение к отдельным людям. Даже если в инженерной профессии заинтересовано несколько меньше женщин, чем мужчин, это не является оправданием для дискриминации конкретной женщины. Во-вторых, распределения этих качеств все равно существенно пересекаются. Например, в одном крупном исследовании половых различий по критерию "люди против вещей" почти половина (47 %) распределений мужчин и женщин совпали друг с другом.⁶² Это означает, что ничтожное представительство одного из полов в определенной профессии не может быть объяснено естественными предпочтениями. В одном интересном исследовании, проведенном психологами Ронг Су и Джеймсом Раундсом, сравнивалась доля женщин, которые должны были бы работать в различных профессиях, исходя из гендерных различий в интересах, с фактическими показателями. Некоторые из их результатов приведены на рисунке 7-1.⁶³.


РИСУНОК 7-1 Половые различия в интересе к работе и выборе работы


Прогнозируемая и фактическая доля женщин в отдельных областях НТИМ.



Примечание: на основе обновленной таблицы, полученной в результате личного общения с доктором Су 1 февраля 2022 года.


Источник: Ронг Су, Джеймс Раундс, Патрик Ян Армстронг, "Мужчины и вещи, женщины и люди", таблица 4 и рисунок 1, см. примечание 2 в этой главе.


Су и Раундс обнаружили хорошее соответствие во многих областях, таких как математика (40%) и биологические науки (45%). Однако в инженерном деле женщины были значительно недопредставлены: по их оценкам, если бы выбор профессии определялся только интересами, то среди инженеров было бы около 30 % женщин, однако фактическое число женщин-инженеров вдвое меньше. На другом конце шкалы наблюдается значительная перепредставленность женщин в сфере медицинских услуг, которая включает в себя сестринское дело. В главе 11 я приведу убедительные аргументы в пользу того, что в сфере здравоохранения и образования может и должно работать гораздо больше мужчин.


PSYCHED


Миссия Американской психологической ассоциации - "приносить пользу обществу и улучшать жизнь"⁶⁴. Но ассоциация не справилась с этой задачей, выпустив в 2018 году руководство по работе с мальчиками и мужчинами. В резюме руководства говорится, что "традиционная маскулинность, характеризующаяся стоицизмом, конкурентоспособностью, доминированием и агрессией, в целом вредна"."В докладе АПА также описывается связанная с этим проблема "идеологии мужественности", которая определяется как "определенное созвездие стандартов, господствующих над широкими слоями населения, включая: антиженственность, достижения, отказ от видимости слабости, а также приключения, риск и насилие"⁶⁶.

Ассоциация быстро подверглась нападкам со стороны консервативных критиков, которые заявили, что эти рекомендации равносильны "конверсионной терапии", подобной той, что когда-то предлагалась лесбиянкам и геям.⁶⁷ В Твиттере было опубликовано разъяснение: "Руководство поддерживает поощрение положительных аспектов "традиционной мужественности", таких как мужество и лидерство, и отбрасывает такие черты, как насилие и сексизм, отмечая при этом, что подавляющее большинство мужчин не склонны к насилию."⁶⁸ Это было ложью. В руководстве нет ни одного упоминания об этих положительных аспектах мужественности.

Возможно, некоторые люди из политических правых слишком бурно отреагировали. Но нет никаких сомнений в том, что АПА выпустила плохой документ. Руководство не признает никаких биологических основ для мужской психологии. Тестостерон, например, не упоминается. С точки зрения АПА, похоже, что мужественность полностью социально сконструирована. "К моменту достижения зрелого возраста, - говорится в докладе, - мужчина будет склонен демонстрировать поведение, предписанное его этнической принадлежностью, культурой и различными конструкциями мужественности".

Полное отсутствие биологии здесь контрастирует с аналогичным докладом ассоциации о девочках и женщинах, в котором с пользой для дела обсуждаются потенциальные психологические последствия полового созревания, родов и менопаузы.⁶⁹ Итак, в то время как к девочкам и женщинам относятся как к плоти и крови, мальчики и мужчины рассматриваются как чистые листы. Очевидно, что это абсурдно. Но это и вредно, не в последнюю очередь из-за плохого руководства для психологов, 80% которых составляют женщины, когда они пытаются помочь мальчикам и мужчинам.

АПА - не единственное учреждение, которое, похоже, испытывает нечто вроде отвращения к науке, когда речь заходит о сексе и биологии. В 2015 году Фонд Макартуров выпустил сорокасемистраничный доклад о последствиях новейших научных данных о развитии подростков для ювенальной юстиции.⁷⁰ В докладе правильно обращается внимание на расовые различия. Но, несмотря на огромные различия между девочками и мальчиками-подростками в плане развития мозга, особенно в том, что касается рискованных действий и агрессии, в докладе не было ни одного упоминания о поле или гендере. Страх перед "половым детерминизмом", похоже, в этих случаях привел к нежеланию считаться с доказательствами естественного влияния на поведение или даже признавать их. Когда такой близорукий подход используется профессиональными организациями или исследовательскими институтами, все идет не по плану.


ТАНЦЫ И КОРАБЛЕКРУШЕНИЯ


J. Ф. Роксбург, первый директор школы Стоу, частной школы для мальчиков в Англии, описывал свою цель как воспитание мужчин, которые были бы "приемлемы на танцах и бесценны при кораблекрушении"⁷¹. Ему нужны были мужчины, способные на такие жертвы, которые приносят обладатели медалей "Герой Карнеги". Возможно, он имел в виду героизм многих мужчин на "Титанике", который, как известно, затонул в 1912 году, причем выживших пассажиров-мужчин было всего 19 %, тогда как женщин - 75 %.⁷² Но первая половина формулировки Роксбурга еще более важна. Мужчины, которые "приемлемы на танцах", - это те, кто научился вести себя в компании, обращаться с женщинами уважительно и на равных. Короче говоря, они зрелые.

Одна из главных функций человеческой культуры - помочь молодым людям стать ответственными, осознающими себя взрослыми. Зрелость означает, помимо всего прочего, способность выверять свое поведение таким образом, чтобы оно соответствовало обстоятельствам. Быть взрослым - значит научиться сдерживать свою природу. Мы учимся ходить в туалет. Мы учимся не бить друг друга, когда расстроены. Мы учимся не действовать импульсивно. Мы учимся сопереживать, сдерживаться, размышлять. На это требуется время, по крайней мере пара десятилетий. У мальчиков это занимает чуть больше времени, чем у девочек. Но большинство из нас в конце концов справляются с этим. Мальчики становятся мужчинами, даже джентльменами. Мальчик по-прежнему с нами, просто он больше не главный.


ЧАСТЬ

IV

. ПОЛИТИЧЕСКИЙ ТУПИК


ГЛАВА 8. ПРОГРЕССИРУЮЩАЯ СЛЕПОТА


Политические левые отрицают


Мои сыновья учились в школе с "культурой токсичной мужественности". Возможно, это было не первое место, где вы бы стали ее искать. Средняя школа Bethesda-Chevy Chase High School обслуживает богатое, либеральное, высокообразованное пригородное сообщество недалеко от Вашингтона, округ Колумбия. Треть взрослых в округе имеют высшее образование.¹ Четверо из пяти проголосовали за Джо Байдена.² В 2019 году школьный округ добавил третий вариант пола ученика.³ Если существует либеральный пузырь, то это пузырь внутри этого пузыря.

Но в 2018 году в школе произошел инцидент, который широко освещался в СМИ, в том числе в программах CBS "Это утро", ABC "Доброе утро, Америка" и NBC "Today show" ("расплата за сексуальные домогательства"), а также в журналах Washingtonian и Washington Post.⁴ Британская газета Daily Mail подхватила эту историю.⁵ Вот что произошло. Один мальчик из школы составил список своих одноклассниц, проранжировав их по степени привлекательности, и поделился им с несколькими своими друзьями, некоторые из которых добавили свои собственные мнения. Спустя несколько месяцев одна из девочек увидела этот список на ноутбуке другого мальчика. Несколько девочек пожаловались администрации школы. Мальчику, создавшему список, сделали замечание и посадили под арест. Последовал протест. Для нас, девочек, это была последняя капля в этой культуре "мальчики будут мальчиками", - сказала одна из участниц акции в интервью газете Washington Post.⁶

Часть заявления, зачитанного на акции протеста у кабинета директора школы, содержала следующее требование: "Мы должны иметь возможность учиться в среде, где нет постоянного присутствия объективации и женоненавистничества". В школе прошли большие собрания, на которых обсуждалась культура. Мальчик, создавший список, лично извинился перед девочками, о которых шла речь, и перед Washington Post. Директор школы и две ученицы позже приняли участие в обсуждении этой проблемы на канале C-SPAN.⁷

Это был один случай, в одной школе, в определенный момент времени. Он громче всех прозвучал на моем радаре, потому что произошел в нашей местной школе. Но что было поучительно в этом инциденте, так это то, как его сразу же оформили, особенно в СМИ, как пример "токсичной мужественности". Если это действительно так, то этот термин приобрел настолько широкое определение, что его можно применить практически к любому антисоциальному поведению мальчиков или мужчин.

Одно дело - указывать на то, что есть аспекты мужественности, которые в незрелом или крайнем проявлении могут быть глубоко вредными, совсем другое - предполагать, что естественная черта, присущая мальчикам и мужчинам, является плохой по своей сути. Навешивать ярлык "токсичной мужественности" на такое поведение без разбора - ошибка. Вместо того чтобы вовлечь мальчиков в диалог о том, какие уроки можно извлечь, гораздо вероятнее отправить их в онлайн-маносферу, где их будут успокаивать, что они не сделали ничего плохого, и что либералы хотят их поймать. Девочки-подростки тоже способны на подобные издевательства и неуважительное отношение, часто по отношению к другим девочкам, но это не считается "токсичной женственностью".

Этот инцидент в нашей школе подчеркивает первый из четырех главных недостатков левых политических сил в вопросах, касающихся мальчиков и мужчин, - тенденцию патологизировать естественно возникающие аспекты мужской идентичности, обычно под знаменем токсичной маскулинности. Второй прогрессивный недостаток - индивидуализм; мужские проблемы рассматриваются как результат индивидуальных неудач того или иного рода, а не структурных проблем. Третий - нежелание признавать биологическую основу половых различий. В-четвертых, это непоколебимая убежденность в том, что гендерное неравенство может быть только в одну сторону, то есть в сторону ущемления женщин. Здесь я по очереди рассмотрю каждый из этих четырех недостатков прогрессистов, а затем в главе 9 обращусь к столь же пагубной реакции политических правых.


ИЗОБРЕТЕНИЕ ТОКСИЧНОЙ МУЖЕСТВЕННОСТИ


До 2015 года словосочетание "токсичная маскулинность" встречалось лишь в нескольких научных кругах.⁸ По словам социолога Кэрол Харрингтон, до 2015 года количество статей, в которых использовался этот термин, не превышало двадцати, и почти все упоминания были в научных журналах. Но с приходом к власти Дональда Трампа и движением #MeToo прогрессисты ввели его в повседневный обиход. К 2017 году появились тысячи упоминаний, в основном в мейнстримных СМИ. Харрингтон отмечает, что этот термин почти никогда не определяется, даже учеными, и вместо этого используется, чтобы просто "сигнализировать о неодобрении"⁹ Не имея никакого последовательного или непротиворечивого определения, фраза теперь относится к любому мужскому поведению, которое пользовательница не одобряет, от трагического до тривиального. В ней, в частности, обвиняют массовые расстрелы, №⁰ групповое насилие, №¹ изнасилование, №² интернет-троллинг, №³ изменение климата, №⁴ финансовый кризис, №⁵ Brexit, №⁶ избрание Дональда Трампа, №⁷ и нежелание надевать маску во время пандемии COVID-19.¹⁸ Объединяя террористов и правонарушителей, она в конечном итоге отравляет саму идею мужественности. Опрашивая десятки мальчиков-подростков и юношей для своей книги "Мальчики и секс", Пегги Оренштейн всегда спрашивала их, что им нравится в том, чтобы быть мальчиком. По ее словам, большинство из них ничего не ответили. "Это интересно", - сказал ей один второкурсник колледжа. "Я никогда об этом не задумывалась. Гораздо чаще слышишь о том, что не так с парнями".

Токсичная мужественность - контрпродуктивный термин. Очень немногие мальчики и мужчины хорошо отреагируют на идею о том, что внутри них есть что-то токсичное, что нужно изгнать. Это особенно верно, если учесть, что большинство из них довольно сильно идентифицируют себя со своей мужественностью. Девять из десяти мужчин и женщин называют себя либо "полностью", либо "в основном" мужественными или женственными.²⁰ Эти гендерные идентичности также достаточно сильны. Почти половина мужчин (43 %) заявили, что их пол "чрезвычайно важен" для их идентичности. В другом опросе, проведенном Pew Research Center, аналогичная доля мужчин (46 %) заявила, что для них очень или немного важно, чтобы окружающие видели в них "мужественных или мужских".²¹ (В обоих опросах цифры были еще выше для женщин). Другими словами, большинство людей довольно сильно идентифицируют себя как мужественных или женственных. Плохая идея - посылать половине населения культурный сигнал о том, что с ними, возможно, что-то не так по своей сути.

"Токсичная маскулинность... отталкивает большинство ненасильственных, неэкстремальных мужчин, - утверждает писательница-феминистка Хелен Льюис, - и мало что делает для устранения недовольства или противодействия методам, которые привлекают восприимчивых людей к ультраправым".²² Учитывая результаты только что проведенного опроса, это может оказаться не лучшей политикой. Половина американских мужчин и почти треть женщин (30 %) считают, что общество "наказывает мужчин только за то, что они ведут себя как мужчины", согласно опросу, проведенному Исследовательским институтом общественной религии.²³ Как и следовало ожидать, существует раскол по партийному признаку. С этим согласны трое из пяти республиканцев, в то время как среди демократов таких только один из четырех.²⁴ Религия тоже играет свою роль. Половина белых и черных протестантов, например, согласны с тем, что мужчин наказывают за то, что они ведут себя как мужчины (50% и 47% соответственно).

Патологизация мужественности может даже подорвать поддержку феминизма. В 2018 году YouGov опросил тех женщин, которые не относят себя к феминисткам, на предмет их мнения о феминизме. Почти половина (48 %) ответила, что "феминистки слишком экстремальны" и что "нынешняя волна феминизма не представляет собой истинный феминизм" (47 %). Каждый четвертый (24 %) сказал, что "феминистки настроены против мужчин"²⁶ Эти результаты должны заставить прогрессистов задуматься. Спеша осудить темную сторону мужских черт, они подвергают себя серьезной опасности патологизации самих этих черт. Многие женщины чувствуют себя некомфортно в связи с этой тенденцией. А мальчику или мужчине, который чувствует себя похотливым или неугомонным, слишком часто говорят, что с тобой что-то не так. Но это не так. Мужественность - это не патология. Как я показал в главе 7, это, в буквальном смысле, факт жизни.


ОБВИНЯЯ ЖЕРТВУ


Второй большой недостаток прогрессивного мышления в отношении мужчин и мужественности - это индивидуализм. Обычно прогрессисты не хотят возлагать на отдельных людей слишком большую ответственность за их проблемы. Если кто-то страдает ожирением, совершает преступление или не имеет работы, прогрессисты по умолчанию ищут в первую очередь структурные, внешние причины. Это ценный инстинкт. Слишком легко обвинять отдельных людей в структурных проблемах. Но есть одна группа, которую прогрессисты, похоже, готовы обвинить в своем бедственном положении: мужчины. Ютубер Натали Уинн хорошо описывает эту позицию: "Мы говорим: "Послушайте, токсичная мужественность - это причина, по которой у вас нет возможности выразить свои чувства, по которой вы чувствуете себя одинокими и неадекватными". ... Мы как бы просто говорим мужчинам: "Ты одинок и склонен к самоубийству, потому что ты токсичен. Остановись! "²⁷

Кэрол Харрингтон считает, что термин "токсичная маскулинность" играет здесь важную роль, поскольку он естественным образом фокусирует внимание на недостатках характера отдельных мужчин, а не на структурных проблемах. Если у мужчин депрессия, то это потому, что они не хотят выражать свои чувства. Если они болеют, то это потому, что они не идут к врачу. Если они не успевают в школе, то это потому, что им не хватает целеустремленности. Если они рано умирают, то это потому, что они слишком много пьют, курят и едят не то, что нужно. Для левых политических деятелей, таким образом, обвинение жертвы допустимо, когда речь идет о мужчинах.

Пандемия хорошо проиллюстрировала эту индивидуалистическую тенденцию. Мужчины значительно более уязвимы к COVID-19. Во всем мире вероятность смерти мужчин после заражения вирусом была примерно на 50 % выше, чем у женщин.²⁸ В США к концу 2021 года от КОВИДа умерло примерно на 85 000 мужчин больше, чем женщин. На каждые 100 смертей среди женщин в возрасте 45-64 лет приходилось 184 смерти среди мужчин.²⁹ В результате средняя прогнозируемая продолжительность жизни американских мужчин сократилась на 2 года, что стало самым большим снижением со времен Второй мировой войны, тогда как у женщин она сократилась на 1 год.⁰ В Великобритании уровень смертности среди мужчин трудоспособного возраста был в два раза выше, чем среди женщин того же возраста.²¹ Эти различия, похоже, не произвели никакого впечатления на чиновников и политиков, даже если они знали о них.³²

Более высокий уровень смертности среди мужчин также практически не привлекал внимания медицинских учреждений и средств массовой информации. А когда это признавалось, то в основном объяснялось тем, что мужчины либо более уязвимы из-за уже имеющихся заболеваний, связанных с факторами "образа жизни", такими как курение или алкоголь, либо из-за отсутствия ответственности в отношении мер безопасности, например, ношения масок.³³ Короче говоря, если мужчины умирают, то это их собственная вина. Но это было не так. Разрыв в смертности не объясняется половыми различиями в уровне заболеваемости инфекциями или предсуществующими заболеваниями.³⁴ Разница биологическая.

Половые различия в смертности от Ковида ясно показывают, что нам нужно больше того, к чему феминистские защитники здоровья призывают уже несколько десятилетий: больше гендерно-ориентированной медицины, включая клинические испытания, в которых результаты и побочные эффекты распределяются по полу. "За последние два десятилетия мы радикально пересмотрели методы проведения медицинских исследований и ухода за пациентками", - пишет Марианна Дж. Легато. "Теперь я считаю, что... настало время сосредоточиться на уникальных проблемах мужчин так же, как мы научились это делать с женщинами".³⁵ Хорошим первым шагом было бы создание в Министерстве здравоохранения и социальных служб Управления по охране здоровья мужчин, аналогичного тому, которое уже существует для женщин, и с эквивалентным финансированием в размере 35 миллионов долларов.³⁶ Закон о доступном здравоохранении также должен быть расширен, чтобы предоставить мужчинам такое же покрытие, которое позволяет женщинам проходить бесплатный ежегодный медицинский осмотр. Учитывая диспропорциональное воздействие COVID-19, мы должны спросить: если не сейчас, то когда?

Когда речь заходит о мужественности, и левые, и правые попадают в индивидуалистическую ловушку, но с разных точек зрения. Для консерваторов маскулинность - это решение проблемы; для прогрессистов маскулинность - это проблема. Но они оба согласны с тем, что проблема лежит на уровне индивида, а значит, в сфере психологии, а не экономики, антропологии или социологии. Это глубокая интеллектуальная ошибка. Учитывая масштаб культурных сдвигов последних десятилетий, просто читать мальчикам и мужчинам лекции о том, что нужно следовать программе, - не лучший подход. "Существует противоречие в дискурсе, который, с одной стороны, утверждает, что мужские привилегии, права и патриархат - самые мощные силы угнетения, когда-либо созданные человечеством, - пишет комментатор Guardian Люк Тернер, - а с другой стороны, (вполне понятно) хотел бы, чтобы мужчины быстро и без суеты это поняли"³⁷.


НАУКА - ЭТО РЕАЛЬНОСТЬ


Один из призывов современных политических левых - "наука - это реальность". В то время как консерваторы поддаются мифам и дезинформации, прогрессисты несут просветительский факел разума. По крайней мере, так они видят ситуацию. На самом деле отрицатели науки есть с обеих сторон. Многие консерваторы отрицают экологическую науку об изменении климата. Но многие прогрессисты отрицают неврологию половых различий. Это третья главная слабость прогрессивной позиции.

Есть веские доказательства биологической основы некоторых различий в психологии и предпочтениях между полами, как я показал в главе 7. Генетический психолог Кэтрин Пейдж Харден пишет: "Генетические различия в человеческой жизни - это такой же научный факт, как и изменение климата. То, что генетические и экологические факторы переплетены вместе, - это просто описание реальности."³⁸ Но для многих прогрессистов стало аксиомой, что половые различия в каких-либо результатах или поведении - это исключительно результат социализации. Когда речь заходит о мужественности, основной посыл левых политиков заключается в том, что мужчины аккультурированы к определенным способам поведения (в целом плохим, конечно, в этой версии), которые, следовательно, могут быть социализированы из них. Но это просто неправда. У мужчин нет повышенного сексуального влечения только потому, что общество ценит мужскую сексуальность, даже если это и так. У них больше тестостерона. Точно так же и с агрессией. Помните, что мальчики в возрасте до двух лет в пять раз чаще проявляют агрессию, чем девочки.³⁹ Это, конечно, не потому, что годовалые дети улавливают гендерные признаки в окружающем их мире.

Справедливости ради стоит отметить, что существуют некоторые обоснованные опасения по поводу того, как будет использоваться эта наука. Философ Кейт Манн опасается, что "натурализация" любого неравенства между мужчинами и женщинами может привести к тому, что "оно будет казаться неизбежным, а люди, пытающиеся противостоять ему, окажутся проигравшими битву"⁴⁰ Она в принципе права в отношении этой опасности. Естественные различия между мужчинами и женщинами часто использовались для оправдания сексизма. В основном это устаревший страх. В последние годы большинство ученых, выявляющих естественные различия, склонны подчеркивать превосходство женщин.⁴¹ Но даже осторожных ученых, продолжающих доказывать роль биологии, карикатурно называют "редуктивными" или занимающимися "секс-эссенциализмом".

Один из способов обойти эту проблему - принять подход Мелвина Коннера в книге "Женщины в конце концов" и заключить, что хотя биология имеет большое значение, но только в том случае, если она благоприятствует женщинам. На самом деле есть некоторые свидетельства того, что люди в целом более спокойно относятся к идее естественных различий, если женщины оказываются впереди в сравнении.⁴² Элис Игли и Антонио Младинич называют это "эффектом WoW (women-are-wonderful)"⁴³ В отношении полового влечения, например, Коннер может написать, что "думать, что эти различия являются результатом только культурных договоренностей, в высшей степени наивно". Но это прямое, правдивое утверждение следует за морализаторским заявлением о том, что "независимо от того, насколько естественными могут быть [сексуальные] потребности мужчин, я не вижу, что эти различные предпочтения одинаково достойны восхищения"⁴⁴.

Привлекательность такого подхода очевидна. Он позволяет обсуждать биологические различия, но таким образом, чтобы подчеркнуть патологии мужчин, обеспечивая тем самым более теплый прием среди либеральных ученых и рецензентов. Но в некотором смысле это самый опасный посыл: мужчины от природы отличаются от женщин, но только тем, что плохо. Например, явное презрение Коннера к повышенному мужскому сексуальному влечению опасно приближается к пуританским представлениям о сексуальном грехе. Не стоит утверждать, что мужчины или женщины от природы лучше друг друга. Мы просто, в среднем, отличаемся друг от друга в некоторых отношениях, которые могут быть как негативными, так и позитивными в зависимости от обстоятельств и способа выражения различий.


ОДНОСТОРОННЕЕ НЕРАВЕНСТВО


Четвертая крупная неудача левых в политике - неспособность признать, что гендерное неравенство может быть - и все чаще бывает - двусторонним. В 2021 году президент Байден создал Совет по гендерной политике при Белом доме, который стал преемником предыдущего Совета по делам женщин и девочек, упраздненного Дональдом Трампом. Но хотя название изменилось, миссия не изменилась. Официальная задача нового Совета - "направлять и координировать государственную политику, влияющую на женщин и девочек".⁴⁵ В октябре 2021 года Совет опубликовал Национальную стратегию по гендерному равенству и равноправию, первую в истории США.⁴⁶

Стратегия полностью асимметрична. Никакого гендерного неравенства, связанного с мальчиками или мужчинами, не рассматривается. Тот факт, что женщин сейчас больше, чем мужчин в колледже, отмечается, но только для того, чтобы подчеркнуть тот факт, что у женщин больше студенческих долгов, чем у мужчин. Это абсурд. Это все равно что жаловаться на то, что мужчины платят больше подоходного налога, потому что они больше зарабатывают. В стратегии вообще нет упоминания о значительном гендерном разрыве в пользу девочек в образовании K-12. Подчеркивается необходимость реформирования школьной дисциплинарной политики в помощь чернокожим девочкам, но нет ни одного упоминания о специфических проблемах чернокожих мальчиков (хотя они в два раза чаще, чем чернокожие девочки, подвергаются приостановке или исключению).⁴⁷ Подчеркивается цель расширения доступа к медицинскому страхованию для женщин, но ничего не говорится о том, что риск оказаться незастрахованным у мужчин выше, чем у женщин (15 % против 11 %).⁴⁸

Я мог бы продолжить, но вы поняли, о чем идет речь. Вы можете задаться вопросом, насколько важна эта беспристрастность, особенно если вы скептически относитесь к влиянию стратегических документов Белого дома. Но этот документ будет определять политику. Стратегия предписывает всем правительственным департаментам и агентствам "определить и расставить приоритеты, по крайней мере, по трем целям, которые будут способствовать достижению целей, определенных в этой стратегии, и подробно описать планы и ресурсы, необходимые для их достижения, в плане реализации". Неправильное мышление приводит к неправильной политике.

Представляя свою новую стратегию, Белый дом заявил, что "пандемия COVID-19 вызвала кризис в области здравоохранения, экономический кризис и кризис в сфере ухода за больными, которые усугубили проблемы, с которыми женщины и девочки... уже давно сталкиваются"⁴⁹ Это соответствовало почти всеобщей тенденции подчеркивать негативные последствия пандемии для женщин, игнорируя при этом последствия для мужчин. Главной гендерной темой стало катастрофическое воздействие на прогресс женщин. "Одним из самых поразительных последствий коронавируса станет возвращение многих семейных пар в 1950-е годы", - написала Хелен Льюис в журнале The Atlantic в марте 2020 года, добавив: "Во всем мире независимость женщин станет молчаливой жертвой пандемии"."Коронавирусный кризис в сфере ухода за детьми отбросит женщин на поколение назад"⁵⁰¹ В декабре 2020 года Форум Аспенского института по проблемам женщин и девочек заявил, что "COVID-19 свел на нет тот небольшой прогресс, которого мы добились в области гендерного равенства"⁵².

Почти каждый крупный аналитический центр и международная организация в мире подготовили отчеты о негативном влиянии пандемии на женщин, многие из которых были написаны в гиперболическом тоне. Для сравнения: гораздо более высокий риск смерти от COVID-19 для мужчин практически не упоминался. Не было упомянуто и резкое сокращение числа учащихся мужского пола в колледжах. Конечно, в основном пандемия была просто плоха для всех. Но для женщин она была плохой в некоторых отношениях, а для мужчин - в других. Мы можем одновременно держать в голове две мысли.

Предположение о том, что гендерный разрыв может быть только в одну сторону, даже заложено в показатели неравенства. Каждые два года Всемирный экономический форум (ВЭФ) выпускает отчет "Глобальный гендерный разрыв". Это самое влиятельное международное исследование прогресса в достижении гендерного равенства, но, как и стратегия Белого дома, оно искажено асимметричным мышлением. Для составления отчета для каждой страны рассчитывается балл гендерного равенства: от 0 (полное неравенство) до 1 (полное равенство). Балл основан на четырнадцати переменных в четырех сферах - экономике, образовании, здравоохранении и политике. (Каждая переменная в индексе также рассчитывается в диапазоне 0-1). В 2021 году США получили 0,76 балла по шкале и заняли тридцатое место в мире. Исландия, занимающая первое место, получила 0,89 балла.⁵³

Но, что очень важно, не учитываются области, в которых женщины работают лучше мужчин. Как поясняют специалисты ВЭФ по подсчету цифр, "индекс присваивает одинаковый балл стране, в которой достигнут паритет между женщинами и мужчинами, и стране, в которой женщины превзошли мужчин". По всем четырнадцати показателям женщины в США сейчас работают так же хорошо или лучше, чем мужчины, по шести. Например, в сфере высшего образования фактический показатель гендерного паритета составляет 1,36, что отражает значительное превосходство женщин над мужчинами в этой сфере. Но число, которое учитывается в индексе для получения общего балла США, не 1,36. Идея о том, что гендерное неравенство учитывается только в одном направлении, заложена в методологию ВЭФ. Но это предположение несостоятельно, особенно в странах с развитой экономикой. Мы с коллегой Фарихой Хаке пересчитали рейтинги ВЭФ, приняв во внимание гендерное неравенство в обоих направлениях.⁵⁴ Мы также убрали одну из четырнадцати переменных - субъективный опрос о разрыве в оплате труда сомнительного качества - и взвесили все области одинаково (ВЭФ придает больший вес переменным с наибольшими разрывами). Наш двусторонний подход позволил поднять оценку США до 0,84, а Исландии - до 0,97. Как показано в нашей статье, он также изменил рейтинги стран, в некоторых случаях весьма существенно.

В данном случае речь идет не о том, чтобы обесценить работу, проделанную Советом по гендерной политике, или ВЭФ, или любой другой организацией, направленной на улучшение положения женщин. Ликвидация отставания девочек и женщин остается важной политической задачей. Но учитывая огромный прогресс, достигнутый женщинами за последние десятилетия, и серьезные проблемы, с которыми сегодня сталкиваются многие мальчики и мужчины, нет смысла рассматривать гендерное неравенство как улицу с односторонним движением. На практическом уровне это приводит к недостатку внимания политики к проблемам мальчиков и мужчин. Но игнорирование вопиющих гендерных разрывов, идущих в обратном направлении, на мой взгляд, также лишает эти усилия моральной силы эгалитаризма. "Сегодня существует широкий консенсус в отношении того, что гендерное неравенство несправедливо и ведет к растрате человеческого потенциала", - говорит Франсиско Феррейра, заведующий кафедрой Амартия Сена по изучению неравенства в Лондонской школе экономики, комментируя разрыв в уровне образования. "Это остается верным, когда в неблагоприятном положении оказываются как мальчики, так и девочки".

Здесь требуется простое изменение мышления, признание того, что гендерное неравенство может идти в обоих направлениях. Я сказал "простое", а не "легкое". Борьба за гендерное равенство исторически была синонимом борьбы за девочек и женщин, и на то есть веские причины. Но мы достигли того момента, когда гендерное неравенство, затрагивающее мальчиков и мужчин, должно рассматриваться всерьез. Многие представители левых политических сил опасаются, что даже признание проблем мальчиков и мужчин каким-то образом ослабит усилия, направленные на защиту женщин и девочек. Это прогрессивная версия мышления с нулевой суммой. Все, что больше для мальчиков и мужчин, должно означать меньшее для девочек и женщин. На практике это совершенно неверно и создает опасную политическую динамику. Существуют реальные проблемы, с которыми сталкиваются многие мальчики и мужчины и которые необходимо решать, и если прогрессисты будут их игнорировать, то другие обязательно их подхватят.

Наша политика сейчас настолько отравлена, что для левых стало практически невозможным даже обсуждать проблемы мальчиков и мужчин, не говоря уже о выработке решений. Это упущенная возможность. Нам нужно, чтобы самые сильные сторонники гендерного равенства, многие из которых находятся на либеральной стороне политического спектра, заняли более взвешенную позицию. В противном случае есть опасность, что мальчики и мужчины будут искать другое место. "Тысячелетняя история не меняется без сильной боли", - говорит Ханна Розин. "Именно поэтому мы проходим через это вместе".⁵⁶ Розин права насчет боли. Но она ошибается в том, что мы переживаем ее вместе. На самом деле мы разрываемся на части из-за гендерных проблем, в результате чего проблемы мальчиков и мужчин остаются без внимания.


ГЛАВА 9

.

ВИДЕТЬ КРАСНОЕ


Политические правые хотят повернуть время вспять


1 ноября 2021 года сенатор Джош Хоули выступил с речью на конференции National Conservatism Conference. Аудитория была готова к его стандартной речи: экономический национализм, патриотизм, сила свободного рынка и так далее. Но Хоули удивил их. Он сосредоточился исключительно на проблемах мужчин, выделив некоторые из тех проблем, которые я описал здесь, в том числе в сфере образования, занятости и семейной жизни. Однако для Хоули эти проблемы не являются побочным продуктом социальных и экономических перемен. Они являются результатом целенаправленной политической атаки со стороны левых. Хоули описал "попытку левых представить нам мир вне мужчин" и заявил, что "атака на мужчин стала острием копья более широкой атаки левых на Америку".¹ Он продолжил: "Левые хотят определить традиционную мужественность как токсичную. Они хотят определить традиционные мужские добродетели... как опасность для общества.... Можно ли удивляться тому, что после многих лет, когда им говорили, что они - проблема, что их мужественность - это проблема, все больше и больше мужчин уходят в анклав безделья, порнографии и видеоигр?"

Сенатор Хоули утверждал, что мальчики и мужчины испытывают трудности, потому что левые их ненавидят. Это мощное политическое послание, потому что первая часть правдива, а вторую можно заставить звучать правдоподобно, учитывая склонность многих левых к патологизации мужественности. Его речь привлекла много внимания. Но когда дело дошло до решений, Хоули оказался практически с пустыми руками. Лучшее, что он смог предложить, - это расплывчатое обещание восстановить рабочие места в обрабатывающей промышленности и бонус за брак в налоговом кодексе. Однако несколько недель спустя он одержал небольшую политическую победу, возглавив в одиннадцатый час движение за отмену положения в Законе об ассигнованиях на национальную оборону, которое сделало бы женщин пригодными для призыва в армию. "Неправильно заставлять наших дочерей, матерей, жен и сестер участвовать в наших войнах", - сказал он.² Подразумевается, что сенатор Хоули не считает неправильным заставлять наших сыновей, отцов, мужей и братьев делать это.

Консерваторы уделяют больше внимания, чем прогрессисты, растущим проблемам, с которыми сталкиваются мальчики и мужчины. Но их повестка дня оказалась столь же бесполезной. В их подходе есть три больших недостатка. Во-первых, многие консерваторы разжигают мужское недовольство ради политической выгоды, что лишь усиливает гнев и недовольство. Во-вторых, они преувеличивают значение биологических половых различий для гендерных ролей (зеркальное отражение прогрессивной тенденции полностью их игнорировать). В-третьих, они видят решение проблем мужчин в прошлом, а не в будущем, в виде восстановления традиционных экономических отношений между мужчинами-кормильцами и женщинами-воспитателями. Вместо того чтобы помочь мужчинам адаптироваться к новому миру, консерваторы успокаивают их обещаниями старого. Это может дать временное психологическое облегчение. Но нам не нужны обезболивающие. Нам нужно лекарство.


ПОЛИТИКА НЕДОВОЛЬСТВА


Дональд Трамп занял пост президента США в 2016 году с преимуществом в 24 пункта среди мужчин, что стало самым большим гендерным разрывом за всю полувековую историю опросов избирателей.⁴ Среди белых мужчин, составляющих треть электората, перевес Трампа составил 30 процентныхпунктов (62% к 32%).⁴ Женщины склонились в сторону демократов, но примерно в той же степени, что и на предыдущих выборах. "Гендерный разрыв увеличился в этом году по той же причине, по которой Трамп занял Белый дом", - сообщает Washington Post. "Мужчины, особенно белые мужчины, ушли вправо".⁵ В том же году мужские голоса привели к выходу Великобритании из Европейского союза.⁶

Гнев, питающий популизм, связан с самыми разными вещами - демографическими изменениями, секуляризацией, торговлей, потрясениями на рынке труда и так далее. Но он также связан с полом. Обратите внимание, что даже проиграв в 2020 году, Трамп все равно получил большинство мужских голосов и фактически увеличил свою поддержку среди чернокожих и латиноамериканских мужчин. Когда Трамп сказал, что сейчас "очень страшное время для молодых мужчин в Америке", прогрессисты презирали его.⁷ Но это, вероятно, нашло отклик у многих мужчин и, по крайней мере, у некоторых родителей. Призыв Трампа был ностальгическим: "Сделаем Америку снова великой". И он нашел большой политический рынок. Большинство его избирателей верили, что жизнь стала хуже с 1950-х годов, и гендер играет здесь важную роль.⁸ В обращении к прошлому заложены традиционные представления о женственности и мужественности. Одна из самых популярных футболок, продававшихся на его митингах, гласила: "Я поддерживаю Дональда Трампа. Я люблю свободу. Я пью пиво. Я кручу гаечные ключи. Я защищаю свою семью. Я ем мясо и владею оружием. Если вам это не нравится, переезжайте"⁹ Это примерно такое же хорошее описание личности армии Трампа, какое вы только можете найти, чистое выражение того, что Панкадж Мишра описал как форму "арьергардного мачизма"¹⁰.

Но это не только в США. Это международный феномен. Во всем мире мужчины чаще, чем женщины, поддерживают правые или протестные партии.¹¹ В Швеции, например, каждый четвертый мужчина поддержал крайне правую партию "Шведские демократы" в ходе опроса 2015 года, что в два раза превышает уровень поддержки среди женщин.¹² В Германии, особенно на востоке страны, мужчины резко переметнулись вправо. В 2017 году треть саксонских мужчин проголосовала за крайне правую партию "Альтернатива для Германии". "У нас кризис мужественности на востоке, и это питает ультраправых", - говорит Петра Кёппинг, министр по вопросам интеграции в Саксонии.¹³ В Южной Корее молодые мужчины также резко сдвигаются вправо, подпитываемые антифеминистскими настроениями. На выборах мэра Сеула в апреле 2021 года 73 % мужчин в возрасте 20 лет проголосовали за консервативного кандидата по сравнению с 41 % женщин той же возрастной группы.¹⁴ Подавляющая поддержка со стороны молодых мужчин также помогла консервативному кандидату в президенты Юн Сук Ёлю одержать узкую победу в марте 2022 года.¹⁵ Юн обещал упразднить Министерство по вопросам гендерного равенства и семьи. Премьер-министр Индии Нарендра Моди хвастается своей 56-дюймовой грудью. Есть альфа-самец Имран Хан в Пакистане ("феминизм полностью унизил роль матери"), антифеминист Реджеп Тайип Эрдоган ("женщины не равны мужчинам") в Турции и откровенный женоненавистник Родриго Дутерте на Филиппинах ("пока есть много красивых женщин, будет больше случаев изнасилования").¹⁶ У этих политиков нет ни вдумчивого понимания мужской неустроенности, ни каких-либо позитивных средств ее преодоления. Они просто эксплуатируют его в политических целях. Как писал бывший советник Трампа Стивен Бэннон, "эти парни, эти белые мужчины без корней, обладают чудовищной силой"¹⁷.

Некоторые консерваторы доходят до того, что заявляют о "войне против мужчин" или "войне против мальчиков".¹⁸ Этот язык подтверждает и подпитывает чувство виктимности. Южнокорейские мужчины в возрасте 20 лет в два раза чаще считают, что дискриминация мужчин более жестока, чем женщин.⁹ В США треть мужчин всех политических убеждений считают, что они подвергаются дискриминации, а среди республиканцев это число растет.²⁰ Это ложь. Хотя проблемы мальчиков и мужчин реальны, они являются результатом структурных изменений в экономике и культуре в целом, а также недостатков нашей системы образования, а не преднамеренной дискриминации. Но как у правых, так и у левых политиков отношение к гендерным проблемам не зависит от фактов.

Цель консерваторов - поднять партизанскую базу на борьбу с тем, что сенатор Хоули назвал попыткой левых "деконструировать Америку" через "нападение на саму идею гендера". Одной из точек отсчета, которую он использовал для обоснования этого утверждения, было включение трансгендерных женщин в соревновательные женские виды спорта. Называние угрозы правам трансгендеров теперь стало стандартной частью программы консерваторов. Даже вопрос о том, какими туалетами пользуются люди, стал политическим футболом (к своей чести, Дональд Трамп ответил на вопрос о туалетах в 2016 году, сказав, что транссексуалы должны просто "пользоваться тем туалетом, который они считают подходящим")²¹ Даже несмотря на то, что число участников любого из этих споров ничтожно - ведь транссексуалы составляют всего 0,6% населения - это вопрос, который может быть использован для защиты традиционных представлений о сексе и гендере.²²²

Консервативные активисты рассматривают проблему трансов как способ обратить внимание на то, что они считают радикальной гендерной идеологией, которая стремится полностью стереть все биологически обоснованные половые различия. Их беспокоит не то, могут ли транссексуалы служить в армии или пользоваться туалетом по своему выбору. Речь идет о самой идее четких и раздельных мужских и женских категорий и характеристик, основанных на биологии. Но они слишком много протестуют. Подавляющее большинство людей, по крайней мере 99 %, являются цис, идентифицируя себя как мужчина или женщина в соответствии со своим натальным полом. То, что некоторые люди не вписываются в простые бинарные категории, не представляет угрозы для самих категорий. Транссексуалы - это скорее исключения, которые подтверждают правило, и как правило, так и исключения - это нормально.

Хорошая новость заключается в том, что общая тенденция все еще направлена на повышение уровня инклюзивности и защиты транссексуалов, особенно благодаря знаковому решению Верховного суда в июне 2021 года , обеспечившему защиту ЛГБТ от дискриминации на рабочем месте в соответствии с разделом VII Закона о гражданских правах. Ставленник Трампа Нил Горсуч написал мнение большинства, которое было предельно ясным: "Работодатель, увольняющий человека только за то, что он гей или трансгендер, нарушает закон".²³ В американские паспорта теперь добавлена опция третьего пола ("X"). Двадцать один штат и округ Колумбия сделали то же самое для водительских прав.²⁵ Но кажется очевидным, что многие консерваторы, скорее всего, продолжат использовать вопрос о правах транссексуалов в качестве оружия в более широкой культурной войне по поводу пола и гендера.

Разочарованные мужчины, следуя за Крысоловом алгоритма интернет-поиска, могут попасть в так называемую "маносферу", мир пикаперов, инцелов и даже некоторых мужчин-сепаратистов - МГТОУ (Men Going Their Own Way). Это место, куда мужчины, принявшие "красную таблетку", приходят, чтобы пообщаться, организоваться и в целом возненавидеть феминисток. Термин "красная таблетка", заимствованный из "Матрицы", означает выбор видеть мир таким, какой он есть на самом деле. В данном случае это значит увидеть, что в нашем обществе, далеком от деспотичного патриархата, на самом деле доминируют феминистки, стремящиеся заманить мужчин в ловушку и эксплуатировать их. В более разумных частях маносферы ведутся дебаты о реальных проблемах мальчиков и мужчин, таких как школьная дисциплина, гипердиагностика СДВГ (синдрома дефицита внимания и гиперактивности), уровень самоубийств, производственные травмы и смерть и так далее. Но недовольному молодому человеку легко перейти к следующему видео, и следующему. В своей книге "Мужчины, которые ненавидят женщин" феминистская активистка Лора Бейтс описывает "потерянных мальчиков, которые проваливаются сквозь трещины стереотипов нашего общества и попадают прямо в объятия сообществ, готовых их завербовать, жадных до внушения им страха перед угрозой их мужественности, их средствам к существованию"²⁶ Законное беспокойство или нормальная тревога метастазирует в женоненавистничество. Женщины могут рассматриваться как психологическая добыча, которой можно манипулировать, чтобы обеспечить секс; вот что значит быть пикапером. Для самых экстремальных, инцелов, даже необходимость идти на уловки, чтобы склонить женщину к сексу, кажется несправедливой. Мужчины имеют право на секс, утверждают они, а женщины обязаны его им предоставлять. Женоненавистничество может просачиваться из чатов в социальные сети и, в конечном счете, доходить до физического насилия.

В отличие от них, MGTOW не хотят подкарауливать женщин или домогаться их в Интернете. Они хотят вообще отстраниться от них. Один из главных страхов этого сообщества - ложное обвинение в изнасиловании; лучше держаться подальше. Существует полезная иерархия MGTOW, до жути похожая на уровни, которые вы можете найти в компьютерной игре. Если мужчина принял "красную таблетку" и выбрал путь MGTOW, он должен отказаться от долгосрочных отношений (уровень 1); отказаться от любых сексуальных отношений или "уйти в монахи" (уровень 2); отключиться от экономики, зарабатывая только столько, чтобы прокормить себя (уровень 3); и, наконец, полностью отрешиться от общества или "уйти в призраки" (уровень 4). Многие молодые люди в какой-то момент окунаются в эти воды. Возможно, это даже стало чем-то вроде обряда посвящения. Некоторые обретают подлинное чувство общности, которого им, возможно, не хватало в их автономной жизни. Но подавляющее большинство вырастает из этого, и лишь немногие заканчивают свою жизнь тем или иным ужасным образом. Под всем этим скрывается глубокий колодец растерянности и дезориентации, которым, как всегда, кто-то готов воспользоваться. Я не хочу сказать, что Хоули или другие популистские консерваторы виноваты в подъеме этих онлайн-движений в маносфере. Если уж на то пошло, то прогрессисты должны отвечать за это больше, поскольку они либо вообще игнорируют мужские проблемы, либо обвиняют в них токсичную маскулинность. Но что Хоули разделяет с этими сообществами, так это реакционное мировоззрение, убежденность в том, что единственный способ помочь мужчинам - это восстановить традиционные гендерные роли и отношения. Они хотят вернуть старый мир, в котором мужчины и женщины знают свое место. Но наши решения не должны быть найдены в прошлом.


ЛОБСТЕРЫ ПРОТИВ РАВЕНСТВА


В 2016 году, когда Дональд Трамп, опровергая практически все политические прогнозы, одержал победу на выборах, канадский психолог вышел из академической безвестности и стал, по словам экономиста и подкастера Тайлера Коуэна, "самым влиятельным публичным интеллектуалом в западном мире на данный момент".²⁷ Джордан Петерсон, уважаемый среди ученых за свою работу о чертах личности, получил известность за отказ использовать предпочитаемые местоимения студента-трансгендера в знак протеста против новых канадских законов о правах трансов. Его книга "12 правил жизни", написанная в 2018 году на основе сообщения на Quora и сопровождавшаяся глобальным ораторским туром, разошлась тиражом более 5 миллионов экземпляров.²⁸ Для тех, кто серьезно относится к пониманию того, что происходит с молодыми мужчинами, обращение Петерсона является важной точкой отсчета. По подсчетам самого Петерсона, они составляют 80 % его аудитории. Мужчины стекаются к нему, потому что, в отличие от многих других, он не насмехается и не покровительствует им. Он заставляет их чувствовать себя услышанными. Петерсон наткнулся на гигантский резервуар неудовлетворенных человеческих потребностей. Его искреннее сострадание к судьбе молодых мужчин отличает его от левых, которые хотят их осудить, и правых, которые хотят их эксплуатировать. Он настоящий интеллектуал, который борется с реальными и важными проблемами.

Но, как и многие консерваторы, он слишком много внимания уделяет биологии. Как и у всех успешных современных публичных интеллектуалов, у Петерсона есть интернет-магазин, где продаются не только книги, но и наклейки, носки и картины в рамке. Есть и специальный раздел с лобстерами, где представлены футболки и толстовки с маленькими красными изображениями любимого ракообразного Петерсона, включая, разумеется, маску для лица с точками лобстера. Среди поклонников Петерсона лобстер стал знаком племенной верности. Вы, наверное, задаетесь вопросом, почему. "Лобстеры существуют в иерархии", - объясняет он. "У них есть нервная система, настроенная на иерархию. И эта нервная система работает на серотонине, как и наша нервная система. Нервная система омара и человека настолько похожи, что антидепрессанты действуют на омаров".²⁹ Один из основных принципов философии Петерсона заключается в том, что социальные иерархии - часть естественного порядка. Млекопитающие устроены так, что знают свое место.

Но наука здесь не очень хороша. Оказывается, у омаров нет мозга. Если уж на то пошло, я думаю, что использование омаров лучше рассматривать как просто часть его стиля повествования. Я рассматриваю Петерсона как последнее воплощение "мифо-поэтического" направления мужского движения, которое использует аллегорию (в его случае - общества омаров), чтобы вызвать более древнюю, глубокую форму мужественности. Книга Роберта Блая "Железный Джон", ставшая бестселлером в 1990 году, предлагала аналогичный проспект, утверждая, что мужчины были перевоспитаны в "мягких людей" и должны заново открыть в себе "волосатого мужчину".³⁰ В своей книге 1996 года "Трансформация мужчин" британский социолог Джефф Денч изображает мужчин в виде лягушек, пробирающихся через леса в поисках принцессы.³¹ Денч, Блай и Петерсон много пишут о ведьмах, китах, замках, башнях и королях. Это не должно удивлять. Блай была поэтом, а предыдущая книга Петерсон "Карты смысла" - плотное, хорошо известное академическое исследование мифологии.

Если бы речь шла только об омарах, то чрезмерное увлечение Петерсона биологией не имело бы большого значения. К сожалению, это также искажает его взгляды на гендер. Он отмечает, что женщины более покладисты и совестливы, чем мужчины, больше любят людей и больше заботятся о них. Мужчины же более агрессивны, ориентированы на статус, ими движет секс. Все это правда. Вопрос в том, насколько эти различия могут служить объяснением гендерного неравенства в современных обществах. Для Петерсон, похоже, в значительной степени.

В то время как прогрессисты совершают ошибку, отрицая любую биологическую основу для половых различий, консерваторы вроде Петерсона - а он весьма показателен в этом отношении - совершают противоположную ошибку, объясняя существующее гендерное неравенство апелляцией к природе. В итоге они оправдывают неравенство, которое слишком велико, чтобы его можно было объяснить естественными причинами. Хорошим примером является вопрос выбора профессии. В одном из интервью Петерсон сказал, что "мужчины и женщины не будут сортировать себя по одинаковым категориям, если вы оставите их делать это по собственному желанию". Пока все хорошо. Но затем он продолжает утверждать, что соотношение мужчин и женщин в инженерном деле "20 к 1", а в сестринском деле - наоборот, является "следствием свободного выбора мужчин и женщин.... Это неискоренимые различия"³². Когда консерваторы Петерсона видят, что только 15 % инженеров - женщины и только 9 % медсестер - мужчины, они видят не что иное, как отражение естественных половых различий (ведь это гораздо более высокие пропорции, чем 1 к 20). Но вспомните исследование Су и Раундса, которое я приводил в главе 7 и которое показало, что если бы выбор профессии действительно соответствовал базовым предпочтениям, то женщин-инженеров и мужчин-медсестер было бы как минимум вдвое больше. Существует также опасность, что половые различия в воспитательном поведении используются для оправдания традиционного разделения труда в семейной жизни: Петерсон призвал "перестать учить 19-летних девушек тому, что их главное предназначение - карьера"³³.

Когда дело доходит до конкретной политики, все становится еще сложнее. Консервативный ученый Чарльз Мюррей описывает данные о половых различиях между мужчинами и женщинами в своей книге "Человеческое разнообразие". Это тщательный и в основном сбалансированный обзор. Проблема возникает, когда он использует эти данные для оправдания сексистской политики. Хорошим примером являются законы, регулирующие опеку над детьми. Мюррей утверждает, что "при любом измерении того, какой пол лучше справляется с воспитанием маленьких детей, величина эффекта в пользу женщин и подавляющее эволюционное доказательство того, что преимущество женщин основано на биологии".³⁴ Он утверждает, что суды должны по умолчанию отдавать предпочтение материнской опеке над маленькими детьми, вместо того чтобы по закону в каждом конкретном случае учитывать "наилучшие интересы" детей.

Как пишет Мюррей, "когда судьи... не имеют четкой доказательной базы для предпочтения одного родителя другому и на кону стоит благополучие беспомощной третьей стороны, принципиальная либеральная позиция может признать важное врожденное различие между мужчинами и женщинами". Это неверно. Если у судьи действительно "нет четких доказательств" разницы в родительских способностях двух разводящихся родителей, предоставление опеки одному из них исключительно на основании его пола является произвольным и несправедливым. Мюррей приводит доказательства реальной средней разницы в некоторых аспектах родительских способностей, чтобы аргументировать включение сексистского принципа в семейное законодательство. Отцы и так с трудом сохраняют свою роль, а предложение Мюррея только усугубит ситуацию. Он приводит аналогичные аргументы в отношении службы женщин в боевых частях армии и, несомненно, доволен успехом сенатора Хоули в предотвращении добавления женщин в призыв.

Более широкая проблема заключается в том, что консерваторы оправдывают гендерное неравенство биологическими объяснениями, которые не являются ошибочными, просто они слишком тонки, чтобы выдержать тот вес, который они на них возлагают. Конечно, консервативные аргументы в пользу важности биологии в человеческом поведении кажутся более разумными, когда их оппоненты полностью отрицают ее существование. Трудно понять, насколько кто-то преувеличивает правду, когда его главные антагонисты полностью ее отрицают. Это одна из самых неудачных динамик в культурных войнах за секс и биологию. Чем яростнее левые отрицают любые врожденные половые различия, тем настойчивее многие правые настаивают на их важности, и наоборот. Места для нюансов становится все меньше.


ВПЕРЕД В ПРОШЛОЕ


Последняя и самая серьезная ошибка консерваторов заключается в том, что они считают, что единственный способ помочь мальчикам и мужчинам - это восстановить традиционные гендерные роли, что означает отмену некоторых успехов, достигнутых женщинами в плане экономической независимости. В этом мире с нулевой суммой, если у женщин дела идут лучше, значит, у мужчин они идут хуже. Это не просто мнение. Почти двое из пяти мужчин-республиканцев (38 %) согласны с утверждением, что "успехи, достигнутые женщинами в обществе, были достигнуты за счет мужчин"³⁵.

В ходе увлекательного исследования, проведенного перед выборами 2016 года, Дэн Кассино, профессор Университета Фэрли Дикинсон, добавил необычный вопрос в опрос о намерениях голосовать: "Вы зарабатываете больше, меньше или примерно столько же, сколько ваш супруг?". Половина респондентов получила этот вопрос в самом начале опроса, до того, как их спросили о голосовании, а другая половина - после того, как заявила о своем намерении голосовать. Вопрос должен был заставить мужчин "задуматься о потенциальных угрозах их гендерным ролям", - пишет Кассино.³⁶ Результаты оказались поразительными. Мужчины, которым задали вопрос о супружеских доходах в самом начале опроса, с гораздо большей вероятностью сказали, что проголосуют за Дональда Трампа, чем за Хиллари Клинтон. Это был небольшой опрос, в котором приняли участие около семисот зарегистрированных избирателей. Но эксперимент Кассино намекает на то, что политики могут активизировать и использовать в своих интересах тревогу мужчин по поводу потери статуса.

Многие консервативные интеллектуалы утверждают, что если мужчины утратят свою традиционную роль, они оторвутся от общества или начнут вести себя неадекватно. "Сила монстра", которую наблюдал Бэннон, будет направлена на антисоциальное поведение. Это не новое опасение. Консерваторы уже несколько десятилетий беспокоятся об опасности, которую представляет для мужчин женское движение . В своей книге 1992 года "Мужчины и брак" (обновленная версия книги 1973 года "Сексуальное самоубийство") консервативный интеллектуал Джордж Гилдер утверждал, что феминизм сделает мужчин ненужными.³⁷ Как только женщины смогут быть "и кормильцами, и воспитателями", предупреждал он, необходимость в браке с мужчиной отпадет, и они останутся либо "вне закона", либо "изгнанниками". Молодые читатели могут быть незнакомы с работами Гилдера. Но среди феминисток определенного возраста его имя вызывает бурную реакцию. Гилдер оказал влияние на экономическую политику Рональда Рейгана и гордится тем, что был назван мужской шовинистической свиньей года как журналом Time, так и Национальной организацией женщин.³⁸ В мировоззрении Гилдера есть много того, что не нравится. Но вот в чем дело. Он не был полностью неправ.

Как и большинство антропологов, которых я цитировал в главе 7 (в том числе Маргарет Мид, Мелвин Коннер, Дэвид Гилмор и Шерри Ортнер), Гилдер видел хрупкость мужской роли. "В отличие от женщины, мужчина не имеет цивилизованной роли или программы, записанной в его теле", - писал он. "Роль мужчины в семье, таким образом, обратима; роль женщины непогрешима и продолжается, даже если мужчина уходит". Мужчина без женщины испытывает глубокое внутреннее чувство бесполезности."Джефф Денч, пишущий в том же ключе, определил "фундаментальную слабость феминистского анализа" как неспособность "увидеть, что мужчинам может быть необходим статус главного кормильца, чтобы дать им достаточную причину для полноценного участия и сохранения участия в долгосрочных тягостных делах семейной жизни"⁴⁰.

Консерваторы правы, когда беспокоятся об опасности аномии и отчуждения среди мужчин, лишенных своей традиционной роли. Но они ошибаются, считая, что решение проблемы заключается в том, чтобы каким-то образом повернуть время вспять, сделав женщин снова зависимыми, чтобы вновь наполнить мужчин смыслом. При всей тоске по воображаемому прошлому, в 2012 году менее одного из пяти американцев (18 %) заявили, что "женщины должны вернуться к своей традиционной роли в обществе", по сравнению с 30 % в 1987 году, согласно опросу Pew о социальных ценностях, и по этому вопросу, как ни странно, нет значительных различий по полу, возрасту, политическим взглядам или расе.⁴¹

Консерваторы утверждают, что феминизм нарушил естественный порядок вещей, и мы все - но особенно мужчины - расплачиваемся за это. Решением проблемы является восстановление традиционных семей и ролей. Этот анализ ошибочен. Феминизм разрушил патриархат - особый социальный порядок, фатальным недостатком которого было вопиющее неравенство. Возникшие в результате этого разрушения реальны, и к ним нужно относиться серьезно. Мужчинам действительно нужна помощь. Но мы можем помочь мужчинам, не мешая женщинам и не пытаясь повернуть время вспять. В частности, отцовство может быть переосмыслено для более эгалитарного мира.

"Ключ к восстановлению мужественности лежит не в тоскливой надежде унизить агрессивную женщину и восстановить прежнее мужское превосходство", - писал Артур Шлезингер-младший в 1958 году в эссе под названием "Кризис американской мужественности". "Мужское превосходство, как и превосходство белых, было неврозом незрелого общества. То, что женщины освободились, - это хорошо как для мужчин, так и для женщин. В любом случае, процесс необратим; этого конкретного джинна уже не засунуть обратно в бутылку".⁴²

Если это было так в 1958 году, то сегодня, очевидно, это еще более очевидно. Вот почему так бесполезно предлагать, что мы можем повернуть вспять. Вместо того чтобы помочь мальчикам и мужчинам в трудной задаче адаптации к новому миру равенства, консерваторы призывают их сопротивляться женскому прогрессу. Сопротивление может быть приятным, по крайней мере на какое-то время, возможно, лучше, чем сложная задача адаптации. Но оно также бесполезно и бессмысленно.


ЦЕНТРОБЕЖНАЯ ГЕНДЕРНАЯ ПОЛИТИКА


"Роли меняются как для мужчин, так и для женщин. На женщин давят... заставляя поверить, что их прошлое положение было вызвано угнетением со стороны мужчин", - пишет один проницательный культурный обозреватель. "В то же время мужчин... обвиняют в том, что они угнетатели, и притом злобные угнетатели. Весь процесс перемен происходит в атмосфере величайшего дурного настроения, и возникает огромное количество вторичной враждебности, которая сама по себе представляет угрозу хорошему результату".

Это была Маргарет Мид в 1975 году.⁴³ Враждебность сохраняется, несмотря на выдающиеся успехи женского движения. Наши политики должны взять на себя большую часть вины за это. Неспособность как левых, так и правых отреагировать на растущие проблемы мальчиков и мужчин создала опасный вакуум в нашей политической жизни. В центробежной динамике политики культурной войны, чем больше правые впадают в одну крайность, тем больше левые должны впадать в другую, и наоборот. Левые отвергают биологию, правые слишком сильно на нее опираются. Левые видят войну с девочками и женщинами, правые - с мальчиками и мужчинами. Левые патологизируют мужественность; правые патологизируют феминизм.

Тем временем, вдали от фронтов культурной войны, реальные проблемы мальчиков и мужчин остаются практически без внимания. А ставки здесь высоки. Как говорит Даниэль Швамменталь, директор Трансатлантического института Американского еврейского комитета, "железное правило политики заключается в том, что если в обществе существуют реальные проблемы, а ответственные стороны не занимаются их решением, то безответственные стороны набросятся на них"⁴⁴.


ЧАСТЬ

V

. ЧТО ДЕЛАТЬ


ГЛАВА 10. ПЕРЕОБУТЬ МАЛЬЧИКОВ


Мальчикам нужен дополнительный год в классе


Мы с женой были в раздумьях. Наш средний сын, Брайс, должен был вот-вот пойти в начальную школу. Но он не был готов ни социально, ни интеллектуально. С этим согласились и его учителя в детском саду. Поэтому мы решили задержать его на несколько месяцев и записать в нашу местную школу в январе, а не в сентябре. В то время я думала, что мы зашли слишком далеко и что 4-месячная задержка была ошибкой. Теперь я думаю, что мы зашли недостаточно далеко. Нам следовало подождать целый год. Брайс испытывал трудности на протяжении всех школьных лет, особенно в старших классах, в немалой степени из-за недиагностированного апноэ во сне (да, оказывается, оно бывает и у детей). Ему с трудом удалось закончить школу с дипломом. На церемонии вручения дипломов, когда большинство родителей вокруг меня обменивались записками о том, в какой колледж направляется их ребенок, по моему лицу текли слезы - слезы радости и такой яростной гордости за то, что, несмотря ни на что, мой мальчик смог закончить среднюю школу.

Учебный опыт Брайса был не таким уж необычным, особенно для мальчиков. Среди многих родителей, с которыми мы знакомы, сложилось короткое объяснение, как объяснить трудности, с которыми сталкивается ребенок-подросток, чтобы не сбиться с пути, особенно в учебе, но и в жизни в целом: "Он же мальчик". Однажды вечером 15-летний сын одного из наших друзей забрался на десятиэтажный кран и выложил в Snapchat фотографию себя на вершине с сообщением "Привет, мама!" (Когда он спустился, его ждала полиция). Это все префронтальная кора головного мозга и склонность к риску.

"Истинное равенство между группами, которые отличаются друг от друга по каким-либо признакам, может быть достигнуто только путем учета различий". Это снова Маргарет Мид, в 1974 году.¹ Идею Мид об истинном равенстве теперь можно назвать справедливостью. Когда существуют различия в стартовых условиях, относиться к людям одинаково (т. е. одинаково) - это не то же самое, что относиться к ним справедливо. Обычная наглядная иллюстрация - три ребенка разного роста, которые хотят заглянуть через забор. Чтобы они оказались на одном уровне, нужно дать более высоким детям более высокие коробки. Переход от мышления, ориентированного на равенство, к мышлению, ориентированному на справедливость, был силен в вопросах расовой справедливости, особенно в США. Но здесь есть и гендерные последствия. Например, справедливая система образования будет такой, которая признает естественные половые различия, особенно тот факт, что в критические моменты обучения мальчики находятся в неблагоприятном положении по сравнению с девочками.

В этой главе изложены предложения по созданию системы образования, более благоприятной для мужчин. В частности, я выступаю за три основные реформы: предоставление мальчикам дополнительного года дошкольного образования, прежде чем они пойдут в школу; привлечение в классы учителей-мужчин; значительные инвестиции в профессиональное образование, включая создание большего числа технических вузов. Я понимаю, что некоторые пункты этой программы могут показаться радикальными. Но если мы серьезно относимся к гендерному равенству, то некоторый радикализм необходим.


ДАР ВРЕМЕНИ


Начало обучения на год позже получило название "redshirting". Этот термин заимствован из практики, принятой в студенческой легкой атлетике, когда игрок не участвует в регулярных соревнованиях в течение сезона. Идея получила всплеск популярности в 2008 году, когда Малкольм Гладуэлл в своей книге Outliers представил доказательства того, что дети старше своих одноклассников лучше справляются с академическими тестами и в целом с жизнью. Он утверждал, что принадлежность к старшей или младшей возрастной группе в классе приводит к тому, что "дети попадают в модели достижений и неуспехов, поощрений и разочарований, которые растягиваются на годы"².

Стоит отметить, что отсрочка - довольно распространенное явление. В исследовании Morning Consult и EdChoice, проведенном в 2021 году, 12 % родителей детей школьного возраста заявили, что откладывали поступление в детский сад хотя бы одного из своих детей, по сравнению с 6 % тех, чьим детям уже исполнилось 18 лет.³ Три основные причины отсрочки заключались в том, что ребенок был слишком мал, эмоционально не готов или академически не готов. Интересно, что среди учителей, имеющих детей школьного возраста, доля "отказников" была немного выше - 15 %.⁴ Эти цифры выше официальных данных за 2010/2011 учебный год (последний, по которому данные находятся в открытом доступе), когда 7 % мальчиков и 5 % девочек имели задержку с поступлением в детский сад.⁵ (Пандемия, конечно, может быть здесь фактором).

Но некоторые дети имеют гораздо больше шансов остаться в школе, чем другие. Дети с обеспеченными родителями в два раза чаще задерживаются в школе, чем дети из малообеспеченных семей. Аналогичный разрыв наблюдается между белыми и чернокожими детьми. Мальчики чаще остаются на второй год, чем девочки, особенно если их родители - учителя.⁶ Дети, которые младше по возрасту для своего учебного года, также чаще остаются на год позже. При сочетании этих факторов показатель становится довольно высоким. Согласно анализу данных за 2010/11 год, проведенному экономистом Северо-Западного университета Дианой Уитмор Шанценбах и Стефани Ховард Ларсон, среди мальчиков, родившихся летом у родителей, получивших образование бакалавра (из тех, кто читает "Outliers"), доля второгодников составляет 20%.⁷ Анекдотично кажется, что второй год чаще встречается в частных школах. И далеко не всегда дети, отчисленные из школы, оказываются в наиболее неблагоприятном положении с точки зрения образования: на момент принятия решения их результаты по грамотности и математике несколько выше среднего.⁸ Другими словами, мальчики, которые меньше всего выиграют от этого, чаще всего оказываются отчисленными.

Я предлагаю, чтобы все мальчики по умолчанию переводились в разряд младшеклассников. Введение разницы в хронологическом возрасте в 1 год уменьшит разницу в развитии между мальчиками и девочками. Другими словами, это было бы более справедливо. В главе 1 я показал, что гендерные различия в обучении проявляются рано, но самые большие различия в развитии мозга возникают в подростковом возрасте. Основная причина более позднего начала обучения мальчиков заключается не в том, чтобы они были на год старше в детском саду. Она заключается в том, чтобы они были на год старше, когда перейдут в среднюю и старшую школу.


ПОДОЙДЕТ ЛИ ВАМ ЭТОТ ВАРИАНТ?


Уменьшит ли задержка начала занятий для мальчиков гендерный разрыв? Я не знаю точно. Такие значительные изменения в образовательной политике трудно оценить заранее. Но данные, полученные в ходе исследований, посвященных отсрочке начала обучения, заставляют меня надеяться, что она может оказать значительную помощь. Ряд исследований, проведенных среди мальчиков, перешедших на повторный курс обучения, показал значительное снижение гиперактивности и невнимательности в начальной школе, более высокий уровень удовлетворенности жизнью, более низкие шансы быть отчисленным из школы в дальнейшем, а также более высокие результаты тестов.⁹

Шанценбах - ученый, который вместе с Элизабет Касио из Дартмутского колледжа провел последнее высококачественное исследование по проблеме редизайна, используя данные из Теннесси. Дети в их выборке были непропорционально низкодоходными и расово разнообразными. Половина из них получала бесплатные или льготные обеды в детском саду. Треть была чернокожей. В целом, Шанценбах и Касио обнаружили, что взросление на год положительно сказывается на результатах тестов в восьмом классе, снижает риск повторения одного класса перед старшей школой и повышает шансы сдать экзамен SAT или ACT в конце средней школы. Однако преимущества мальчиков были как минимум в два раза выше, чем у девочек, по всем показателям в 8 классе, а к старшей школе только у мальчиков наблюдались какие-либо преимущества. Касио и Шанценбах также обнаружили наибольшие преимущества у учащихся с низким уровнем дохода, что, как они отмечают, "контрастирует с наблюдаемыми закономерностями, когда дети с более высоким уровнем дохода значительно чаще остаются в резерве".¹⁰ Наконец, они не обнаружили никаких негативных последствий для младших одноклассников детей, оставленных в резерве. Более того, по их словам, существует скромный положительный эффект "перелива".

Таким образом, отсев дает долгосрочный положительный эффект для мальчиков, особенно из бедных слоев населения, и не оказывает негативного влияния на их одноклассников. Важно отметить, что эти результаты были обусловлены не относительным, а абсолютным возрастным эффектом - то есть тем, на что и направлена моя политика редизайна. Одним из самых обнадеживающих результатов исследования стало значительное снижение риска остаться в классе в дальнейшем. Отставание в учебе крайне неравномерно в зависимости от расы, пола и экономического положения: каждый четвертый чернокожий мальчик (26 %) повторяет хотя бы один класс до окончания школы.¹¹ Если с самого начала переводить мальчиков на повторное обучение, мы сможем снизить риск того, что они будут отставать на год позже.

Выводы Касио и Шанценбаха согласуются с результатами другого исследования, проведенного Филипом Куком и Сонгманом Кангом на основе данных по Северной Каролине.¹² Их анализ показывает, что дети, переведенные на , к концу третьего класса показывают значительно лучшие результаты как по чтению, так и по математике. Рассматривая гендерные различия внутри расовых групп, они обнаружили, что 10-процентный отсев среди белых мальчиков сократил общий гендерный разрыв среди белых учеников по чтению в третьем классе на 11 %.

Есть и качественные свидетельства. Углубленное исследование, проведенное Сюзанной Стейтлер Джонс из Коллин-колледжа, показало, что уровень удовлетворенности жизнью у мальчиков-подростков, родившихся летом, был гораздо выше, чем у их сверстников.¹³ Среди тех, кто начал учиться в школе в установленном возрасте, по ее словам, часто звучал такой рефрен: "Я всегда стараюсь не отставать". Но, по ее словам, общее мнение старших мальчиков таково: "Им это нравится, им нравится быть старше, никаких проблем с этим нет, не могу придумать, как это повредило, это только помогло". Джонс также опросил родителей и спросил их, что бы они сделали, если бы у них родился еще один летний сын. "Автоматически (они сказали): "Мы бы перешли на новый курс". "Однако стоит отметить, что эта небольшая группа состояла в основном из белых и обеспеченных людей, просто потому, что именно эта группа в настоящее время чаще всего отчисляет своих детей.

В совокупности эти результаты указывают на потенциально большие преимущества от того, что все мальчики начинают обучение на год позже. Наибольший выигрыш получат те, кто с наименьшей вероятностью будет переведен на второй курс прямо сейчас, особенно мальчики из семей с низким уровнем дохода и чернокожие мальчики. Я также ожидаю, что выигрыш будет еще больше по другим показателям, таким как средний балл успеваемости, которые существующие исследования не смогли оценить. Например, оценки в старших классах связаны с навыками исполнительного функционирования - одна из вероятных причин, почему у девочек они выше.¹⁴ Дополнительный год развития вряд ли полностью устранит разрыв в этих навыках, но он, несомненно, поможет.


ВОЗРАЖЕНИЯ ПРОТИВ ПЕРЕРЫВА В РАБОТЕ


Конечно, есть несколько веских аргументов против моего предложения. Здесь я рассмотрю пять. Во-первых, отсрочка поступления в школу может привести к тому, что родителям придется еще год обеспечивать уход за детьми; вероятно, это одна из причин, по которой родители с низким уровнем дохода и так гораздо реже отдают своих детей в школу. Это реальная проблема. Я предлагаю зачислять мальчиков в универсальную программу дошкольного образования в том же возрасте, что и девочек, но давать им дополнительный год, прежде чем они перейдут в следующий класс. Другими словами, мальчики получат двойную дозу дошкольного образования. Таким образом, с точки зрения родителей, эта политика должна быть нейтральной в отношении расходов на уход за детьми.

Во-вторых, существует опасение, что мальчики, которые начнут учиться позже, с большей вероятностью бросят среднюю школу, поскольку по закону они смогут оставить формальное образование за некоторое время до окончания средней школы. Трудно сказать, насколько серьезной будет эта проблема. Данные, проанализированные экономистами в области образования Дэвидом Демингом и Сьюзан Динарски, не показывают значительного влияния на уровень окончания школы среди тех, кто начинает учиться на год позже, хотя и свидетельствуют о задержке.¹⁵ Но, как мы уже видели, эта группа вряд ли является репрезентативной; современные дети-отказники принадлежат к более благополучным слоям населения, поэтому вероятность бросить школу в любом случае гораздо ниже. Одно, что могло бы помочь в этом случае, - это повышение возраста окончания школы до 18 лет, что уже сделали около половины американских штатов.¹⁶

В-третьих, связанное с этим возражение заключается в том, что мальчики потеряют год на рынке труда, когда станут мужчинами, что потенциально снизит их пожизненный заработок. Это одна из главных проблем Деминга и Динарски. "При неизменном пенсионном возрасте человек, который начинает учиться в школе на год позже, проводит на один год меньше в составе рабочей силы", - отмечают они. "Финансовые потери от более позднего начала учебы состоят из одного года заработка на рынке труда, а также пожизненной отдачи от этого потерянного года опыта на рынке труда".¹⁷ Опять же, это разумное опасение. Но оно относится к любой политике, которая увеличивает количество лет, проведенных в школе, в любом возрасте. Например, вы можете провести 2 года в муниципальном колледже и выйти оттуда без какого-либо диплома. Правда в том, что сейчас мало кто из молодых людей выходит на рынок труда, закончив среднюю школу. Почти каждый пятый не заканчивает среднюю школу вовремя.⁸ Из тех, кто начинает обучение в муниципальном колледже, менее чем каждый третий получает квалификацию через три года.⁹ Более чем каждый десятый молодой человек в возрасте от 16 до 24 лет "отключен" (то есть не имеет ни оплачиваемой работы, ни образования).²⁰ Я хочу сказать, что не следует считать, что дополнительный год обучения будет означать потерянный год заработка. Если он поможет улучшить результаты для мальчиков, как я считаю, то это должно улучшить перспективы на рынке труда.

В-четвертых, возникает вопрос о том, как постепенно проводить реформу. Если мы вдруг задержим целую когорту мальчиков на год, то в системе образования окажется одна-единственная когорта, состоящая только из женщин, что было бы довольно странно, особенно для них. Я предлагаю вводить эту политику постепенно, в течение нескольких лет, начиная с самых младших мальчиков и постепенно расширяя возрастной диапазон каждый год, пока все мальчики не будут охвачены этой политикой. Возможно, треть мальчиков будет переведена в первый год, две трети - во второй, а все - только в третий, например. (Это также позволило бы социологам провести естественный эксперимент, чтобы оценить преимущества редизайна для мальчиков разного возраста).

И последнее, но не менее важное: будет ли это законно? Давайте представим, что школьный округ или штат принимает мой план. Вероятно, возникнет судебный спор, возможно, со стороны ACLU. Они будут ссылаться на раздел VII Закона о гражданских правах 1964 года, который запрещает дискриминацию по половому признаку, и,возможно, на пункт о равной защите в 14-й поправке.²¹ Защита будет заключаться в том, что девочки и мальчики отличаются по уровню развития и что эти различия могут быть учтены в образовательной политике без нарушения раздела VII. В качестве примера можно привести знаменитый случай с Виргинским военным институтом, школой для всех мальчиков. В 1996 году Верховный суд заставил институт полностью открыть свои двери для женщин. Судья Рут Бейдер Гинзбург написала мнение большинства.²² Важно отметить, что суд не оспаривал утверждение о том, что в среднем существуют различия в том, как учатся мальчики и девочки. Однако, как написала Гинзбург, это не является основанием для исключения девочек, "чьи таланты и способности выходят за рамки среднего описания" (т. е. которые учатся скорее как типичные мальчики). Сегодня около 12 % студентов института - женщины.²³

Суд постановил, что для полного исключения одного пола из государственного образовательного учреждения государство должно предоставить "чрезвычайно убедительное обоснование"²⁴ Но мое предложение заключается не в том, чтобы исключить представителей обоих полов из какого-либо учреждения, а лишь в том, чтобы немного изменить стандартный возраст, в котором мальчики и девочки переходят из дошкольного учреждения в детский сад, на основании их различных траекторий развития. Родители будут вправе отменить стандартный возраст, задержать дочь или ускорить сына, как и в нынешней системе. При всем этом существуют очевидные юридические проблемы, связанные с тем, что политика в явном виде основывается на половых различиях, которые необходимо учитывать при разработке и реализации.

Так что я думаю, что на эти разумные опасения есть разумные ответы, связанные с моим планом "красной рубашки для мальчиков". Единственный способ узнать наверняка - это провести его в жизнь, сначала в виде нескольких пилотных программ, возможно, в нескольких школьных округах в разных условиях. Я полагаю, что они покажут хорошие результаты с точки зрения сокращения гендерного разрыва в образовании и хорошей окупаемости инвестиций. Но, конечно, я могу ошибаться. Именно поэтому так важны оценочные исследования. Давайте узнаем.


БОЛЬШЕ МУЖЧИН, ОБУЧАЮЩИХ МАЛЬЧИКОВ


В настоящее время мальчики и школа не слишком хорошо сочетаются. По данным опроса, проведенного ОЭСР в 2015 году, мальчики в два раза чаще, чем девочки, говорят, что школа - это "пустая трата времени".²⁵ В США мальчиков в три раза чаще, чем девочек, исключают из школы и в два раза чаще отстраняют от занятий.²⁶ Существует ряд реформ, которые могут улучшить школьную среду для мальчиков, включая больше физической культуры, более позднее время начала занятий и лучшее питание. Упражнения, еда, сон: в общем, система образования должна лучше понимать, что ученики - это плоть и кровь, а не просто мозги на палочке. Конечно, эти реформы пойдут на пользу и девочкам.

Но одна школьная реформа превзошла бы все эти: больше мужчин за партами в наших классах. В США доля учителей-мужчин низка и падает. Доля мужчин среди учителей в школах K-12 сейчас составляет 24 %, по сравнению с 33 % в начале 1980-х годов.²⁷ Как показывает рисунок 10-1, мужчин особенно не хватает в начальных и средних школах. Аналогичные тенденции наблюдаются и в других странах, в том числе в Великобритании и Южной Корее.²⁸


РИСУНОК 10-1 Недостаточно мистеров


Пол учителей, по уровням школ



Примечание: В системе послесреднего образования указаны данные по преподавателям, работающим на полную ставку в учебных заведениях, выдающих дипломы.


Источник: Национальный центр статистики образования (IPEDS, март 2021 г.): Данные по К-12 приведены за 2017-2018 годы; данные по послесреднему образованию - за 2017, 2018 и 2019 годы.


"Если тенденция сохранится, мы можем увидеть день, когда 8 из 10 учителей [в США] будут женщинами", - пишут Ричард Ингерсолл и его коллеги в докладе Пенсильванского университета за 2018 год. Они добавляют, что "все больший процент начальных школ не будет иметь учителей-мужчин.... Учитывая важность учителей как образцов для подражания и даже как суррогатных родителей для некоторых учеников, некоторые, конечно, будут рассматривать эту тенденцию как проблему и политический вопрос."²⁹ Честно говоря, я не знаю, как кто-то может не рассматривать эту тенденцию как проблему. Но важно объяснить, почему. Во-первых, если дети растут, воспринимая уход или образование как женскую работу, это укрепляет гендерные стереотипы в поколениях. Как сказала Глория Стайнем в 1995 году: "То, как мы разделяемся на наши ложные представления о мужском и женском, - это то, что мы видим в детстве".³⁰

Есть также убедительные доказательства того, что учителя-мужчины повышают успеваемость мальчиков, особенно в некоторых предметных областях, таких как английский язык. Потенциальные плюсы здесь весьма велики. По оценкам исследователя в области образования Томаса Ди, если бы половина учителей английского языка с шестого по восьмой класс были мужчинами, "разрыв в успеваемости по чтению [между девочками и мальчиками] сократился бы примерно на треть к концу средней школы"³¹ (Примечательно, что на успеваемость девочек по английскому языку пол учителя, похоже, не повлиял). Отдельное исследование, проведенное в Чикаго, показало, что в классах с учителем-мужчиной гендерный разрыв в среднем балле девятого класса сократился почти вдвое.³²

Когда доля мужчин, преподающих в финских начальных школах, была увеличена за счет 40-процентной квоты на учебные курсы, и мальчики, и девочки стали лучше учиться.³³ Квота была отменена в 1989 году, и доля мужчин, поступающих на работу в начальную школу, сократилась вдвое. Эта политика прекратилась из-за закона о дискриминации по половому признаку, принятого в 1987 году. Но в 2005 году финское правительство ввело законодательное требование к каждой государственной компании, чтобы в ее совете директоров было не менее 40 % женщин.³⁴ Я признаю, что не разбираюсь в тонкостях финской правовой системы, но, безусловно, здесь что-то не так.

Но я отвлекаюсь. Хотя доказательства того, что учителя-мужчины имеют значение, очень весомы, точные механизмы не вполне понятны. Одним из факторов может быть отношение. Учителя-женщины чаще, чем учителя-мужчины, считают мальчиков в своем классе деструктивными, в то время как учителя-мужчины, как правило, более позитивно относятся к мальчикам и их способностям.³⁵ Также может иметь место эффект ролевой модели. Стоит отметить, что расовая принадлежность учителей тоже имеет значение, и в преподавании больше белых, чем женщин. Но, похоже, чернокожие мальчики больше всего выигрывают от наличия чернокожего учителя.³⁶ "Наличие учителей-мужчин и учителей-женщин, вероятно, полезно для учащихся по многим из тех же причин, по которым они выигрывают от расового и этнического разнообразия учительского состава", - пишет Лизетт Партелоу, исследователь в области образования из прогрессивного Центра за американский прогресс.³⁷

Здесь требуется масштабная и срочная работа по набору персонала. В идеальном мире у нас было бы одинаковое количество преподавателей-мужчин и преподавателей-женщин, начиная с дошкольных классов и заканчивая семинарами для докторов наук. Огромный прогресс достигнут в кампусах колледжей, где женщины сегодня составляют почти половину штатных преподавателей (47%), как показано на рисунке 10-1.³⁸ Женщины также составляют более половины руководителей факультетов университетов и колледжей, 40% деканов и 30% президентов колледжей.³⁹ Американский совет по образованию поставил цель достичь полного гендерного паритета в руководстве колледжей к 2030 году. Учитывая недавнюю тенденцию к росту, а также тот факт, что половина нынешних президентов колледжей говорят, что планируют покинуть свой пост в ближайшие 5 лет, эта амбициозная цель выглядит вполне достижимой.⁴⁰ Совет называет эту инициативу "Перемещение иглы". Таким образом, в сфере высшего образования мы наблюдаем реальный прогресс в достижении гендерного баланса на всех уровнях и постановку четких целей на будущее. В то же время в К-12 мы с каждым годом все дальше уходим от гендерного паритета, и никаких целей не ставится. Безусловно, сдвинуть ситуацию с мертвой точки здесь не менее важно. В качестве первого шага мы должны поставить цель достичь 30-процентного представительства мужчин в преподавании в К-12. Школьным округам можно предложить взять на себя обязательство достичь этой цели.

Также необходимы особые усилия по привлечению большего числа мужчин в систему дошкольного образования, больше чернокожих мужчин и больше мужчин-преподавателей английского языка. Образование в раннем возрасте близко к тому, чтобы стать полностью женской средой. То, что только 3 % воспитателей дошкольных учреждений и детских садов - мужчины, должно быть предметом национального стыда.⁴¹ Сейчас на военных самолетах США летает в два раза больше женщин, чем мужчин, преподающих в детском саду (в процентном соотношении от общего числа профессий).⁴² По данным углубленного исследования 46 мужчин-педагогов, работающих в дошкольных и детских садах Нью-Йорка, проведенного Кирстен Коул из Манхэттенского общественного колледжа и ее коллегами, препятствия для привлечения мужчин в эту сферу очень высоки.⁴³ Стигма - одна из главных проблем. Многим мужчинам советовали следить за тем, чтобы никогда не оставаться с ребенком наедине, и остерегаться любого физического контакта. (Как раз когда я писала эту главу, мой сын позвонил и сказал, что ему отказали в работе по уходу за детьми, потому что родителям было неудобно оставлять детей с мужчиной. "По крайней мере, они были честны в этом вопросе", - сказал он).

С другой стороны, многие из этих педагогов заявили, что гордятся тем, что служат положительным мужским примером для подражания детям младшего возраста, и сообщили, что многие родители были рады тому, что у их детей будет учитель-мужчина. Коул и ее соавторы призывают к согласованным политическим усилиям, направленным на привлечение и удержание большего числа мужчин в системе раннего образования. "Из-за их нынешней нехватки в этой области, - пишут они, - мужчины-педагоги могут также нуждаться в намеренной поддержке, направленной на устранение особых обстоятельств, с которыми они сталкиваются в связи с предвзятостью и изоляцией". Они предлагают целенаправленно привлекать мужчин в эту сферу по образцу таких программ, как NYC Teaching Fellows, которая поддерживает профессионалов, переходящих на преподавательскую работу в самых востребованных предметных областях, таких как математика, естественные науки и особые потребности в малообеспеченных нью-йоркских школах. Благотворительные фонды, серьезно относящиеся к гендерному равенству, должны наводнить рынок образования щедрыми стипендиями для мужчин, желающих сделать карьеру в сфере дошкольного образования, точно так же, как они поддерживают девочек, заинтересованных в карьере в области STEM.

Вторая приоритетная задача - привлечь больше чернокожих мужчин к преподаванию. "Будучи чернокожим учителем, я иногда чувствую себя единорогом", - говорит Шарль Жан-Пьер, преподаватель искусства и французского языка в государственных школах округа Колумбия.⁴⁴ Это неудивительно. Чернокожие мужчины составляют всего 2 % учителей в США.⁴⁵ Как я уже упоминал, чернокожие мальчики особенно выигрывают от того, что у них есть чернокожий учитель. В настоящее время существует целый ряд инициатив, в основном на городском уровне, направленных на увеличение числа чернокожих учителей-мужчин, включая NYC Men Teach, Национальную ассоциацию чернокожих учителей-мужчин, Инициативу цветных учителей-мужчин, Совещание чернокожих учителей-мужчин и так далее. Но многие из них работают на скудные бюджеты и остро нуждаются в поддержке.

В Колумбии, Южная Каролина, школьный директор Барон Дэвис поставил перед собой четкую цель нанять дополнительно 100 цветных учителей-мужчин (с особым упором на чернокожих), что позволит довести их представительство в округе до 10 %. Именно такая целенаправленность и конкретика необходимы для общенациональной программы позитивных действий для учителей-мужчин. "Нельзя постоянно говорить, что в образовании недостаточно чернокожих мужчин", - говорит Дэвис. Вопрос в том, говорит он, "что вы собираетесь с этим делать?"⁴⁶ Я думаю, что то же самое теперь можно сказать и о мужчинах в образовании в целом.

Третий приоритет в наборе - привлечь больше мужчин к преподаванию английского языка. Грамотность и устная речь - это то, в чем мальчики больше всего отстают от девочек, а эти навыки имеют большое значение для последующих образовательных перспектив. Одно из исследований показало, что перевод американских школьников на одну буквенную оценку по английскому языку в девятом классе повышает вероятность поступления в колледж на 10 процентных пунктов.⁴⁷ Дополнительный год, который мальчики получат в результате переподготовки, безусловно, поможет в этом деле. Но и большее количество учителей-мужчин по соответствующим предметам, особенно по английскому языку, тоже помогло бы. Помните, что наличие учителя-мужчины в английском языке улучшило результаты мальчиков, а на девочек не оказало никакого негативного влияния . Так что чем больше мужчин будет преподавать английский, тем лучше. В настоящее время мужчины составляют 12 % учителей английского языка в средней школе и 23 % - в старшей.⁴⁸ Большинство политических усилий в области набора учителей в настоящее время направлены на привлечение большего числа преподавателей, мужчин или женщин, в области STEM. Это, конечно, важно. Но я бы сказал, что сейчас существует не менее острая необходимость привлечь больше мужчин к преподаванию английского языка. Один из вариантов - позаимствовать идею из области STEM и предоставить студентам колледжей, специализирующимся на английском языке, возможность одновременно получить аккредитацию преподавателя, сократив количество лет обучения. Очевидно, что это может быть привлекательно как для мужчин, так и для женщин.


МЕНЬШЕ РАЗГОВОРОВ, БОЛЬШЕ МАГАЗИНОВ


Третья крупная политическая реформа, которую я предлагаю, - это масштабные инвестиции в профессиональное образование и подготовку, ориентированные на мужчин. Наша система образования ориентирована на стандартное академическое обучение, вплоть до получения степени в четырехлетнем колледже. Я много писал о колледже в предыдущих главах. Но многие люди прекрасно обходятся без 4-летнего высшего образования. По данным исследования, проведенного Энтони Карневале и его соавторами из Джорджтауна, 16 % людей с дипломом средней школы и 28 % людей со степенью младшего специалиста зарабатывают за свою трудовую жизнь больше, чем средний человек со степенью бакалавра.⁴⁹ По их словам, "простой совет старшеклассникам "поступайте в колледж" больше не является достаточным". Карневале говорит, что нам нужно больше консультантов по вопросам карьеры в средних школах, обладающих навыками и информацией, чтобы помочь ученикам увидеть ряд вариантов. Иногда эта должность называется "консультант по колледжу и карьере", но обычно больше внимания привлекает именно первая. (Мы должны стремиться к гендерному балансу и здесь: сейчас только один из четырех консультантов по профориентации - мужчина.) ⁵⁰

Упор на традиционное обучение в колледже дает понять, что одни навыки ценнее других, а именно те, которые делают вас "готовым к колледжу". Я мог бы многое сказать о классицизме и "культе умных", которые лежат в основе многих размышлений и политики в этой области.⁵¹ Но одним из результатов стало постоянное недооценивание профессионального обучения. Это вредно в целом, но особенно для мальчиков и мужчин. В среднем учащиеся мужского пола лучше справляются с более "практичным" подходом к обучению и получают наибольшую пользу от более профессионального подхода.⁵² Но в американских школах наблюдается стремительный спад карьерного и технического образования (CTE), что является результатом одержимости идеей поступления в колледж и остаточного страха "увести" некоторых учащихся от более академических занятий. В период с 1992 по 2013 год (последний год, за который имеются данные) количество кредитов CTE, полученных американскими школьниками, снизилось на 17 %.⁵³ Федеральные расходы сократились за последние несколько десятилетий.⁵⁴

В программах средней школы должно быть больше "практических" элементов. Это не значит, что нужно отправить всех мальчиков в мастерскую, чтобы они учились ремеслу, пока девочки будут писать эссе для поступления в колледж. Но это означает включение более практических и более профессиональных элементов (т. е. CTE) в общую программу , и особенно создание большего количества отдельных технических школ. Более широкая цель заключается в том, что философ Джозеф Фишкин называет "плюрализмом возможностей"⁵⁵ Вместо единственного узкого пути в том, что он называет "унитарной структурой возможностей", должно быть множество различных путей к успеху.

Насколько CTE может помочь мальчикам? Доказательная база здесь не очень обширна, но то, что есть, выглядит обнадеживающе. Выделяются несколько высококачественных исследований. В первом из них изучалось влияние академий карьеры, представляющих собой небольшие средние школы с профессиональным уклоном. По оценкам, в стране насчитывается около 7 000 таких академий, хотя они сильно различаются по своему подходу.⁵⁶ В оценочном исследовании MDRC рассматривались девять академий в Нью-Йорке. По традиционным показателям образования, таким как оценки, результаты тестов и поступление в колледж, они оказались провальными. Однако студенты-мужчины из этих школ, в основном латиноамериканцы и чернокожие, за восемь лет последующего исследования получили 17-процентный прирост заработка, что эквивалентно дополнительным 30 000 долларов США.⁵⁷ Этот прирост заработной платы аналогичен тому, который получают студенты, закончившие 2 года обучения в муниципальном колледже. Поразительно, но для молодых женщин, окончивших академии, не было выявлено явных преимуществ ни по одному из измеряемых результатов, что является исключением из правила образовательных мероприятий в целом, которое я описал в главе 6, и еще одним доказательством того, что CTE - это особенно благоприятный для мужчин образовательный подход.

Во втором исследовании изучалось влияние общенациональной системы шестнадцати школ CTE в Коннектикуте, в которых обучалось около 11 000 студентов, что составляет 7% от общего числа учащихся школьной системы.⁵⁸ Ученики мужского пола в этих школах заканчивали школу на 10 процентных пунктов быстрее, чем в традиционных школах, а их заработная плата к 23 годам была на 33-35% выше. При этом очевидных преимуществ для студенток не наблюдалось. Эти американские исследования перекликаются с аналогичными результатами исследования, проведенного в Норвегии, где новая профессиональная программа в средней школе повысила заработок участников мужского пола. Как пишут авторы исследования Марианна Бертран, Магне Могстад и Джек Маунтджой, "соображения, связанные с различиями в преимуществах полов, должны стать неотъемлемой частью политического разговора о профессиональном образовании".⁵⁹

В последние годы появились некоторые отрадные признаки того, что политики стали теплее относиться к инвестициям в CTE. Ряд штатов увеличили финансирование. Например, Невада утроила инвестиции в CTE.⁶⁰ В 2018 году был возобновлен Закон Карла Д. Перкинса о карьере и техническом образовании, который ежегодно выделяет штатам 1,3 миллиарда долларов на поддержку финансирования CTE.⁶¹ Это хорошо, насколько это возможно. Но по сравнению со 150 миллиардами долларов, выделяемыми на образование в колледжах, это не так уж и много.⁶²

Другая проблема заключается в том, что почти все инвестиции в CTE направляются на внутришкольные курсы, несмотря на то, что наилучшие доказательства пользы CTE получены в рамках общешкольных подходов. Безусловно, нам нужно больше CTE в каждой школе. Но что еще более важно, нам нужно больше школ, где преподают CTE. По моим оценкам, в настоящее время в стране насчитывается около 1600 средних технических школ, что составляет около 7 % всех государственных средних школ.⁶³ Они сосредоточены в крупных городских или пригородных школьных округах на северо-востоке.⁶⁴ В целом, только 12 % школьных округов имеют школы CTE. Мы должны стремиться к тому, чтобы к 2030 году по всей стране появилось не менее 1 000 новых технических средних школ. Если федеральное правительство предложит штатам субсидии в размере 5 000 долларов на каждого учащегося, эта цель может быть достигнута примерно за 4 миллиарда долларов в год.⁶⁵ Эти новые школы , конечно, будут открыты для мальчиков и девочек. Но, учитывая результаты оценочных исследований, имеет смысл ориентировать их на учащихся мужского пола.

За пределами средней школы есть веские основания для расширения ученичества. Национальный закон об ученичестве, принятый Палатой представителей в 2021 году, предусматривает выделение 3,5 миллиарда долларов в течение 5 лет на создание почти миллиона новых ученических мест.⁶⁶ Такие инвестиции крайне необходимы; будем надеяться, что Сенат тоже так считает. Несмотря на некоторый рост в последнее время, США по-прежнему находятся в самом низу международной таблицы по количеству взрослых, проходящих профессиональное обучение, - около 636 000 человек.⁶⁷ Общественные колледжи также предлагают профессиональные курсы, ведущие к повышению занятости и заработка, особенно в области здравоохранения, бизнеса и STEM. Эти колледжи также являются наиболее распространенным местом послешкольного образования для молодых людей в США (для сравнения, получение степени младшего специалиста по гуманитарным предметам не является большим вложением с точки зрения результатов на рынке труда).⁶⁸ Не менее 20 миллиардов долларов в год следует направлять в муниципальные колледжи через новую федеральную программу грантов, а также больше стимулов для того, чтобы студенты заканчивали обучение, особенно по предметам, дающим наилучшие перспективы трудоустройства.⁶⁹

Все эти реформы потребуют времени. Как пишет Орен Касс, глава правоцентристского аналитического центра American Compass, "переориентация реформы образования с одержимости колледжами на уважение других путей, по которым молодые люди могут выйти на рынок труда, будет долгим и медленным процессом".⁷⁰ Поэтому нам лучше начать.

Я сосредоточился здесь на маршрутах призвания, но хочу сделать одно замечание по поводу колледжей. Я бы хотел, чтобы больше стран или американских штатов последовали примеру Шотландии, которая в рамках своего плана действий по гендерным вопросам поставила цель сократить гендерный разрыв при поступлении в высшие учебные заведения до 5 процентных пунктов. Это будет непростой задачей, учитывая, что в настоящее время разница составляет 17 процентных пунктов.⁷¹ Но шотландское правительство выделяется тем, что четко заявляет, что гендерное неравенство в обоих направлениях имеет значение, и ставит конкретные задачи по его устранению.

Наконец, я должен упомянуть об одном политическом предложении, которое я не одобряю: больше однополых школ. Это решение довольно часто встречается в дискуссиях о том, как помочь мальчикам. Есть несколько исследований, показывающих впечатляющий эффект, в том числе исследование двадцати школ в Тринидаде и Тобаго.⁷² Но в целом исследования не говорят о большой пользе раздельного обучения ни для мальчиков, ни для девочек.⁷³ Возможно, однополое образование дает особые преимущества определенным группам, включая чернокожих мальчиков; просто в этом конкретном вопросе нет весомых доказательств ни для тех, ни для других. Конечно, верно, что, как говорит Майкл Гуриан в названии своей книги, мальчики и девочки учатся по-разному.⁷⁴ Но с этим различием лучше бороться, пересмотрев курсы подготовки учителей, чтобы включить в них некоторые научные данные о половых различиях, как призывает Гуриан. (В настоящее время они этого не делают).

Многие различия между мальчиками и девочками в современных классах объясняются тем, что девочки просто намного "старше" в плане развития. Мы можем отправлять мальчиков в те же школы, что и девочек, только на год позже.


ГЛАВА 11

.

МУЖЧИНЫ МОГУТ ИСЦЕЛЯТЬ


Привлечение мужчин к работе будущего


Кэмерону было около шести лет, когда я вез его домой после посещения врача. "Папа, - сказал он, - я не знал, что мужчины могут быть врачами". На мгновение я был озадачен. Затем я понял, что два или три врача, с которыми он сталкивался ранее, были женщинами, что не так уж странно, учитывая, что более половины врачей первичного звена в Великобритании - женщины. Если он сталкивался только с женщинами, работающими врачами, то вполне резонно задался вопросом, могут ли мужчины выполнять эту работу. Я заверила его, что мужчины действительно могут быть врачами, но осторожно добавила: "И медсестрами, конечно". В начальной школе, в которую ходили наши сыновья, тоже работали одни женщины, поэтому им тоже потребовалось время, чтобы убедить их, что мужчины тоже могут быть учителями.

Пытаясь найти баланс, мы намеренно старались нанимать мужчин для ухода за детьми наших сыновей. Конечно, это было не всегда просто, ведь мужчины составляют такую ничтожную долю работников по уходу за детьми. Один из них, "австралиец Майкл", пользовался особым успехом. Он разбивал палатки в качестве "лагеря для выполнения домашних заданий" и заставлял мальчиков бегать за мячом для регби в перерывах между выполнением заданий. Майкл инстинктивно знал, как сделать так, чтобы выполнение домашнего задания не было похоже на тюремное заключение и больше напоминало игру. (Иногда я думаю, не является ли это одной из причин того, что Брайс в итоге стал работать в сфере воспитания и образования детей).

В главе 10 я предложил некоторые решения структурных проблем, с которыми сталкиваются мальчики в системе образования. Здесь я обращаюсь к проблемам мужчин в сфере труда. Как я показал в главе 2, в традиционно мужских отраслях, таких как производство и тяжелая промышленность, наблюдается сокращение достойно оплачиваемых рабочих мест. Новые рабочие места среднего класса находятся в сферах, которые часто называют "розовыми воротничками", потому что в них заняты преимущественно женщины. В то время как женщины прочно вошли во многие профессии, в которых ранее доминировали мужчины, включая фармацевтику, юриспруденцию и бухгалтерию, не было ничего похожего на такое же движение в другом направлении. Гендерная десегрегация рынка труда была почти полностью односторонней.¹ В частности, доля мужчин в профессиях HEAL - здравоохранение, образование, администрирование и грамотность - остается упрямо низкой. Женщины всегда говорят: "Мы можем делать все, что могут делать мужчины", - заметила Глория Стайнем. Но мужчины не говорят: "Мы можем делать все, что могут делать женщины". "² Больше мужчин, безусловно, могут выполнять работу HEAL. И, учитывая тенденции на рынке труда, они должны это делать.

Здесь я сначала даю описание и определение профессий HEAL. Затем я привожу аргументы в пользу привлечения большего числа мужчин в профессии HEAL, которые состоят из трех основных компонентов. Во-первых, учитывая сокращение традиционных мужских профессий, необходимо, чтобы мужчины искали работу в этих секторах. Во-вторых, диверсификация этих профессий также поможет удовлетворить растущий спрос на рабочую силу. В-третьих, это повысит вероятность того, что мальчики и мужчины смогут найти мужчин, предоставляющих эти услуги. Таким образом, привлечение мужчин в профессии HEAL будет полезно и для мужчин, и для профессий, и для клиентов - беспроигрышный вариант.

Затем я выдвигаю ряд предложений по привлечению большего числа мужчин в HEAL, используя некоторые уроки успешных усилий по привлечению большего числа женщин в STEM. Три основных элемента моего плана "Мужчины могут работать в HEAL" заключаются в создании конвейера в системе образования, предоставлении финансовых стимулов и снижении социальной стигмы, с которой сталкиваются мужчины, работающие в этих областях.


СТЭМ И ОЗДОРОВЛЕНИЕ


Никогда не сомневайтесь в силе хорошего акронима. Два десятилетия назад Джудит А. Рамалей, помощник директора по образованию и человеческим ресурсам Национального научного фонда, получила задание продвигать науку, математику, инженерию и технологии. Акроним, который она унаследовала для этой работы, был SMET. Ей "не понравилось звучание этого слова", и она стала использовать вместо него STEM.³ К 2005 году в Конгрессе появилась фракция STEM, и с тех пор этот термин вошел в обиход. С самого начала стремление к STEM было мотивировано заботой об экономическом росте и национальной безопасности. Но в последние годы цель была перенесена на гендерное равенство и, в частности, на важность привлечения большего числа женщин в профессии STEM, в которых доминируют мужчины, и это принесло значительный успех.

В широком смысле профессии HEAL можно рассматривать как противоположность STEM. В них больше внимания уделяется людям, а не вещам, и они, как правило, требуют больше грамотности, чем навыков счета; отсюда и буква L вместо M. Возможно, всего около 120 000 работников зрелого возраста (от 25 до 54 лет) имеют такие названия, как математик или статистик, но существует гораздо больше профессий, где важны математические навыки.⁴ Аналогичным образом, существует примерно 150 000 авторов, писателей и редакторов, но гораздо больше профессий, где важны грамотность и коммуникативные навыки. В категорию HEAL я включаю несколько широких профессиональных категорий, таких как образование (например, учителя, библиотекари), здравоохранение (например, медсестры, врачи, гигиенисты) и поддержка здравоохранения (например, помощники по дому, ассистенты врачей)⁵ Кроме того, сюда включены некоторые специфические профессии, такие как социальные работники, консультанты по психическому здоровью, менеджеры и специалисты по обучению и развитию, администраторы образования и детских учреждений, редакторы, секретари суда и так далее. В 2020 году на рабочие места в области НТИМ приходилось 9 % занятости в США среди работников первого возраста, а на рабочие места в области ЗДРАВООХРАНЕНИЯ - 23 %. Здравоохранение и образование - очень крупные отрасли, на них приходится около 15 % всех рабочих мест.

В последние десятилетия наблюдается рост представленности женщин на рабочих местах в области НТИМ. Например, сейчас женщины составляют почти половину (45 %) ученых-биологов и ученых-физиков, работающих в США, по сравнению с менее чем одной из пяти в 1980 г.⁶ Среди инженеров доля женщин выросла с 4 % до 15 %. В последние десятилетия в технологической отрасли наблюдались гораздо меньшие успехи, и доля женщин в ней осталась на уровне около 25 %. Как показывает рисунок 11-1, в целом женщины составляют 27 % работников STEM, по сравнению с 13 % в 1980 году. Однако в отношении представленности мужчин на рабочих местах в сфере HEAL наблюдается обратная тенденция. В 2019 году мужчины занимали 26% рабочих мест, по сравнению с 35% в 1980 году. (Следует еще раз отметить, что все мои данные относятся к работникам с полной занятостью в возрасте от 25 до 54 лет).


РИСУНОК 11-1 Женщины растут в области НТИМ, мужчины падают в области ЗДОРОВЬЯ


Доля работников в профессиях STEM и HEAL в зависимости от пола, 1980 и 2019 гг.



Примечание: работающие на полную ставку, круглогодичные, гражданские работники в возрасте 25-54 лет с положительным заработком. HEAL и STEM классифицированы с использованием кодов профессий 1990 года.


Источник: Стивен Рагглс и другие, IPUMS USA: версия 11.0, 2021.


ПОЧЕМУ НАМ НУЖНО БОЛЬШЕ МУЖЧИН В ЦЕЛИТЕЛЬСТВЕ


Имеет ли значение, что женщины продолжают преобладать в профессиях HEAL? В конце концов, учитывая естественные половые различия между мужчинами и женщинами, мы не должны удивляться тому, что эти профессии привлекают больше женщин, чем мужчин. Вопрос, однако, в том, насколько больше. Как я уже неоднократно отмечал, распределение естественных предпочтений и интересов мужчин и женщин в значительной степени совпадает. Точно так же, как нынешнюю недопредставленность женщин в инженерном деле или на руководящих должностях нельзя правдоподобно объяснить естественными причинами, так же абсурдно думать, что 18%-ная доля мужчин среди социальных работников достоверно отражает истинный уровень интереса к этой работе среди мужчин, тем более что с 1980 года она сократилась вдвое.⁷ Если определенные профессии считаются запретными для мужчин, их выбор ограничивается, так же как и у женщин в обратном случае.

Сектора HEAL - это те места, где появляются рабочие места. Чтобы улучшить перспективы трудоустройства мужчин, нам нужно привлечь большее их количество к таким видам работ. Дэвид Деминг из Гарварда подсчитал, что с 1980 по 2012 год "рабочие места, требующие высокого уровня социального взаимодействия, выросли почти на 12 процентных пунктов как доля рабочей силы в США". В то же время "математически емкие, но менее социальные профессии... сократились на 3,3 процентных пункта за тот же период".⁸ Это правда, что профессии в области STEM чаще всего описываются как профессии будущего. Глянцевые фотографии ярких молодых людей в лабораторных халатах, конечно, усиливают это ощущение. Но с точки зрения создания новых рабочих мест HEAL опережает STEM; по моим подсчетам, на каждое новое рабочее место в STEM к 2030 году будет приходиться более трех новых рабочих мест в HEAL.⁹

Действительно, в среднем рабочие места в сфере STEM оплачиваются лучше, чем в сфере HEAL. Это отражает тот факт, что некоторые из самых крупных профессий HEAL имеют низкий уровень заработной платы. Например, около 610 000 помощников по уходу за больными на дому и персоналом (работающих полный рабочий день и в возрасте 25-54 лет) получают среднюю годовую зарплату в размере 26 000 долларов. Но есть и множество профессий HEAL с относительно высоким уровнем оплаты, например, практикующие медсестры ($100 000), менеджеры по медицинским и оздоровительным услугам ($71 000), администраторы в сфере образования и ухода за детьми ($70 000) или трудовые терапевты ($72 000).¹⁰ Многие профессии HEAL также предлагают высокую степень гарантии занятости даже в условиях экономического спада; нам по-прежнему нужны медсестры и учителя в период рецессии.

Вторая причина привлечь больше мужчин к работе в сфере здравоохранения - это удовлетворение растущего спроса на рабочую силу в таких профессиях, как медсестры и преподаватели. Почти половина всех дипломированных медсестер сейчас старше 50 лет. Это означает, что многие из них, вероятно, выйдут на пенсию в ближайшие 15 лет, особенно если они будут испытывать больший стресс на работе.¹¹ Тем временем ожидается, что к 2030 году число необходимых медсестер и практикующих медбратьев увеличится примерно на 400 000 человек.¹² Еще до COVID-19 выгорание медсестер считалось растущей проблемой.¹³ "Больницы испытывали трудности с поиском медсестер на должности до пандемии", - говорит Кендра Макмиллан, старший советник по вопросам политики Американской ассоциации медсестер. "В сентябре 2021 года Американская ассоциация медсестер призвала федеральное правительство объявить "национальный кризис укомплектования кадрами медсестер"¹⁴ В ходе опроса, проведенного в конце 2021 года Центром сельского здравоохранения Chartis, 99 % сельских больниц сообщили о нехватке кадров, причем 96 % заявили, что наем и удержание медсестер являются их самыми большими проблемами. Каждая четвертая больница заявила, что нехватка медсестер вынудила их приостановить оказание некоторых услуг, включая роды, химиотерапию и колоноскопию.¹⁶ Для удовлетворения этого спроса был предложен ряд решений, включая повышение оплаты, более гибкий график работы, бонусы при найме, улучшение культуры на рабочем месте и расширение обучения медсестер.¹⁷ Все это хорошие идеи. Но одно решение почти никогда не упоминается: привлечь больше мужчин в сестринское дело.

Профессия учителя сталкивается с аналогичными проблемами. Две трети школьных округов сообщили о нехватке учителей, согласно опросу 1200 руководителей школ и округов, проведенному в 2021 году компанией Frontline Education.¹⁸ И снова сельские районы страдают больше всего. Основными источниками проблемы, по мнению руководителей образования, являются нехватка квалифицированных учителей и низкая зарплата по сравнению с другими профессиями. В целом, по мнению авторов исследования, картина "мрачная".

В 2014 году общественное мнение о преподавании перешагнуло зловещий рубеж. Впервые в истории большинство родителей ответили "нет" на следующий вопрос опроса: "Хотели бы вы, чтобы ваш ребенок стал учителем в государственной школе?" (54 % по сравнению с 28 % в 2009 году).¹⁹ За период с 2000 по 2018 год количество поступающих на программы подготовки учителей сократилось более чем на треть, причем среди мужчин это падение было более значительным, чем среди женщин.²⁰ Пандемия усугубила ситуацию, и в некоторых местах принимаются решительные меры. В штате Нью-Мексико солдаты Национальной гвардии привлекаются в качестве учителей-заместителей; школьный округ Миннеаполиса попросил родителей-добровольцев получить лицензию учителя-заместителя; а округ Полк, штат Флорида, прислал шестьдесят учителей из восьми иностранных государств, все с визами J-1.²¹ Но когда обсуждаются долгосрочные решения, опять же почти ничего не говорится о возможности привлечь в профессию больше мужчин.

Мы сталкиваемся с нехваткой рабочей силы в двух крупнейших и наиболее важных отраслях нашей экономики - здравоохранении и образовании. Но мы пытаемся решить эти проблемы, имея лишь половину рабочей силы.

Третий и последний аргумент в пользу привлечения большего числа мужчин на работу в HEAL - это улучшение гендерного соответствия между поставщиками и пользователями многих критически важных услуг, особенно в профессиях, связанных с уходом. В главе 10 я описал продолжающееся падение доли учителей-мужчин, которая теперь составляет менее одного из четырех, а также шокирующее отсутствие мужчин в сфере раннего образования. Но также наблюдается поразительное снижение доли мужчин в сфере психического здоровья и смежных профессий, связанных с уходом. Например, мужчины составляют меньшинство среди социальных работников (18 %) и психологов (22 %), и гендерный дисбаланс растет, как показывает рисунок 11-2. Как и в случае с преподаванием, эти профессии относятся к тем, где большой гендерный разрыв действительно имеет значение. Обращение за помощью может быть трудным для многих людей, и часто кажется, что это еще труднее для мужчин.²² Мы знаем, что мужчины, например, реже обращаются за консультацией по вопросам психического здоровья.²³


РИСУНОК 11-2 Недостаточное количество мужчин в профессиях, связанных с уходом за больными


Доля мужчин, выбранные профессии HEAL



Примечание: занятые полный рабочий день, круглый год, гражданские работники в возрасте 25-54 лет с положительным заработком. Профессии классифицированы с использованием кодов профессий 1990 года.


Источник: Стивен Рагглс и другие, IPUMS USA: версия 11.0, 2021.


Возможно, здесь действует некий порочный круг. Мужчины могут с большей неохотой открываться женщине-консультанту или психотерапевту, особенно если они борются с проблемами, связанными с агрессией, рискованным поведением, зависимостью или сексом.²⁴ Хороших данных на этот счет нет, поэтому мы не можем знать наверняка. (Я могу сказать, основываясь на своем собственном N из 1, что мне было гораздо лучше с терапевтом-мужчиной). Но я пойду на хитрость и просто заявлю, что не идеально, если большинство консультантов по наркологии - женщины (76 %), а большинство наркологических больных - мужчины (67 %), или если большинство учителей специального образования - женщины (84 %), а большинство учащихся, направляемых на специальное обучение, - мужчины (64 %).²⁵ Я не говорю, что мы должны стремиться к идеальному гендерному паритету в этих профессиях. Но вполне разумно стремиться к более тесному соответствию между клиентами и поставщиками услуг.


ОДИН МИЛЛИАРД ДОЛЛАРОВ ДЛЯ МУЖЧИН В ИСЦЕЛЕНИИ


Как нация, мы должны поставить перед собой двойную цель: к 2030 году достичь 30 % представленности женщин на рабочих местах в области STEM и 30 % представленности мужчин на рабочих местах в области HEAL. Достижение этой цели "30 на 30" означает привлечение более 3 миллионов мужчин на рабочие места в сфере HEAL. На это потребуются деньги, как и на усилия по увеличению числа женщин в STEM.

В 2019 году Мелинда Френч Гейтс пообещала выделить 1 миллиард долларов на расширение возможностей для женщин в США. Одним из трех основных направлений ее деятельности является повышение представленности женщин в STEM-карьере, и это стало долгожданным толчком для и без того сильного движения "Женщины в STEM" в США.²⁶ В 2019 году Конгресс принял Закон о строительных блоках STEM, который предписывает Национальному научному фонду направлять больше средств, выделяемых на K-12 STEM (около 160 миллионов долларов в год), на начальное и дошкольное образование и на девочек, например, через "гендерно-инклюзивные программы обогащения компьютерных наук".²⁷ В 2021 году Национальный научный фонд объявил о выделении 29 миллионов долларов на гранты в 2021 и 2022 годах в рамках программы "Организационные изменения для гендерного равенства в академических профессиях в области STEM", которая поддерживает инициативы по увеличению доли женщин-преподавателей в STEM-области.²⁸

Точно определить, сколько в целом тратится на привлечение женщин на работу в области STEM, невозможно, не в последнюю очередь потому, что в этом участвует так много организаций. Но если привести конкретный пример, то Общество женщин-инженеров имеет 36 сотрудников в штаб-квартире, активы на сумму около 19 миллионов долларов и ежегодные расходы в размере 12 миллионов долларов.²⁹ Общество проделывает огромную работу по организации лекционных программ, финансовой поддержке студентов через стипендии, предоставлению возможностей для профессиональногоразвития, а также эффективной пропаганде и лоббированию. В отличие от этого, движение "Мужчины за ЗОЖ" практически не существует. Есть несколько организаций, которые пытаются привлечь больше чернокожих и испаноязычных мужчин к преподаванию, и все они имеют скудный бюджет. В сфере сестринского дела существует лишь Американская ассоциация по продвижению мужчин в сестринское дело, в которой нет ни одного сотрудника, активы составляют 40 000 долларов, а годовой доход - 183 000 долларов.³⁰

Как общество, мы признали необходимость привлечения большего числа женщин на работу в области STEM и инвестировали в это соответствующие средства. Теперь то же самое можно сказать о мужчинах и HEAL. Я предлагаю вложить не менее 1 миллиарда долларов в течение следующего десятилетия в достижение этой цели. Эти деньги, выделенные как правительством, так и филантропами, должны быть потрачены по трем направлениям. Во-первых, создание в школах и колледжах конвейера будущих работников HEAL мужского пола. Во-вторых, оказание финансовой поддержки студентам и работникам HEAL мужского пола. В-третьих, проведение кампаний социального маркетинга, чтобы сделать выбор этой профессии более привлекательным для мальчиков и мужчин.


ТРУБОПРОВОД, ПОЛНЫЙ МУЖЧИН


Во-первых, конвейер. Нам нужно, чтобы больше мальчиков и юношей задумывались о карьере в HEAL как можно раньше. Один из уроков успешных инициатив в области STEM заключается в том, что конвейер действительно имеет значение. Именно поэтому существует кампания "Она может STEM", ориентированная на учеников средней школы, с обучающими ресурсами, онлайн-концертами и активными каналами социальных сетей. А как насчет аналогичной кампании "He Can HEAL"? В старших классах нам нужно больше возможностей для обучения в сфере услуг для мальчиков, заинтересованных в профессиях HEAL, таких как воспитание детей младшего возраста, а также школьные инициативы по повышению осведомленности о мужчинах, работающих в этих профессиях. Отличной моделью здесь является проект National Girls Collaborative, который использует мини-гранты (781 на сегодняшний день) для создания сети, чтобы "создать переломный момент для гендерного равенства в STEM"³¹ (коллаборация получила финансирование Национального научного фонда в размере более 4 миллионов долларов США.³²) Другой моделью является Million Girls Moonshot с миссией "переосмыслить, кто может быть инженером, кто может строить, кто может создавать, путем вовлечения еще одного миллиона девочек в возможности обучения STEM через внешкольные и летние программы в течение следующих 5 лет"³³ Опять же, отличный материал. Но нам также нужен миллион мальчиков, вовлеченных в программы HEAL.

Подобные инициативы должны увеличить число мужчин, выбирающих курсы HEAL в колледже. В настоящее время мужчины составляют лишь 16 % бакалавров в области здравоохранения и 12 % в области дипломированных медсестер.³⁴ Они также слабо представлены в сфере преподавания: на них приходится 18 % дипломов в области образования и лишь 8 % в области преподавания в начальной школе. Многим мальчикам и юношам просто не приходит в голову, что эта работа может быть для них. Двадцать процентов старшеклассниц рассчитывают работать в сфере здравоохранения в возрасте 30 лет, в то время как среди юношей таких всего 4 %.³⁵ Только один из десяти мужчин, работающих в сфере социального обеспечения, сказал, что рассматривал возможность получения этой профессии до поступления в колледж. Это неудивительно, учитывая, что сейчас в этих профессиях преобладают женщины. Вы должны увидеть это, чтобы стать этим.

Существует также множество профессий в сфере HEAL, не требующих четырехлетнего образования, поэтому важно открыть возможности профессионального обучения для мальчиков и мужчин. Например, в три раза больше женщин, чем мужчин, получают квалификацию в области здравоохранения. В отчете за 2017 год Национальная коалиция женщин и девочек в образовании отметила, что "мужчинам может быть... нежелательно посещать нетрадиционные курсы, включая курсы в относительно быстрорастущих и высокооплачиваемых областях, таких как медсестринское дело и параюридическая работа". Хорошо, но как насчет обратного? Справедливости ради следует отметить, что коалиция выполняет ту работу, которая подразумевается ее названием. С другой стороны, аргументировать свою позицию должна была бы Национальная коалиция за мужчин и мальчиков в образовании. Но такой организации нет.

Еще один важный шаг - привлечь больше мужчин к преподаванию этих предметов в университетах и колледжах. Неизбежно сложнее убедить молодых людей в том, что медсестринское дело - это карьера для них, если 94 % профессоров - женщины.³⁷ Есть некоторые свидетельства того, что женщины, посещающие занятия по STEM под руководством профессора-женщины, получают лучшие оценки и с большей вероятностью будут проходить больше курсов по STEM в последующие годы и получат степень в области STEM.Я не знаю аналогичных исследований, посвященных мужчинам-профессорам по предметам HEAL, но нет причин полагать, что это не сработает и в обратную сторону, особенно учитывая исследования, посвященные мужчинам-преподавателям в средних школах.

Нам нужно разорвать замкнутый круг профессий, которым обучают женщин для женщин. Здесь оправданы активные позитивные действия. Я предлагаю, чтобы среди кандидатов на преподавательские должности в области здравоохранения и образования предпочтение отдавалось мужчинам в соотношении 2:1. Прежде чем вы сообщите обо мне в Комиссию по равным возможностям в сфере занятости, вы должны знать, что я не взял эту цифру из воздуха. Согласно исследованию Венди Уильямс и Стивена Сеси, именно такое предпочтение в настоящее время отдается женщинам-профессорам, работающим в STEM-областях. Они отмечают: "Эти результаты говорят о том, что сейчас благоприятное время для женщин, начинающих карьеру в академической науке".³⁹ Это отличная новость. Но нам нужен аналогичный толчок для мужчин, начинающих академическую карьеру в HEAL.


ДЕНЬГИ ГОВОРЯТ


Иногда бывает полезно бросить деньги на решение проблемы. Именно поэтому существуют сотни стипендий для женщин, изучающих STEM, которые предоставляются различными фондами, общественными группами и самими учебными заведениями. Как говорится на сайте scholarships.com, ведущем агрегаторе информации о стипендиях для послешкольного образования: "Если вы женщина, которая проявляет способности к науке и интересуется научными дисциплинами, это может стать для вас отличной возможностью".⁴⁰ Стипендия Марии Кюри, например, предлагает 80 000 долларов девушкам, изучающим биологию, химию или математику в Колледже Святой Марии, частном католическом женском колледже в Омахе, штат Небраска. Эта стипендия также поддерживается Национальным научным фондом, который к настоящему времени вложил в нее около полумиллиона долларов.⁴¹ Скептик может усомниться в таких расходах; в конце концов, на долю женщин приходится большая часть степеней бакалавра, присуждаемых в стране по предметам, охватываемым стипендией Марии Кюри: биологии (64 %), химии (50 %) и математике (43 %).⁴² Но мой аргумент заключается не в том, что мы должны делать меньше для привлечения женщин в STEM; а в том, что мы должны делать столько же для привлечения мужчин в HEAL. Сразу две мысли.

Несмотря на то, что женщины обогнали мужчин в сфере послешкольного образования, стипендий для мужчин почти нет, и практически нет стипендий, направленных на поощрение мужчин в HEAL. Американская ассоциация мужчин в сестринском деле предлагает пять стипендий общей стоимостью чуть более 10 000 долларов, и в основном они предназначены для мужчин, уже начавших карьеру медсестры. Есть также несколько стипендий для чернокожих и испаноязычных мужчин, стремящихся карьеру преподавателя, в частности, в рамках программы Call Me MISTER. Эта инициатива, зародившаяся в Южной Каролине, теперь включает в себя образовательные школы в Джорджии и Техасе, предлагающие финансовую и академическую поддержку. Но нам нужны не только чернокожие учителя-мужчины. Нам также нужно больше латиноамериканских мужчин в наших классах. Латиноамериканские женщины составляют самую быстрорастущую группу учителей К-12, за исключением белых женщин, особенно в таких штатах, как Калифорния. По данным чикагского социолога Гленды Флорес, среди латиноамериканок, получивших образование в колледже, преподавание стало наиболее предпочтительной профессией.⁴³ Но среди латиноамериканских мужчин такого подъема не наблюдается. Сейчас нам нужна гораздо более широкая кампания, основанная на успехе таких программ, как Call Me MISTER, но рассчитанная на мужчин всех рас и этнических групп.

Работодателям HEAL также следует выделять средства, чтобы побудить их нанимать больше мужчин. И здесь мы можем перенять опыт движения "Женщины в STEM". Уже существует хорошая политическая основа - Закон об инновациях и возможностях трудовых ресурсов (Workforce Innovation and Opportunity Act, WIOA). В соответствии с ним выделяются средства на программы развития рабочей силы, особенно для того, чтобы помочь перемещенным или менее квалифицированным работникам найти работу в быстрорастущих секторах экономики.⁴⁴ В 2021 году было потрачено 5,5 миллиарда долларов.⁴⁵ Ряд программ по поддержке женщин, в том числе в областях STEM, финансируется в рамках этого закона. Например, Техасская комиссия по трудовым ресурсам отмечает использование средств WIOA для проведения саммита Women Empowered Summit, который "расширил возможности, мотивировал и вдохновил участников и обогатил их профессиональную жизнь", а также Camp Code, "направленного на повышение интереса девочек средних классов к компьютерному кодированию и компьютерным наукам посредством участия в летних лагерях"⁴⁶ Опять же, хорошо. Но мне не удалось найти ни одной программы WIOA, направленной на помощь мужчинам в получении профессий HEAL. Это серьезный политический пробел.

На эти цели также должны быть выделены определенные средства. Хорошей моделью здесь является закон STEM RESTART, вновь внесенный в Конгресс на двухпартийной основе в 2021 году.⁴⁷ RESTART расшифровывается как Restoring Employment Skills through Targeted Assistance, Re-entry, and Training. (Закон внесет поправки в WOIA и выделит дополнительные 50 миллионов долларов в год на "возвратные стажировки" или стажировки в середине карьеры для работников, которые либо ушли из STEM, либо хотят перейти в эту область. Выделяемые гранты будут направлены на поддержку 10-недельных программ с доступом к наставничеству и обучению и с особым акцентом на "недопредставленные группы населения", особенно женщин и расовые меньшинства. Мне нравится эта идея. Но я также хотел бы внести в законопроект небольшую поправку, переименовав его в STEM and HEAL RESTART Act и выделив дополнительные 50 миллионов долларов на помощь недопредставленным работникам, особенно мужчинам, в переходе на работу в сфере HEAL.

Есть также веские основания для повышения уровня оплаты труда в некоторых из этих важнейших профессий, включая социальную работу, консультирование и преподавание. Более высокая зарплата, скорее всего, привлечет больше мужчин в эти профессии, но также поможет и женщинам, уже работающим в них. Сегодня зарплата учителей К-12 такая же, как и в начале века.⁴⁸ После серии забастовок учителей президент Джо Байден сказал учителям в 2021 году: "Вы заслуживаете повышения, а не только похвалы".⁴⁹ Он хочет ежегодно тратить дополнительные 20 миллиардов долларов на программу Title I, которая предоставляет ресурсы школам, обучающим более бедных учеников. На 15 миллиардов долларов мы могли бы повысить зарплату на 10 000 долларов каждому учителю в школе с высоким уровнем бедности.⁵⁰ По-моему, это просто не имеет смысла.


ИЗОБРАЗИТЬ МЕДСЕСТРУ


В 2000 году Рейчел Крантон и Джордж Акерлоф создали новую научную область "экономика идентичности". Они показали, что индивидуальные решения формируются не только под влиянием жестких цифр анализа затрат и выгод, но и под влиянием более личных аспектов человеческой идентичности. "В мире социальных различий одним из самых важных экономических решений, которые принимает индивид, может быть выбор типа личности", - пишут они. "Ограничения этого выбора также являются важнейшими факторами, определяющими экономическое поведение, возможности и благосостояние".⁵¹ Нарушение предписанных норм гендерной идентичности, например, влечет за собой определенные издержки для человека. Это действует как сдерживающий фактор. Создается равновесие, которое поддерживает норму, а значит, и стоимость ее нарушения. Или, как они выражаются, "Ij = Ij(aj,a_ j;cj,ej,P)".

Крантон и Акерлоф применили свою модель к сегрегации на рынке труда, а также к неоплачиваемой работе по дому. Они утверждали, что феминизм уменьшает "потерю идентичности" для женщин, предпочитающих работать на традиционно мужских работах, и для мужчин, работающих в "розовых воротничках" или дома. Но пока верно только первое из этих утверждений. В тот же год, когда Крантон и Акерлоф опубликовали свою работу, на экраны вышел комедийный фильм "Знакомство с родителями". Одна из главных тем фильма заключается в том, что главный герой, которого играет Бен Стиллер, - медсестра. "Это здорово - отдавать что-то такое, - говорит ему другой персонаж, - я бы с удовольствием нашел время для волонтерской работы".

Спустя два десятилетия доля мужчин среди медсестер немного увеличилась - с 10 до 15 %.⁵² Но мужчины, работающие медсестрами, регулярно сталкиваются со стигматизацией и стереотипами. Они спрашивают: "Почему ты медсестра, или почему ты не пошел в медицинскую школу", - говорит Шон Роджерс, медбрат из Денвера, штат Колорадо.⁵³ Его опыт типичен. Мужчины-медсестры также часто подвергаются стереотипам, считая их женоподобными, гомосексуальными или просто неудавшимися врачами.⁵⁴ Флоренс Найтингейл задала тон с самого начала, когда она фактически основала современное сестринское дело в XIX веке, выступив против мужчин в этой профессии на том основании, что с их "твердыми и рогатыми руками" они не подходят для того, чтобы "трогать, купать и одевать раненые конечности, какими бы нежными ни были их сердца"⁵⁵.

Мужчины, работающие в сфере преподавания, особенно с маленькими детьми, могут столкнуться с еще более серьезной стигматизацией. Одна из воспитательниц детского сада в округе Колумбия говорит: "Некоторые люди считают, что если мужчина учит маленьких детей, то он педофил, извращенец или что-то в этом роде".⁵⁶ Среди работодателей также более распространено гендерное предубеждение против найма мужчин на преимущественно женские должности, чем наоборот, как показало исследование Джилл Яворски, проведенное в 2019 году.⁵⁷

В популярной культуре профессии HEAL остаются в значительной степени гендерными, а телевизионные шоу и реклама подчеркивают связь между определенными профессиями и принадлежностью к женскому полу. Одно из исследований показало, что гендерные роли в телерекламе наиболее несбалансированы, когда речь идет об изображении людей на рабочих местах.⁵⁸ Мы должны уменьшить то, что Клаудия Голдин называет "аурой гендера", которая прикрепляется к определенным профессиям - и особенно сейчас к тем, в которых доминируют женщины.⁵⁹ Но как?

Здесь очень важны примеры для подражания. Вы не можете быть тем, кого не видите. Популярная культура играет здесь важную роль. Решения, принимаемые в Голливуде и Нью-Йорке по поводу телешоу, рекламы и фильмов, которые смотрят миллионы людей, могут повлиять на поведение сильнее, чем любые законы, принятые в Вашингтоне. Сериал "Уилл и Грейс" помог проложить путь к брачному равноправию.⁶⁰ "16 и беременна" канала MTV значительно снизил уровень подростковой беременности.⁶¹ Более широкое представление мужчин в ролях HEAL в сериалах и рекламе может помочь уменьшить потерю идентичности у мальчиков и мужчин, которые могут выбрать эти профессии.

Следует также проводить национальные кампании социального маркетинга, чтобы привлечь мальчиков и мужчин в HEAL, особенно в тех местах и областях, где особенно мало мужчин.⁶² Цель здесь - создать "каскады норм" или "заражение поведения", по выражению правоведа Касса Санштейна и экономиста Роберта Франка.⁶³ Возможно, нормы и стереотипы быстро изменятся, как только будет достигнут достаточный культурный импульс. По понятным причинам я сосредоточил свое внимание на проблемах женщин в STEM. Но вы можете вспомнить и об изменениях в отношении общества к ЛГБТК и браку.

Работодатели HEAL также должны позаботиться о том, чтобы мужчины занимали видное место в кампаниях по набору персонала. Еще в 2003 году Орегонский центр сестринского дела выпустил поразительный плакат для набора персонала, на котором был вопрос: "ВЫ МУЖЧИНА НАСТОЛЬКО... ЧТОБЫ БЫТЬ МЕДСЕСТРОЙ? В рекламе были изображены девять медсестер, которые, как объяснила Дебора Бертон из Центра, "олицетворяют мужские черты нашего общества". Среди них были бывший морской котик, байкер, чемпион по карате, игрок в регби, сноубордист и бывший пожарный. Кампания привлекла внимание СМИ. Безусловно, это была смелая попытка с правильными намерениями. Но, похоже, она не сдвинула с мертвой точки темпы набора мужчин в штат.⁶⁴ Также кажется, что в рекламе переборщили с контрастом между стереотипами о медсестрах и стереотипами о мужчинах. Последующие исследования показывают, что такой подход может дать обратный эффект, подчеркивая то, что психологи называют "ролевым несоответствием" между представлениями о мужественности и представлениями о работе медсестры.⁶⁵ Глубокое исследование маркетинговых материалов, направленных на привлечение мужчин к работе медсестрой в США. Марси Коттингем, ученый-бихевиорист из Амстердамского университета, обнаружила, что более распространенным подходом является сочетание некоторых элементов, которые, вероятно, привлекают традиционные мужские нормы, таких как изображения мужчин, занимающихся спортом или использующих техническое оборудование, и сильный акцент на экономическом вознаграждении, но наряду с другими изображениями, подчеркивающими заботливый, ориентированный на людей характер работы.⁶⁶

Дженнифер Боссон, психолог из Университета Южной Флориды, изучавшая отношение мужчин к традиционно женским профессиям, сказала корреспонденту NPR Шанкару Ведантаму: "Можно представить медсестру как очень мужское занятие. Это опасно. Она изнурительна физически. Наш стереотип медсестры - вы знаете, можно изменить этот стереотип и превратить медсестру в профессию, которая действительно кажется мужественной или подходящей для мужчин".⁶⁷ Я думаю, что "подходящая для мужчин" - это правильный способ подумать об этом. Цель не в том, чтобы такие профессии, как медсестра, социальная работа, психическое здоровье или преподавание, казались мужскими, а не женскими, а в том, чтобы подчеркнуть спектр возможностей, которые они могут предоставить как мужчинам, так и женщинам. Нам не нужно заставлять мужчин чувствовать, что работа медсестрой каким-то образом укрепит их мужественность, просто она не будет ее снижать.⁶⁸

Все предложения, которые я здесь изложил, требуют институциональной поддержки. Некоторые из них могут быть государственными. Подобно тому, как Национальный научный фонд поддерживает ряд инициатив для женщин в STEM, Министерство здравоохранения и социальных служб могло бы сделать то же самое для мужчин в сестринском деле, а Министерство образования - для мужчин в преподавании. Но нам также нужны филантропические фонды, приверженные идее гендерного равенства, чтобы направить часть своих ресурсов на поддержку мужчин в HEAL (как насчет этого, Мелинда?). Нам нужны компании, которые будут спонсировать конференции, программы наставничества и маркетинговые кампании. Нам нужны новые, хорошо обеспеченные ресурсами некоммерческие и пропагандистские организации, подобные тем, которые добились успеха в привлечении большего числа женщин в STEM.

Короче говоря, нам нужны общенациональные усилия. Как я уже говорил, привлечение большего числа мужчин на работу в HEAL важно для их собственных экономических перспектив, учитывая упадок многих традиционных мужских профессий. Но я также надеюсь, что убедил вас в том, что это будет полезно и для общества. Мужчины могут оздоравливать.


ГЛАВА 12. НОВЫЕ ПАПЫ


Отцовство как независимый социальный институт


Когда номер на вашем телефоне - начальная школа вашего ребенка, неважно, чем вы заняты, вы берете трубку. Неоднократно, чтобы ответить на такой звонок, моей жене приходилось покидать деловую встречу в Париже или Нью-Йорке. Говоря, что один из наших сыновей заболел или получил травму и его нужно забрать, она вежливо напоминала звонившему, что ее муж указан в списке родителей, которые должны звонить первыми в таких случаях. В конце концов, я оставалась дома и находилась всего в миле от школы. (На самом деле, когда это случилось в третий или четвертый раз, вежливость, возможно, начала улетучиваться). В конце концов школа все поняла. Но это стало напоминанием о том, что, несмотря на пройденный путь, нам еще предстоит пройти немало времени, чтобы обновить нашу модель отцовства. "Работающая мать - это теперь норма", - замечает Ханна Розин. "Отец, сидящий дома, все еще остается аномалией на первых полосах газет".

В главах 10 и 11 я предложил некоторые решения структурных проблем, с которыми сталкиваются мальчики в школе и мужчины на рынке труда. Теперь я перехожу к самой серьезной задаче - перестройке роли мужчин в семье. На протяжении всей этой книги я старался не поддаваться соблазну гиперболизации. В целом я считаю, что заявления о "кризисе" почти всегда преувеличены и обычно используются для достижения партийных целей. Но я действительно считаю, что утрата традиционной мужской роли в семье стала огромным культурным шоком, который заставил многих мужчин оцепенеть. Старая модель отцовства, основанная на экономическом обеспечении, не подходит для мира гендерного равенства. На смену ей должна прийти гораздо более широкая роль отцов, включающая в себя гораздо больше заботы и равная с матерями.

Это, конечно, не означает, что отцы больше не несут ответственности за материальное обеспечение. Это просто означает, что эта обязанность разделена с матерями. То же самое, однако, справедливо и в отношении ухода за детьми: его тоже можно и нужно разделять. Поэтому, несмотря на то, что перед нами стоит огромная задача, есть и огромная возможность расширить само определение того, что значит быть отцом.

К сожалению, вместо того чтобы стать предметом серьезного внимания со стороны культуры, отцовство стало очередной жертвой культурных войн. Прогрессисты сопротивляются идее о том, что отцам отведена особая роль, боясь, что это каким-то образом подорвет материнство или принизит однополые пары. Поэтому они отшатываются от любого предложения, в котором может прозвучать словосочетание "права отцов". Консерваторы тем временем сетуют на эпидемию безотцовщины, но просто хотят восстановить традиционный брак, с четкими и раздельными ролями мужчин и женщин.

Даже идея отцов как воспитателей кажется угрожающей некоторым правым политикам. В октябре 2021 года ведущий Fox News Такер Карлсон обрушился на Пита Баттигига, министра транспорта, за то, что тот взял "отпуск по уходу за ребенком, как они это называют".² Пирс Морган подколол Дэниела Крейга, когда актер Джеймса Бонда сфотографировался с ребенком, написав в Твиттере: "О 007. . не ты тоже?!!! #papoose #emasculatedBond."³.

Напротив, Рут Бейдер Гинзбург имеет более развитое видение равноправного общества. В 1975 году она успешно выступила в Верховном суде по делу "Вайнбергер против Визенфельда". Приняв единогласное решение, суд признал неконституционным предоставление пособий по социальному обеспечению вдовам, ухаживающим за детьми, и отказ в них вдовцам. По словам Гинзбург, этим делом она гордится больше всего, потому что оно дало возможность поддержать "заботу двух любящих родителей, а не одного"⁴ По мнению судьи Гинзбург, быть феминисткой означало поддерживать равные права для отцов.

В этой главе я привожу доказательства того, что отцы имеют значение для детей, в том числе в некоторых отношениях, отличных от материнских. Затем я описываю новую модель семьи, в которой отношения между отцами и детьми не зависят от отношений между отцами и матерями: прямые отцы. Наконец, я излагаю политическую программу поддержки прямого отцовства, включая равный и независимый отпуск по уходу за ребенком, модернизированную систему поддержки детей и благоприятные для отцов возможности трудоустройства.

Эта политика призвана поддержать развитие новой модели отцовства, подходящей для мира, в котором матери не нуждаются в мужчинах, но дети все еще нуждаются в своих отцах.


ПАПЫ ВАЖНЫ


Отцы появились примерно полмиллиона лет назад, когда человеческий мозг пережил скачок роста. Потребность в пище, особенно в мясе, для питания молодых матерей и их младенцев резко возросла. С этого момента, как отмечает антрополог Сара Блаффер Хрди, на воспитание человека от рождения до обретения им пищевой независимости требовалось около 13 миллионов калорий. "Если отцы хотели, чтобы их дети выжили, они должны были оставаться рядом и обеспечивать их", - говорит она.⁵ Если отцы хотели, чтобы их дети выжили, они должны были оставаться рядом и обеспечивать их. Так они и сделали. Отцовство - это продукт эволюционного отбора. Как пишет Анна Мачин, антрополог и автор книги "Жизнь отца", "отцы - это не просто помощники матерей, случайные няньки или носильщики сумок. Они - следствие полумиллиона лет эволюции, и они остаются жизненно важной частью человеческой истории".⁶ Мачин отмечает, что хотя отцы и матери могут делать много одинаковых вещей, отцы настроены на два разных вклада, "защиту и обучение". Конечно, их выражение зависит от социального контекста. "Защищать" своего ребенка означает совсем другое в Нью-Йорке XXI века, чем в саванне полмиллиона лет назад.

Отцы влияют на благополучие своих детей не только так, как матери, но и в равной степени.⁷ Вовлеченное отцовство было связано с целым рядом результатов, от психического здоровья, окончания средней школы, социальных навыков и грамотности до снижения риска подростковой беременности, преступности и употребления наркотиков.⁸ Трехлетние дети, чьи отцы принимают участие в жизни ребенка и оказывают ему поддержку, показывают более высокие результаты в тестах на когнитивное развитие.Исследование, проведенное в штате Джорджия, показало, что уровень младенческой смертности был в два раза выше среди детей, чьи отцы не были вписаны в свидетельство о рождении (показатель отцовского участия), после учета различий в состоянии здоровья и социально-экономическом положении.¹⁰ Здесь трудно установить прямые причинно-следственные связи: вряд ли мы можем убрать или добавить отцов в жизнь детей наугад, во имя социальной науки. Но, как пишут гарвардские ученые Марк Грау-Грау и Ханна Райли Боулз, "важность активного отцовства сейчас не вызывает сомнений, чего не было в предыдущие десятилетия"¹¹.

В обзоре исследований отношений и результатов отцовства, проведенном в 2016 году ученым в области образования Уильямом Джейнесом, делается вывод, что "роль отцов в воспитании детей уникальна и может быть в некотором роде отлична от роли матерей в воспитании детей".¹² Для большинства из нас это не является новостью. Согласно опросу Pew Research Center, большинство людей (64 %) считают, что мужчины и женщины по-разному подходят к воспитанию детей, и почти все (89 %) думают, что это хорошо или нейтрально.¹³ Мне вспоминается классическое этнографическое исследование Полин Хант о работе по дому в английской деревне в 1970-х годах, где она обнаружила, что все без исключения мужчины мыли окна снаружи, а женщины - внутри.¹⁴ Существовало резкое, но равное разделение труда и, возможно, определенная специализация в выполнении задач. Но в конечном итоге важно было, чтобы окна были чистыми.


... ОСОБЕННО ДЛЯ ПОДРОСТКОВ


Многие из нас считают подростковый возраст периодом, который нужно пережить, как подросткам, так и родителям. Однако сейчас все больше людей признают, что подростковый возраст на самом деле является жизненно важным периодом развития. Как отмечается в докладе Национальной академии наук, инженерии и медицины за 2019 год, "адаптивная пластичность подросткового возраста обозначает его как окно возможностей для изменений, благодаря которым возможны механизмы устойчивости, восстановления и развития"¹⁵.

В этот период отцы играют особенно важную роль. В отличие от ранних лет, когда воспитание и привязанность играют ключевую роль, подростковый возраст - это время, когда дети находят свои собственные ноги, проверяют границы и начинают идти своим путем. Роб Палковиц, профессор кафедры человеческого развития и семейных исследований в Университете Делавэра, считает, что отцы "играют особенно важную роль в стимулировании открытости детей миру... поощряя их рисковать и отстаивать свои интересы"¹⁶.

Например, отцы, которые занимаются со своими подростками, помогают уменьшить вредные формы рискованного поведения. Уровень преступности ниже среди детей-подростков, чьи отцы принимают участие в жизни общества.¹⁷ Похоже, что эти эффекты сохраняются и в дальнейшем. Шестнадцатилетние девочки, которые близки со своими отцами, имеют лучшее психическое здоровье в возрасте 33 лет.¹⁸ Участие отцов предсказывает более высокие результаты в учебе в подростковом возрасте.¹⁹ Обучающая роль отцов действительно, кажется, сильно проявляется в эти годы. Мачин пишет, что "многие отцы на Западе по-настоящему вступают в свою роль в позднем детстве и подростковом возрасте, особенно когда приходит время учить своих детей". Это та самая важная роль в подготовке детей к выходу в большой мир"²⁰.

В целом, как пишет социолог Кевин Шафер в своей книге "Так близко, но так далеко: Fathering in Canada and United States, существуют "существенные преимущества, связанные с участием отца в жизни ребенка с момента рождения до подросткового возраста"²¹. Важным вопросом здесь, конечно, является то, насколько вклад отцов отличается от вклада матерей или вообще вторых родителей любого пола. Социолог Дэвид Эггебин решил этот вопрос с помощью Национального лонгитюдного исследования здоровья подростков и взрослых - репрезентативного опроса 20 000 молодых людей в США. Он изучил, как участие отцов и матерей влияет на психическое здоровье, преступность и гражданскую активность их детей-подростков. Четверть родительских вкладов не оказали никакого влияния. Остальные родительские вклады были аддитивными, избыточными или уникальными. К аддитивным вкладам относятся те, в которых вклад каждого родителя был положительным и идентичным: 42 % попали в эту категорию. Избыточный вклад, когда вклад второго родителя не приносил дополнительной пользы, составил 12 %. Оставшиеся 22 % были уникальными, с положительным вкладом только отца или матери. В частности, Эггебин пришел к выводу, что "отцы вносят уникальный вклад в благосостояние своих детей благодаря своему человеческому капиталу, а матери - благодаря своей доступности и близости к детям"²² Папы учат, мамы помогают. Результаты, полученные Эггебином, убедительны. Он показывает, что вклад родителей в благополучие подростков во многом совпадает и что два родителя зачастую лучше, чем один. Но он также показывает, что и матери, и отцы привносят в родительское дело нечто уникальное.

Важно отметить, что во всех этих исследованиях измеряется именно качество отношений между родителями и детьми: время, вовлеченность, участие, близость и так далее. С этой точки зрения нет особого смысла делить отцов на "присутствующих" и "отсутствующих", как будто их роль может быть отражена простым учетом посещаемости. Главное - это отношения между родителем и ребенком.²³ Вся идея "отсутствующего" отца становится еще более сложной, если, как предлагают исследователи мужественности Уильям Марсильо и Джозеф Х. Плек, "расширить понятие от физического до психологического отсутствия."²⁴ Одно из исследований показало, что подростки, близкие к своим отцам-нерезидентам, показывают лучшие результаты, чем те, у кого отцы-резиденты, с которыми они не близки, что подтверждается более высокой самооценкой, уровнем правонарушений и психическим здоровьем.²⁵ Для хорошего отцовства нет требования к месту жительства. Главное - это отношения.


ОТЦЫ


Отцы важны для детей независимо от того, состоят ли они в отношениях с матерью или нет. Поэтому задача состоит в том, чтобы повысить роль отцов как непосредственных поставщиков заботы о своих детях, независимо от того, состоят ли они в браке с матерью или даже живут с ней. Здесь есть своя роль и для политики, и я перейду к этому вопросу чуть позже. Но очевидно, что требуется большой культурный сдвиг, причем как со стороны мужчин, так и со стороны женщин.

Кэтрин Эдин и Тим Нельсон в течение 7 лет провели интервью со 110 отцами, в основном неженатыми, в районах с низким уровнем доходов в Филадельфии и Камдене, штат Нью-Джерси. В своей книге 2013 года "Делаю все, что могу: Fatherhood in the Inner City" они показывают, что большинство отцов хотят участвовать в жизни своих детей, но им мешают их собственные проблемы - бедность, психические заболевания, преступность, - а также юридические и алиментные системы, которые стремятся в первую очередь получить деньги, и матери, которые выступают в роли "привратника" для своих детей.²⁶ Во многих отношениях чернокожие отцы лидируют здесь. В настоящее время они чаще классифицируются как отцы, не проживающие с детьми (44 % по сравнению с 21 % белых отцов).²⁷ Но они также чаще, чем белые отцы, участвуют в жизни своих детей различными способами, включая помощь с домашними заданиями, посещение мероприятий и проверку того, как прошел день.²⁸ Согласно выводам одного из исследований, "чернокожие отцы-нерезиденты... чаще разделяют обязанности и демонстрируют более эффективное совместное воспитание, чем испаноязычные и белые [отцы-нерезиденты]"²⁹.

Как я показал в главе 3, существует огромное несоответствие между устаревшими ментальными моделями отцовства, основанными на традиционных семейных ролях, и реальностью современных обществ и экономик. В мире экономической независимости женщин отцовство имеет такое же значение, как и раньше, но обязательно в новой форме. Хорошая новость заключается в том, что отцы потенциально могут играть еще более полноценную роль и иметь гораздо более близкие отношения со своими детьми. Плохая новость заключается в том, что в большей части нашего общества мужчины еще очень далеки от того, чтобы занять эту роль в качестве новых отцов.

Политическая программа, направленная на поддержку новой прямой модели отцовства, будет включать три ключевых элемента. Во-первых, равные и независимые права на оплачиваемый отпуск. Во-вторых, реформированная система поддержки детей. В-третьих, создание благоприятных для отцов возможностей трудоустройства. Я описываю каждый из них по очереди.


ОПЛАЧИВАЕМЫЙ ОТПУСК ДЛЯ ОТЦОВ


Отцы и матери должны иметь законное право на шестимесячный оплачиваемый отпуск по уходу за каждым ребенком. В идеале такой отпуск должен обеспечивать 100-процентную замену заработной платы до уровня медианного заработка, оплачиваемую за счет повышенных взносов в систему социального страхования со стороны работодателей и работников. Я всю свою карьеру выступаю за равные отпуска для матерей и отцов, но конкретное предложение, представленное здесь, полностью совпадает с предложением ученых Джанет Горник и Марсии Мейерс в их эссе 2009 года "Институты, поддерживающие гендерное равенство в родительстве и трудоустройстве". Горник и Мейерс поставили перед собой цель создать набор институтов, которые позволят родителям уделять реальное время заботе о детях и в то же время будут способствовать гендерному равенству. Их целью было создание общества "с двойным заработком и двойным уходом", включающего "симметричный вклад матерей и отцов в домашнее хозяйство".³⁰ Я разделяю эти стремления.

Это покажется радикальным предложением по трем причинам. Во-первых, 6 месяцев могут показаться долгим периодом оплачиваемого отпуска по уходу за ребенком, эквивалентным тому, что предоставляется лишь в нескольких европейских странах. Во-вторых, замена заработной платы на уровне или близком к 100 % является необычайно щедрой. В-третьих, предоставление 6 месяцев отпуска по принципу "используй или потеряешь" специально для отцов (т. е. без возможности передачи от одного родителя к другому) выходит за рамки того, что до сих пор предлагалось в любой стране. Я кратко охарактеризую каждую из этих особенностей.

Шестимесячный отпуск необходим для того, чтобы родители могли проводить полноценное время с детьми, не теряя при этом связи с рынком труда. Учитывая, что пары с двойным заработком сейчас являются нормой, я искренне считаю, что 6 месяцев - это скромное предложение. Наш рынок труда претерпел фундаментальные изменения в связи с резким выходом женщин на рынок труда, но наша система социального обеспечения движется вперед, как будто ничего не произошло. Как пишет экономист Хизер Боуши, "мир труда и потребности семей всегда находятся в конфликте, и так было на протяжении десятилетий"³¹.

Щедрая компенсация заработной платы также необходима для того, чтобы оба родителя могли действительно взять отпуск. Самая распространенная причина, по которой родители не берут оплачиваемый отпуск, заключается в том, что они не могут позволить себе снижение дохода.³² Родители с наименьшими экономическими ресурсами испытывают наибольшее финансовое давление, вынужденные возвращаться на работу в то время, когда они зачастую хотели бы ухаживать за своим ребенком. Есть некоторые обнадеживающие шаги на уровне штатов: Например, новый двенадцатинедельный оплачиваемый отпуск в Орегоне предусматривает 100-процентную замену заработной платы для работников, зарабатывающих до двух третей от среднего по штату.³³ Стоит также отметить, что пятнадцать стран ОЭСР в настоящее время предлагают 90-процентную замену или выше для отпуска только для отца, хотя и на гораздо более короткие сроки, чем 6 месяцев, которые я предлагаю здесь.³⁴

Наконец, предоставление отцам непередаваемого отпуска по уходу за ребенком будет поощрять мужчин и позволит им стать равноправными партнерами на домашнем фронте. Чтобы поддержать более прямую модель отцовства, мы должны рассматривать отпуск по уходу за ребенком как индивидуальное, а не семейное пособие. Факты свидетельствуют о том, что предоставление отпуска только отцу по принципу "используй его или потеряешь" значительно повышает уровень его использования среди отцов.³⁵ Но важно честно признать, что здесь есть компромисс. Предоставление полного отпуска только в том случае, если оба родителя его возьмут, подразумевает то, что норвежский социолог Арнлауг Лейра называет "мягким структурным принуждением".³⁶ Альтернативным предложением было бы предоставление 12 месяцев оплачиваемого отпуска и разрешение родителям делить его между собой по своему усмотрению. Компромиссным вариантом было бы предоставление отцам более короткого периода оплачиваемого отпуска , чем матерям, - именно такой подход принят в таких странах, как Норвегия, а также Квебек в Канаде. За свою карьеру я уже дважды менял свое мнение по этому вопросу, поэтому я прекрасно знаю аргументы обеих сторон. Одно из конкретных опасений заключается в том, что семьи, в которых отцы практически не общаются со своими детьми, смогут получить только 6 месяцев отпуска, а это в основном семьи с низким уровнем дохода.

Но сейчас я считаю, что если мы всерьез хотим повысить роль отцов, то равные отпуска просто необходимы. Политики должны дать понять, что отцовская забота имеет такое же значение, как и материнская. Любые меры, не обеспечивающие полного равенства, отменяют этот сигнал. Я также считаю, что до тех пор, пока отцы не начнут больше времени проводить вне рынка труда, прогресс в устранении гендерного разрыва в оплате труда будет идти ужасающе медленно.³⁷ Невозможно обойти это: если мы хотим равенства на работе, нам нужно равенство дома.

Но это равенство не обязательно измерять каждый день или даже каждый год. Когда у вас есть маленькие дети, люди говорят: "Не успеешь оглянуться, как они уже вырастут". Не в обиду моим сыновьям, которых я очень люблю, но мне казалось, что это не так. Иногда мне казалось, что время вообще остановилось. Воспитание - это очень долгий путь. В среднем у пары рождается двое детей с разницей в 2-3 года. То есть на то, чтобы довести их от рождения до совершеннолетия, уходит около двух десятилетий. Поэтому я бы внесла одно изменение в план Горника и Майерса - сделать оплачиваемый отпуск доступным для родителей до 18-летия их ребенка, а не до 8 лет, как они предлагают. Отчасти это связано с уже приведенными мною данными о важности подросткового возраста как важнейшего этапа развития, периода, который слишком часто не учитывается в государственной политике. При обсуждении оплачиваемого отпуска или гибкого графика работы слишком часто исходят из того, что основная работа по воспитанию детей заканчивается к тому времени, когда они начинают ходить в школу.

Я согласен с Горником и Мейерсом в том, что цель - "симметричный вклад матерей и отцов в домашнее хозяйство". Но важно, чтобы этой симметрии можно было достичь за пару десятилетий, а не за пару лет - асинхронная симметрия, если хотите. Джулс Пири, соучредитель и бывший генеральный директор компании The Grommet, описывает семейную жизнь как "балет", и они с мужем "чередуют, кто из них играет ведущую роль"³⁸ Именно так поступали и мы с женой (хотя, скажу я вам, это редко было похоже на балет). Даже при равном доступе к оплачиваемому отпуску матери, скорее всего, предпочтут взять на себя больше забот в первые годы жизни ребенка. Даже после огромного роста занятости женщин за последние десятилетия большинство матерей с детьми в возрасте до трех лет либо не работают на рынке труда, либо работают неполный рабочий день.⁹ В основном это происходит по собственному желанию: более половины матерей, работающих неполный рабочий день (54 %), говорят, что это их предпочтение на данном этапе жизни, а 14 % говорят, что предпочли бы вообще не заниматься оплачиваемой работой.⁴⁰ (остальные 33 % предпочли бы работать полный рабочийдень).

По моим наблюдениям, мамы редко раздражаются на пап за то, что они выполняют меньше половины обязанностей по воспитанию, когда их дети совсем маленькие, при условии, что он так же усердно работает в других направлениях. По-настоящему они раздражаются, когда спустя много лет он все еще делает меньше, чем положено. Если мама лучше кормит грудью 3-месячного ребенка, это не значит, что она лучше справится с визитом к стоматологу для 13-летнего подростка. Феминистская писательница Мэри Дейли вежливо называет это "гендерной политикой семейного времени"⁴¹. Я приводила доказательства того, что отцы могут обладать уникальными способностями в воспитании подростков, и могу представить себе развитие социальной нормы, при которой матери и отцы вносят равный вклад в заботу о своих детях, просто не одновременно. Малыши для мам, подростки для пап?


АЛИМЕНТЫ - ДЕНЕЖНЫЕ, ОПЕКУНСКИЕ, ПОПЕЧИТЕЛЬСКИЕ


"Практически все юридические и институциональные механизмы, регулирующие жизнь этих отцов, говорят им, что они - это зарплата и не более того", - пишут Кэтрин Эдин и Тимоти Нельсон в книге Doing the Best I Can. "На каждом шагу неженатый мужчина, стремящийся стать отцом, а не просто папой, получает отпор от системы, которая одной рукой отталкивает его в сторону, а другой тянется к карману."⁴²

Законы, регулирующие семейную жизнь, просто не успевают за обществом. Когда родители состоят в браке, их права и обязанности по отношению к детям четко определены. Если они разводятся, существует юридический аппарат, определяющий порядок опеки над детьми, права на посещение и финансовые обязательства. Конечно, между разводящимися парами часто возникают конфликты, но, по крайней мере, у каждого из них есть правовое положение в отношении своих детей. А в последние десятилетия семейное законодательство изменилось в сторону более эгалитарного подхода к разводам. Суды теперь обязаны справедливо относиться к матерям и отцам при определении опеки, а обычным правовым стандартом теперь является наилучшее обеспечение интересов ребенка или детей. В результате произошел резкий сдвиг в сторону совместной опеки. Изучая судебные дела в Висконсине, Мария Кансиан и другие исследователи показывают, что доля матерей, получивших единоличную физическую опеку, снизилась с 80 % в 1986 году до 42 % в 2008 году. Доля равных условий опеки, когда дети проводят одинаковое количество времени с каждым из родителей, выросла с 5 до 27 %. Как пишут Кансиан и ее соавторы, "тенденция отказа от единоличной опеки со стороны матери и перехода к совместной опеке драматична".⁴³ В масштабах страны отцы теперь получают около трети времени, проводимого с детьми после развода.⁴⁴ Эти тенденции чрезвычайно позитивны. По умолчанию по закону опека должна быть совместной, и дети, по возможности, должны проводить равное время с каждым из родителей.

Проблема в том, что аналогичных законов для незамужних родителей не существует. Во всех американских штатах незамужняя мать считается единственным родителем-опекуном. Отцы, не состоящие в браке, должны сначала доказать отцовство (в супружеских парах это предполагается), а затем подать прошение о посещении и опеке. Для многих отцов это может оказаться сложным процессом. В то же время мать может принять решение о запрете на посещение ребенка. Однако независимо от прав на посещение, неженатые отцы, как правило, обязаны выплачивать алименты на ребенка, часто в таких размерах, которые особенно трудно выплатить малоимущим отцам.⁴⁵

Разводящиеся пары обычно решают свои вопросы в рамках одного процесса. Но для родителей, не состоящих в браке, вопрос о выплате алиментов решается совершенно отдельно от вопросов опеки и прав на посещение ребенка. Женатые отцы воспринимаются как трехмерные существа. Незамужние отцы воспринимаются как ходячие банкоматы. В 2020 году на выплату алиментов было собрано 38 миллиардов долларов, а задолженность составила примерно 115 миллиардов долларов.⁴⁶ Часть денег, собранных с отцов, даже не идет на обеспечение их детей. Они уходят правительству, чтобы компенсировать расходы на социальное обеспечение, в частности на временную помощь нуждающимся семьям, что подрывает поддержку всей системы. В трех штатах - Колорадо, Миннесоте и Вермонте - все алименты теперь идут семье, а не государству. Пора и другим штатам последовать этому примеру.⁴⁷ Как сказал Тимоти Нельсону один из борющихся отцов: "Что бы я ни производил, я сдаюсь. Я стараюсь быть лучшим отцом, на которого способен, позволить себе все самое лучшее, что могу, даже жертвуя собой. [Я молюсь и надеюсь, что все изменится, но я устал быть на дне так долго, что уже не видишь вершины".

Выплаты алиментов должны устанавливаться с учетом платежеспособности отца, а также с учетом его неденежного вклада, включая непосредственный уход за детьми. В штате Орегон, например, существует "кредит родительского времени", который уменьшает размер алиментов, выплачиваемых родителем, не являющимся опекуном, если он проводит больше времени, ухаживая за детьми.⁴⁹ В долгосрочной перспективе необходимо интегрировать решение о выплате алиментов неженатым родителям в юридический процесс определения порядка опеки и посещения. "Если мы действительно верим в гендерное равенство, - пишут Эдин и Нельсон, - мы должны найти способ уважать попытки отцов построить отношения со своими детьми так же, как и матерей, - наделить отцов правами наряду с их обязанностями".⁵⁰


РАБОЧИЕ МЕСТА С УЧЕТОМ ИНТЕРЕСОВ ОТЦА


В своей книге 1973 года "Симметричная семья" социологи Питер Уиллмотт и Майкл Янг (известные тем, что изобрели термин "меритократия") написали: "К следующему столетию - а пионеры 1970 года уже находятся в начале колонны - общество перейдет от (а) одной ответственной работы для жены и одной для мужа, через (б) две ответственные работы для жены и одну для мужа, к (в) двум ответственным работам для жены и двум для мужа. Симметрия будет полной"⁵¹.

Ну, вроде того. Я думаю, многие женщины могли бы утверждать, что за пару десятилетий XXI века мы застряли на этапе (б). Отчасти это объясняется тем, что институты рынка труда не адаптировались к миру без жен - то есть жен, сидящих дома. Стоит отметить, что в симметричной утопии Янга и Уиллмотта стандартная рабочая неделя сократится всего до 3 дней, оставив 4 дня для семьи и отдыха. Вы, вероятно, заметили, что этого не произошло. В США средняя продолжительность рабочего дня за последние полвека практически не сократилась.⁵² В двух третях семей оба родителя заняты на оплачиваемой работе.⁵³

Хотим мы того или нет, но семья теперь является институтом рынка труда, а рынок труда - институтом семьи. Но пока что изменилась только семья. Мужчины, дети и женщины - все они подстраивают свою жизнь и расписание под во многом неизменные требования рынка к работе, к "стандартному" рабочему дню и типичному карьерному росту. Я поддерживаю усилия по расширению доступа к детским учреждениям, организации клубов после школы и т. д.⁵⁴ Но меня беспокоит, что целью государственной политики часто становится создание семей, удобных для работы, а не семей, удобных для работы. "Мы достигли беспрецедентной эры экономического равенства между мужчинами и женщинами, - пишет Клаудия Голдин, - но... наши структуры работы и ухода являются пережитками прошлого, когда только мужчины делали карьеру и создавали семьи"⁵⁵.

Матери сейчас наиболее болезненно переживают эту ловушку. Но не стоит полагать, что отцы смирились с таким компромиссом. Вдвое больше отцов, чем матерей, говорят, что проводят слишком мало времени со своими детьми (46 % против 23 %).⁵⁶ Мои предложения об оплачиваемом отпуске - шаг к снижению этой напряженности. Но и работа должна измениться. Больше возможностей работать гибко, неполный рабочий день или из дома могут, по крайней мере, смягчить компромисс между заработком и заботой. Повсеместный переход на удаленную работу во время пандемии представляет собой беспрецедентную возможность модернизировать работу; пока неясно, будет ли она использована. Я надеюсь на это, не в последнюю очередь ради отцов: две трети отцов говорят, что пандемия сблизила их с детьми.⁵⁷ Удивительно, но, согласно одному исследованию, возможности гибкого графика работы, похоже, принесли больше пользы мужчинам, чем женщинам во время пандемии.⁵⁸

Помимо большей гибкости в повседневном характере работы, необходимо модернизировать карьерные лестницы. Для многих родителей сокращение оплачиваемой работы означает не только временный спад в доходах, но и может нанести постоянный ущерб карьерным перспективам. Эта проблема усугубляется тем, что Голдин называет "жадной работой", которая предлагает большое финансовое вознаграждение за долгие и непредсказуемые часы. Хорошими примерами являются юриспруденция, финансы и управленческий консалтинг.⁵⁹ Если вы хотите продвинуться по карьерной лестнице, вы не можете брать тайм-аут. В таких обстоятельствах одному из родителей имеет смысл оставаться на работе и максимизировать доход, в то время как другой отходит на второй план, чтобы больше заниматься домом. Обычно это папа и мама соответственно. Карьерная структура этих профессий не просто стимулирует резкое разделение труда между родителями, она практически навязывает его. Поэтому неудивительно, что именно в этих профессиях наблюдается наибольший гендерный разрыв в оплате труда. Женщины, работающие в сфере юриспруденции и финансов, зарабатывают всего 77 центов на доллар мужского финансового труда. Через пятнадцать лет после окончания Мичиганского университета с дипломом юриста четверо из пяти мужчин работают не менее 45 часов в неделю, в то время как женщин - лишь половина. Почти каждая четвертая женщина работает неполный рабочий день, в то время как среди мужчин таких всего 2 %.⁶⁰

Но это не обязательно так. Есть профессии, не связанные с жадностью, которые по-прежнему высоко оплачиваются, в том числе инженерия, технологии и фармацевтика. Не случайно в этих профессиях разрыв в оплате труда между мужчинами и женщинами гораздо меньше. Учитывая количество отработанных часов, женщины-фармацевты зарабатывают 94 цента на доллар США.⁶¹ Так что же фармацевтика сделала правильного, а право и финансы продолжают делать неправильное? Главным изменением стало облегчение замены одного фармацевта другим. Многим ли из нас не все равно, увидим ли мы того же фармацевта, когда придем за рецептом? Скорее всего, мы по-другому относимся к адвокату или финансовому консультанту. Но важно помнить, что раньше аптеки тоже были такими, и разрыв в оплате труда между мужчинами и женщинами был соответствующим. Сочетание консолидации компаний и технологических достижений позволило передавать информацию от одного фармацевта к другому, когда они меняются сменами. Это означает, что почти не существует почасовой оплаты за неполный рабочий день в аптеке. Заработок растет с увеличением часов практически линейно. Именно поэтому Голдин называет фармацевтику "самой эгалитарной профессией"⁶².

Могут ли юриспруденция, финансы и консалтинг пойти по пути фармацевтики? Технологии помогают в этом, поскольку значительно снижают затраты на передачу информации между сотрудниками, работающими с клиентами. Некоторые финансовые, консалтинговые и юридические компании сделали несколько скромных шагов в правильном направлении, например сократили количество часов работы в выходные дни, настояли на том, чтобы сотрудники использовали свой отпуск, и разрешили больше вариантов неполного рабочего дня, например 4-дневную неделю.⁶³ В 2016 году компания Amazon объявила о создании команд, в которых все члены, включая руководителей, могли бы работать 30 часов в неделю за 75 % от своей текущей зарплаты.⁶⁴ Возможность работать неполный рабочий день при той же зарплате очень важна, но при этом необходимо следить за тем, чтобы не терялись возможности для развития и продвижения. Где-то между "жадной работой" и "мамочкиным треком" существует способ работы - назовем его "трек нормальных людей", - который позволяет гибко подходить к семейным обязанностям на разных этапах карьерного пути, не упуская при этом серьезных возможностей в будущем.

Но я думаю, что мы должны быть реалистами в том, что потребуется для того, чтобы добиться перемен в этих враждебных семье профессиях, а именно, чтобы талантливые работники проголосовали своими ногами. Крупные работодатели отмечают, что, особенно среди молодых работников, ожидания лучшего баланса между работой и личной жизнью стремительно растут и во многих опросах занимают второе место после зарплаты.⁶⁵ Убыль женских талантов с конвейера заставила принять некоторые меры по исправлению ситуации. Но до тех пор, пока мужчины будут готовы работать в течение долгих и зачастую непредсказуемых часов, перспективы структурной реформы остаются туманными. Сейчас много говорят о необходимости "изменения культуры" на рабочем месте. Это, безусловно, важно. Большинство американских мужчин утверждают, что на их рабочем месте существует "негласное правило", согласно которому отцы не должны использовать все свои права на отпуск по уходу за ребенком.⁶⁶

Но жадные до денег профессии нуждаются не только в новой этике. Они нуждаются в реинжиниринге. Я назвал эти изменения содействием "дружественной к отцам" занятости. Конечно, точнее было бы назвать их "дружественными к родителям". В краткосрочной перспективе они могут оказаться наиболее полезными для матерей. Но я выбрал этот термин намеренно. Работа, требующая от мужчины много часов, чтобы заработать хорошие деньги, не является дружественной отцу, по крайней мере, в том смысле, в котором, по моему мнению, сейчас следует определять отцовство. Даже если она позволяет мужчине выполнять роль добытчика, это происходит за счет его родительской роли. Как предупреждает Энн-Мари Слотер, глава Фонда "Новая Америка", прогресс будет медленным, если мы продолжим определять "проблему заботы" как "проблему женщин"⁶⁷.

Для тех из нас, кому выпало счастье быть отцами, отцовство - это основной компонент нашей идентичности. Я утверждаю, что теперь оно должно стать более значимой социальной ролью, отличной от материнства, но равной ему. Просоциальная мужественность больше не означает, что нужно жениться или быть главным кормильцем. Но она требует полного вхождения в роль отца.


ЭПИЛОГ


Когда вы говорите кому-то, что пишете книгу, он обычно спрашивает, о чем она. Иногда вы можете увидеть, как они сожалеют о своем вопросе, пока вы описываете проект. (К сожалению, со мной такое случалось довольно часто, когда я с большим энтузиазмом рассказывал о своей биографии философа XIX века Джона Стюарта Милля). Но с этой книгой такого не произошло. Даже ни разу. Часто я едва успевал описать общую аргументацию, прежде чем мой собеседник начинал делиться собственным опытом, мнениями и тревогами. Я обнаружил, что многие люди действительно беспокоятся о мальчиках и мужчинах, в том числе и в своей собственной жизни. Жены обеспокоены тем, что их мужья не смогут найти достойную работу. Матери сыновей-подростков создают неформальные группы поддержки, чтобы помочь друг другу пережить трудное время обучения в старших классах. Молодые женщины разочарованы тем, что на рынке знакомств встречаются беспорядочные мужчины.

Меня особенно удивило, что даже самые ярые феминистки, с которыми я общался, казалось, были гораздо больше озабочены своими сыновьями, чем дочерьми. Мне стало интересно, является ли это общей закономерностью. В 2020 году мне удалось добавить несколько вопросов в ежегодный опрос American Family Survey, охватывающий 3000 человек, чтобы выяснить это. Так и есть. Родители в целом больше беспокоятся о том, что их сыновья "вырастут успешными взрослыми", чем о своих дочерях.¹ Но именно либеральные родители больше всего беспокоятся о своих сыновьях. Существует глубокий колодец частного беспокойства о мальчиках и мужчинах, который еще не нашел продуктивного публичного выхода, и одной из моих целей в этой книге была попытка преодолеть разрыв между частным и публичным. Мы вправе беспокоиться о мальчиках и мужчинах, потому что они сталкиваются с реальными проблемами как учащиеся, как работники и как отцы. Как родители хотят, чтобы все их дети процветали, так и мы хотим, чтобы процветали все наши сограждане.

Чтобы сделать больше для мальчиков и мужчин, не нужно отказываться от идеала гендерного равенства. На самом деле, это естественное его продолжение. Проблема феминизма как освободительного движения заключается не в том, что он "зашел слишком далеко". А в том, что он зашел недостаточно далеко. Жизнь женщин была переделана. А жизнь мужчин - нет. Нам нужно, как я уже говорил во введении, позитивное видение мужественности для постфеминистского мира. Мы также должны быть достаточно взрослой культурой, чтобы признать, что большие изменения, даже позитивные, имеют последствия. Справиться с ними не только можно, но и нужно; такова природа прогресса. В данном случае это означает реформирование системы образования, которая больше не работает на благо мальчиков, и помощь мужчинам в адаптации к реальной неурядице, вызванной утратой традиционных мужских ролей. Мы должны решать гендерные проблемы и устранять неравенство в обоих направлениях.

Сейчас на этом фронте явно не хватает ответственного руководства. Политика стала похожа на окопную войну, обе стороны боятся даже малейшей потери позиций. Пока мамы и папы беспокоятся о своих детях, наши лидеры застряли на своих партийных позициях. Прогрессисты видят в любом шаге по оказанию большей помощи мальчикам и мужчинам отвлечение от борьбы за девочек и женщин . Консерваторы считают, что любые шаги по оказанию помощи девочкам и женщинам продиктованы желанием принизить мужчин. Я надеюсь, что вдали от жары и шума племенной политики мы сможем прийти к общему признанию того, что многие из наших мальчиков и мужчин попали в реальную беду, причем не по своей вине, и нуждаются в помощи.


ПРИМЕЧАНИЯ


ПРЕДИСЛОВИЕ


1. Бюро статистики труда США, Основные сведения о заработках женщин в 2020 году, отчеты BLS, сентябрь 2021 года. Коэффициент заработка основан на медианном обычном недельном заработке штатных работников в возрасте 16 лет и старше в 2020 году.

2. Национальный центр статистики образования, Министерство образования США, "Степени, присваиваемые высшими учебными заведениями, с разбивкой по уровню степени и полу студента: Selected Years, 1869-70 to 2029-30," (июль 2020 г.).

3. Национальный центр статистики образования, Министерство образования США, "Степени, присвоенные высшими учебными заведениями, по уровню степени и полу студента: Selected Years, 1869-70 to 2029-30," (июль 2020 г.).

4. Sarah A. Donovan and David H. Bradley, Real Wage Trends, 1979 to 2019 (Congressional Research Service, 2020).

5. Линдси М. Монте, ""Отцы-одиночки" и "отсутствующие" отцы не такие разные, как кажется", Бюро переписи населения США, 5 ноября 2019 г.

6. Объединенный экономический комитет, долгосрочные тенденции смертности от отчаяния, отчет проекта "Социальный капитал" 4-19 (сентябрь 2019 г.). См. приложения к данным.

7. Бюро статистики труда США, "Заработок в зависимости от уровня образования и пола, 1979 и 2002 годы", Economics Daily, 23 октября 2003 года. Скорректировано на доллары 2020 года с использованием ИПЦ-U-RS; Министерство труда США, Женское бюро, "Медианный недельный заработок с учетом уровня образования и пола (годовой)". Обратите внимание, что заработки указаны среди работников с полной занятостью в возрасте 25 лет и старше, которые закончили среднюю школу, но не учились в колледже.

8. "Мужчины в дрейфе: Плохо образованные мужчины в богатых странах плохо адаптировались к торговле, технологиям или феминизму", The Economist, 28 мая 2015 года.

9. Камилла Бусетт, "Новая сделка для бедных афроамериканских и коренных американских мальчиков", Институт Брукингса, 14 марта 2018 года. Обратите внимание, что она включает мальчиков и мужчин из числа коренных американцев, в то время как я сосредоточился на чернокожих мальчиках и мужчинах.

10. Шерри Н. Монг и В. Дж. Роскиньо, "Афроамериканские мужчины и опыт дискриминации при трудоустройстве", Качественная социология (2010).

11. Сьюзан Фалуди, Stiffed: The Betrayal of the American Man (New York: HarperCollins, 1999), p. 40.

12. Тимоти Дж. Бартик, Бард Дж. Хершбейн и Марта Лаховска, "Достоинства всеобщих стипендий: Benefit-Cost Evidence from the Kalamazoo Promise," Journal of Benefit-Cost Analysis (2016), p. 406; Timothy J. Bartik, Bard J. Hershbein and Marta Lachowska, "The Effects of the Kalamazoo Promise Scholarship on College Enrollment, Persistence, and Completion," Upjohn Institute Working Paper 15-229 (December 2017), p. 51.

13. По данным опроса Гэллапа, проведенного в 2020 году. Джеффри М. Джонс, "Идентификация ЛГБТ поднимается до 5,6 % по последним оценкам в США", Gallup, 24 февраля 2021 года.

14. Симона де Бовуар, Второй пол [1949], перевод. H. M. Parshley (New York: Alfred A. Knopf, 1953), p. 3.

15. Спасибо Джозефу Хенриху за то, что помог мне придумать эту формулировку во время беседы в моем подкасте "Диалоги" в июне 2021 года.


1. ПРАВИЛА ДЕВУШЕК


1. Кэрол Фрэнсис, "Статус женщин в американском высшем образовании", Социология и антропология (сентябрь 2018), стр. 696 и 698.

2. "Слабый пол", The Economist, 7 мая 2015 г.

3. Ханна Розин, Конец мужчин: And the Rise of Women (New York: Penguin, 2012), p. 149.

4. Национальный центр статистики образования, Digest of Education Statistics 1990, p. 232.

5. Национальный центр статистики образования, "Степени, присваиваемые высшими учебными заведениями, по уровню степени и полу студента: Selected Years, 1869-70 to 2029-30," Digest of Education Statistics, Table 318.10.

6. Исследовательский центр National Student Clearinghouse, "Current Enrollment Term Estimates: Осень 2021 года", 13 января 2022 года.

7. Стефани Ригг Челлини, "Как виртуальное обучение влияет на студентов в высшем образовании?", Институт Брукингса, 13 августа 2021 года.

8. Джон Ф. Хелливелл и другие, Всемирный доклад о счастье 2021 (Нью-Йорк: Сеть решений в области устойчивого развития, 2021).

9. ОЭСР, "Финляндия: Успеваемость студентов (PISA 2018)", Education GPS, 2018.

10. ОЭСР, "Готовы ли мальчики и девочки к цифровой эпохе?", PISA в фокусе 12 (январь 2012 г.).

11. "Мужчины в дрейфе: Плохо образованные мужчины в богатых странах плохо адаптировались к торговле, технологиям или феминизму", The Economist, 28 мая 2015 года.

12. Джулия Б. Айзекс, "Начиная школу в невыгодном положении: The School Readiness of Poor Children", Brookings Institution, March 2012, fig. 7, p. 9. Норвежское исследование также показало, что к пяти годам более половины девочек овладевают написанием слов, в то время как среди мальчиков этот же рубеж преодолевается в шесть лет. Рагнхильд Э. Брандлистуен и другие, "Гендерные различия в дошкольном возрасте: Исследование поведения, нейроразвития и доакадемических навыков", Скандинавский журнал общественного здравоохранения (июль 2021 г.).

13. Национальный центр статистики образования, "Процент учащихся, достигших или превысивших выбранные уровни достижений в чтении по результатам Национальной оценки прогресса в образовании (NAEP), по классам и отдельным характеристикам учащихся: Selected Years, 2005 to 2019," Digest of Education Statistics, Table 221.20.

14. Национальный центр статистики образования, "Средний балл по шкале математики Национальной оценки образовательного прогресса (NAEP) в разбивке по полу, расе/этнической принадлежности и классу: отдельные годы, с 1990 по 2017 год", таблица 222.10.

15. Шон Ф. Рирдон и другие, "Гендерные разрывы в успеваемости в школьных округах США", Американский журнал исследований в области образования (декабрь 2019 г.), стр. 26.

16. Nicole M. Fortin, Philip Oreopoulus, and Shelley Phipps, "Leaving Boys Behind: Gender Disparities in High Academic Achievement," Working Paper 19331 (Cambridge, MA: National Bureau of Economic Research, August 2013).

17. Национальный центр статистики образования, "Количество и процент выпускников государственных средних школ, проходящих в старших классах курсы двойного кредита, продвинутого курса (AP) и Международного бакалавриата (IB), и среднее количество полученных кредитов, с разбивкой по отдельным характеристикам учащихся и школ: 2000, 2005 и 2009 годы", 2009 High School Transcript Study (HSTS), U.S. Department of Education.

18. J. Q. Easton, Esperanza Johnson, and Lauren Sartain, The Predictive Power of Ninth-Grade GPA (Консорциум Чикагского университета по школьным исследованиям, сентябрь 2017 г.), p. 1.

19. Для SAT см. College Board, 2021 Suite of Assessments Annual Reports. Для ACT см. The ACT Profile Report-National (2020).

20. Организаторы редакционного конкурса New York Times, личное общение.

21. Ричард В. Ривз, Элиана Бакнер и Эмбер Смит, "Неофициальный гендерный разрыв в показателях окончания средней школы", Институт Брукингса, 12 января 2021 года.

22. Центр "Гражданин и каждый выпускник", 2019 г. Building a Grad Nation: Progress and Challenge in Raising High School Graduation Rates (Johns Hopkins University School of Education, 2019), p. 15.

23. Nicole M. Fortin, Philip Oreopoulus, and Shelley Phipps, "Leaving Boys Behind: Gender Disparities in High Academic Achievement", Journal of Human Resources (Summer 2015).

24. Министерство образования США, Национальный центр статистики образования, "Количество и процентное распределение учителей в государственных начальных и средних школах по уровню преподавания и отдельным характеристикам учителей и школ: 1999-2000, 2015-16 и 2017-18", Дайджест статистики образования, таблица 2019.22.

25. Бенджамин Заблотски и другие, "Распространенность и тенденции развития отклонений в развитии среди детей в Соединенных Штатах: 2009-2017", Педиатрия (октябрь 2019 г.).

26. Laurence Steinberg, Age of Opportunity: Lessons from the New Science of Adolescence (New York: Houghton Mifflin Harcourt, 2014), p. 77.

27. Robert M. Sapolsky, Behave: The Biology of Humans at Our Best and Worst (London: Penguin Publishing Group, 2017), p. 164.

28. Louann Brizendine, The Female Brain (New York: Harmony Books, 2017), p. 65. См. также Элизабет Варгас и Алан Б. Голдберг, "Правда о женском мозге", ABC News, 5 октября 2006 г.

29. Гёкчен Акюрек, "Исполнительные функции и неврология у детей и подростков", в книге "Оккупационная терапия: Therapeutic and Creative Use of Activity, ed. Meral Huri (London: IntechOpen, 2018), p. 38.

30. M. A. J. van Tetering и другие, "Половые различия в саморегуляции в раннем, среднем и позднем подростковом возрасте: A Large-Scale Cross-Sectional Study", PLoS ONE (январь 2020 г.). См. также Theodore D. Satterthwaite and others, "Sex Differences in the Effect of Puberty on Hippocampal Morphology", Journal of the American Academy of Child and Adolescent Psychiatry (март 2014).

31. Sol Lim and others, "Preferential Detachment during Human Brain Development: Age- and Sex-Specific Structural Connectivity in Diffusion Tensor Imaging (DTI) Data", Cerebral Cortex (June 2015).

32. Кристнелл Сторр, "Наука объясняет, почему женщины быстрее созревают, чем мужчины", Mic, 24 февраля 2015 г.

33. Лиз Гриффин, "Развивающийся мозг подростка", Ассоциация суперинтендантов школ, интервью с Фрэнсис Дженсон, заведующей кафедрой неврологии в Медицинской школе Перельмана при Пенсильванском университете, сентябрь 2017 года. См. также Frances Jenson, The Teenage Brain (New York: HarperCollins, 2015): "Для организации требуются мозговые связи и интеграция, а не просто интеллект и мощность синапсов. Огромную роль в этом играет миелинизация, и, как мы уже говорили, для ее полного завершения требуется большая часть первых трех десятилетий жизни". Наибольшие гендерные различия в этом процессе наблюдаются в подростковом возрасте", стр. 232-33.

34. "Поскольку подготовка к поступлению в колледж и подача документов должны осуществляться подростками, небольшие различия в развитии могут привести к большим различиям в результатах обучения в колледже", - пишут Клаудия Голдин, Лоуренс Ф. Кац и Иляна Куземко в книге "Возвращение американских женщин в колледж: The Reversal of the College Gender Gap", Working Paper 12139 (Cambridge, MA: National Bureau of Economic Research, March 2006), p. 3. В кросс-культурном обзоре развития личности Марлин де Болле и ее соавторы также обнаружили, что "девочки-подростки постоянно демонстрируют более высокие результаты, чем мальчики, по чертам личности, которые, как считается, способствуют академической успеваемости, по крайней мере, в условиях нынешнего школьного климата". Говоря иначе, нынешняя школьная среда может быть в целом более приспособлена к личностным качествам женского типа, что в целом облегчает девочкам получение более высоких оценок в школе". Марлин де Болле и другие, "Возникновение половых различий в чертах личности в раннем подростковом возрасте: A Cross-Sectional, Cross-Cultural Study", Journal of Personality and Social Psychology (январь 2015). См. также Тони Кокс, "Зрелость мозга продолжается и после подросткового возраста", NPR, 10 октября 2011 г.

35. Национальные академии наук, инженерных наук и медицины, The Promise of Adolescence: Realizing Opportunity for All Youth (Washington, DC: The National Academies Press, 2019), p. 40.

36. "По мере выравнивания игрового поля различия в развитии между мальчиками и девочками стали более значимыми для объяснения различий в уровне образования". Голдин, Кац и Кузиемко, "Возвращение американских женщин из колледжей", стр. 4.

37. Национальный центр статистики образования, "Степени, присваиваемые высшими учебными заведениями, по уровню степени и полу студента: Selected Years, 1869-70 to 2029-30," Digest of Education Statistics, Table 318.10. См. также National Center for Education Statistics, "Degrees in Business Conferred by Postsecondary Institutions, by Level of Degree and Sex of Student: Selected Years, 1955-56 to 2017-18," Table 325.25.

38. Национальный центр статистики образования, "Количество учебных заведений, присваивающих степени доктора стоматологии, медицины и права, и количество таких степеней, присвоенных с разбивкой по полу студентов: Selected Years, 1949-50 to 2018-19." См. также Обзор общей информации о высшем образовании (HEGIS), "Опросы "Степени и другие официальные награды, присвоенные" с 1965-66 по 1985-86 гг. и компонент IPEDS "Завершение обучения осенью 2019 г.", июль 2020 г.

39. National Center for Education Statistics, "Degrees Conferred by Degree-Granting Institutions, by Level of Degree and Sex of Student." Обратите внимание, что для 1970-1971-1978-1979 годов я использую издание таблицы 246 за 2005 год, а для 1979-1980 годов и далее - издание 2020 года.

40. Национальный центр статистики образования, "Степени, присвоенные учебными заведениями, выдающими степени, по уровню степени и полу студента", таблица 318.20, июль 2020 года.

41. Расчет автора по данным Национального центра статистики образования, "Количество учебных заведений, присваивающих степени доктора стоматологии, медицины и права, и количество таких степеней, присвоенных с разбивкой по полу студентов: Selected Years, 1949-50 to 2018-19."

42. Джей Ривз, "Женщины являются редакторами юридических обзоров в 16 лучших юридических школах", Lawyers Mutual, Byte of Prevention (блог), 17 апреля 2020 года.

43. Ник Хиллман и Николас Робинсон, "От мальчиков к мужчинам: The Underachievement of Young Men in Higher Education-and How to Start Tackling It" (Oxford, UK: Higher Education Policy Institute, 2016). Данные за 2018/2019 учебный год см. в Статистике студентов высших учебных заведений: Великобритания, 2018/2019, таблица 1. Женщинам было присуждено 244 535 степеней из 424 540.

44. "Расширение доступа и участия", в отчете UCAS о завершении цикла 2019 года (Челтнем, Великобритания: UCAS, 2019), глава. 6.

45. Джон Маркус, "Степень разделения между полами в колледже продолжает расти", Washington Post, 27 октября 2019 г.

46. Розамонд Хатт, "Эти 10 стран наиболее близки к достижению гендерного равенства", Всемирный экономический форум, 19 декабря 2019 года.

47. Маркус, "Степени разделения".

48. Шотландский совет по финансированию, План действий по гендерным вопросам: Ежегодный отчет о проделанной работе, 6 февраля 2019 года.

49. В отношении всего STEM см. Министерство образования США, Национальный центр статистики образования, "Количество и процентное распределение степеней/сертификатов в области науки, технологии, инженерии и математики (STEM), присвоенных высшими учебными заведениями, по расе/этнической принадлежности, уровню степени/сертификата и полу студента: 2009-10 - 2018-19", таблица 318.45, февраль 2021. Для математических и физических наук см. данные Министерства образования США, Национальный центр статистики образования, "Bachelor's, Master's, and Doctor's Degrees Conferred by Postsecondary Institutions, by Sex of Student and Discipline Division: 2017-18," May 2021.

50. ОЭСР, "Уровень образования и статус трудовой занятости: ELS - Население, получившее высшее образование, по полу и возрастным группам". Данные получены 10 марта 2022 года, большинство оценок - за 2020 год.

51. Брауновский университет, "Студенты по полу", 2020-2021; Колумбийский университет, "Зачисление по школам и полу", осень 2020; Корнельский университет, "Приборная панель состава осень 2019"; Дартмутский колледж, "Профиль класса и тестирование", зачисление класса 2025; Джессика М. Ванг и Брайан П. Ю, "Состав класса", Harvard Crimson, 2021; Университет Пенсильвании, "Факты и цифры многообразия Пенсильвании", осень 2020; Принстонский университет, "Многообразие: Гендер", студенты, стремящиеся получить степень, 2020 г.; Йельский университет, "По цифрам", осень 2020 г.

52. Дженнифер Делахунти Бритц, "Всем девушкам, которых я отверг", Нью-Йорк Таймс, 23 марта 2006 г.

53. Дэйв Бергман, "Гендерный фактор при поступлении в колледж - есть ли преимущество у мужчин или женщин?", College Transitions, 21 мая 2021 года.

54. Колледж Вассар, "Общий набор данных 2020/21", Institutional Research.

55. Интегрированная система данных о послесреднем образовании (IPEDS), "Kenyon College: Enrollment by Gender, Student Level, and Full and Part-Time Status: Fall 2020," 2019-2020.

56. Ханна Розин, Конец мужчин: And the Rise of Women (New York: Riverhead Books, September 2012), p. 148.

57. Rosin, p. 148-9.

58. Дуглас Белкин, "Поколение американских мужчин отказывается от колледжа: "Я просто чувствую себя потерянным"", Wall Street Journal, 6 сентября 2021 г.

59. Дилан Конгер и Марк К. Лонг, "Почему мужчины отстают? Гендерные разрывы в успеваемости и стойкости в колледже", Анналы Американской академии политических и социальных наук (январь 2010 г.).

60. Эстебан Аучехо и Джонатан Джеймс, "Путь к образованию в колледже: Роль математических и вербальных навыков", Journal of Political Economy (октябрь 2021 г.).

61. National Center for Education Statistics, "Graduation Rate from First Institution Attended for First-Time, Full-Time Bachelor's Degree-Seekering Students at 4-Year Postsecondary Institutions, by Race/Ethnicity, Time to Completion, Sex, Control of Institution, and Percentage of Applications Accepted: Selected Cohort Entry Years, 1996 to 2012," Digest of Education Statistics, Table 326.10.

62. Дэвид Леонхардт и Сахил Чиной, "Кризис отсева из колледжей", New York Times, 23 мая 2019 г.

63. Это моя оценка, основанная на данных, предоставленных мне Мэтью Чингосом.

64. Siwei Cheng и другие, "Heterogeneous Returns to College over the Life Course", Science Advances (декабрь 2021 г.).

65. Дэвид Аутор и Мелани Вассерман, Wayward Sons: The Emerging Gender Gap in Labor Markets and Education (Washington, DC: Third Way, 2013).

66. Команда "Таблицы школьных лиг", "Таблицы школьных лиг: Мальчики отстают от девочек на три десятилетия", BBC News, 6 февраля 2020 г.

67. Клаудия Голдин, Лоуренс Ф. Кац и Ильяна Куземко, "Возвращение американских женщин из колледжей: Обращение вспять гендерного разрыва в колледжах", Журнал экономических перспектив (осень 2006 г.).

68. Кэтрин Э. Фриман, "Тенденции в области образовательного равенства девочек и женщин: 2004 год", Национальный центр статистики образования, Институт наук об образовании, ноябрь 2004 г., стр. 66. Более поздние данные см. в Национальном центре статистики образования, Лонгитюдное исследование средней школы 2009 года (HSLS).

69. Розин, Конец людей, стр. 263.

70. Команда "Таблицы школьных лиг", "Таблицы школьных лиг: Мальчики отстают от девочек на протяжении трех десятилетий".


2. БЛЮЗ РАБОЧЕГО ЧЕЛОВЕКА


1. "Новые тенденции на рынке труда и в сфере образования: Reshaping Pathways to the Middle Class", Федеральный резервный банк Чикаго, канал YouTube (видео), 19 июля 2019 года (цитата на 1:03).

2. Susan Faludi, Backlash: The Undeclared War against American Women (New York: Crown, 2006), p. 41.

3. Дэвид Аутор и Мелани Вассерман, Wayward Sons: The Emerging Gender Gap in Labor Markets and Education (Washington DC: Third Way, 2013), p. 7.

4. Данные приведены для мужчин первого возраста за период с 1 квартала 1970 года по 4 квартал 2019 года с учетом сезонных колебаний. Источник: Бюро статистики труда США. Идентификатор серии: LNS11300061Q.

5. Бюро статистики труда США, "Коэффициент участия в рабочей силе - выпускники средней школы, без колледжа, 25 лет и старше, мужчины". Идентификатор серии: LNU01327676Q.

6. В IV квартале 2019 года в составе гражданской рабочей силы насчитывалось около 21,4 млн мужчин в возрасте 25 лет и старше, которые окончили среднюю школу, но не учились в колледже. Данные получены из FRED, Федеральный резервный банк Сент-Луиса, 4 февраля 2022 года. Коэффициент участия в рабочей силе 68 % (см. предыдущее примечание) предполагает, что в составе рабочей силы не было около 10 миллионов мужчин в возрасте 25 лет и старше, которые закончили среднюю школу, но не учились в колледже. В Народно-освободительной армии насчитывается около 2 миллионов военнослужащих: см. Cathleen Campbell, "China's Military: Народно-освободительная армия" (Исследовательская служба Конгресса, июнь 2021 г.).

7. Ричард В. Ривз и Элеонора Краузе, "Почему молодые образованные мужчины работают меньше?", Институт Брукингса, 23 февраля 2018 г.

8. Грей Кимброу, "Xbox и бывшие работники? Игровая деятельность и предложение труда среди молодых взрослых в США". (Американский университет, 2020), стр. 9.

9. Бетси Стивенсон, Женщины, работа и семьи: Восстановление после рецессии, вызванной пандемией (Институт Брукингса, сентябрь 2021 г.), рис. 1, стр. 2.

10. Стефания Албанези и Джиён Ким, "Влияние рецессии COVID-19 на рынок труда США: Занятие, семья и пол", Journal of Economic Perspectives (август 2021 г.). Стефани Ааронсон и Франциска Альба также обнаружили "скромное" негативное влияние закрытия школ во время пандемии на занятость матерей: см. "The Relationship between School Closures and Female Labor Force Participation during the Pandemic", Brookings Institution, November 2021.

11. Стивенсон, "Женщины, работа и семьи", с. 1.

12. Джейсон Фурман и Уилсон Пауэлл III, "США добились значительного прироста рабочих мест в октябре, но миллионы все еще остаются на обочине", Институт международной экономики Петерсона (ноябрь 2021 г.).

13. Ванесса Фурманс и Лорен Вебер, "Выгоревшие и отдохнувшие от пандемии, женщины переопределяют свои карьерные амбиции", Wall Street Journal, 27 сентября 2021 г.

14. Марк Муро и другие, Автоматизация и искусственный интеллект, (Брукингский институт, январь 2019 г., стр. 44.

15. Сара О'Коннор, "Навыки, защищающие от роботов, которые дают женщинам преимущество в эпоху искусственного интеллекта", Financial Times, 12 февраля 2019 г.

16. Гвидо Матиас Кортес, Нир Хаймович и Генри Сиу, "Конец мужчин и подъем женщин на рынке высококвалифицированного труда", рабочий документ 24274 (Кембридж, Массачусетс: Национальное бюро экономических исследований, ноябрь 2018 г.).

17. Маркус Кейси и Сара Нзау, "Различное влияние автоматизации на работу мужчин и женщин", Институт Брукингса, 11 сентября 2019 года.

18. Бюро статистики труда США, "Обзор профессиональных требований: Требования к сидячей работе" (2018).

19. Элизабет Фейн и Кара Уэзерфорд, "Сравнительное исследование хвата и латерального сжимания у миллениалов (возраст 20-34 года) с нормами", Journal of Hand Therapy (октябрь 2016 г.).

20. Бюро статистики труда США, Справочник по профессиям.

21. Обсуждение см. в статье Katherine G. Abraham and Melissa S. Kearney, "Explaining the Decline in the US Employment-to-Population Ratio: A Review of the Evidence," Journal of Economic Literature (September 2020).

22. Ричард В. Ривз, "С уважением: как процветают либеральные общества", Институт Брукингса, 12 февраля 2019 г.

23. Фатих Гювенен и другие, "Пожизненные заработки в США за шесть десятилетий", Институт Беккера-Фридмана, рабочий документ 2021-60 (Чикагский университет, 2021 год). Здесь я привел основные результаты, используя дефлятор PCE. См. также Стивен Дж. Роуз и Хайди И. Хартманн, "Все еще мужской рынок труда" (Институт исследований женской политики, 2018).

24. BLS Reports "Highlights of Women's Earnings in 2020," US Bureau of Labor Statistics (September 2021), p. 5.

25. Hans Rosling, Factfulness: Ten Reasons We're Wrong about the World-and Why Things Are Better Than You Think (New York: Flatiron Books, 2018), p. 38.

26. Бюро статистики труда США, Основные сведения о заработках женщин в 2020 году, отчеты BLS, сентябрь 2021 года.

27. Клаудия Голдин, "Большая гендерная конвергенция: Последняя глава", Американское экономическое обозрение (апрель 2014 г.).

28. Тони Ван Пелт, "Закон о справедливости оплаты труда помог бы сократить гендерный разрыв в зарплате. Почему Сенат не примет его?", Fortune, 26 августа 2019 года.

29. Кристина Хофф Соммерс, "Нет, женщины не зарабатывают меньше мужчин", Daily Beast, 29 мая 2019 г.

30. Керри Энн Рензулли, "46 % американских мужчин считают, что гендерный разрыв в оплате труда "выдуман для достижения политических целей"", CNBC, 4 апреля 2019 года.

31. Франсин Д. Блау и Лоуренс М. Кан, "Гендерный разрыв в оплате труда: масштабы, тенденции и объяснения", Журнал экономической литературы (сентябрь 2017 г.). См. также отчет "Состояние гендерного разрыва в оплате труда в 2022 году" (PayScale, 2022). Международные сравнения см. в статье Gabriele Ciminelli and Cyrille Schwellnus, "Sticky Floors or Glass Ceilings? Роль человеческого капитала, гибкости рабочего времени и дискриминации в гендерном разрыве в оплате труда", VoxEU CEPR (16 мая 2021 г.).

32. CONSAD Research Corporation, An Analysis of the Reasons for the Disparity in Wages between Men and Women, отчет, подготовленный для Управления по стандартам занятости Министерства труда США (январь 2009 г.), стр. 2.

33. Джон Исланд и Илана Редстоун, "Уменьшение разрыва в заработках между молодыми женщинами и мужчинами в США, 1979-2018 гг.", Исследование в области социальных наук (1 ноября 2020 г.). См. также Press Association, "Women in Their 20s Earn More Than Men of the Same Age, Study Finds," The Guardian, August 28, 2015; и Sarah Kliff, "A Stunning Chart Shows the True Cause of the Gender Wage Gap," Vox, February 19, 2018.

34. Хизер Лонг, "80 государств установили квоты для женщин-руководителей. Должны ли США стать следующими?", Washington Post, 3 ноября 2021 года.

35. Мишель Дж. Будиг, "Бонус за отцовство и наказание за материнство: Родительство и гендерный разрыв в оплате труда", Третий путь, 2 сентября 2014 года. Тот факт, что у приемных матерей заработок снижается так же, как и у родных матерей, подчеркивает, что дело скорее в материнской заботе, чем в биологии женщины. См. также Henrik Kleven, Camille Landais, and Jakob Egholt Søgaard, "Does Biology Drive Child Penalties? Доказательства на примере биологических и приемных семей", Американский экономический обзор: Insights (июнь 2021 года). Они приходят к выводу, что "большая часть сохраняющегося гендерного неравенства в странах с высоким уровнем дохода может быть объяснена неравным влиянием детей на мужчин и женщин", стр. 183.

36. Юн Кюн Чанг и другие, "Разрыв в заработках между родителями и мужчинами в США", рабочий документ CES 17-68 (Бюро переписи населения США, ноябрь 2017 года). См. также Даниэль Сандлер и Николь Сземброт, "Динамика материнского труда: Участие, заработок и смена работодателя", рабочий документ CES 19-33 (Бюро переписи населения США, декабрь 2019 года).

37. Илва Моберг, "Имеет ли гендерный состав семейных пар значение для разделения труда после рождения ребенка?", рабочий документ 2016:8 (Институт оценки политики на рынке труда и образования, 2016). См. также Martin Eckhoff Andresen и Emily Nix, "What Causes the Child Penalty? Данные по усыновляющим и однополым парам", Journal of Labor Economics (принято к публикации).

38. Валентин Болотный и Наталья Эмануэль, "Почему женщины зарабатывают меньше мужчин? Данные об операторах автобусов и поездов", Journal of Labor Economics(готовится к публикации). Доступно в виде рабочего документа, стр. 34, https://scholar.harvard.edu/files/bolotnyy/files/be_gendergap.pdf.

39. Болотный и Эмануэль, "Почему женщины зарабатывают меньше мужчин?", с. 34.

40. Клаудия Голдин, Карьера и семья: Women's Century-Long Journey towards Equity (Princeton University Press, 2021), p. 149.

41. Марианна Бертран, Клаудия Голдин и Лоуренс Ф. Кац, "Динамика гендерного разрыва для молодых специалистов в финансовом и корпоративном секторах", Американский экономический журнал: Прикладная экономика (июль 2010 года).

42. См. таблицу 2 в отчете BLS, "Женщины в рабочей силе: A Databook", Бюро статистики труда США (апрель 2021 г.).

43. Совет экономических консультантов при Администрации Президента США, "Экономика политики в отношении рабочих мест, благоприятных для семьи", в Экономическом докладе Президента 2015 года (Издательский отдел Правительства США, февраль 2015 г.), стр. 157.

44. Отчеты BLS, "Женщины в рабочей силе".

45. Отчеты BLS, "Женщины в рабочей силе", таблица 11.

46. Синтия Грант Боуман, "Женщины в юридической профессии с 1920-х по 1970-е годы: What Can We Learn from Their Experience about Law and Social Change?", Cornell Law Faculty Publications, Paper 12, 2009; U.S. Bureau of Labor Statistics, "Employed Full Time: Wage and Salary Workers: Профессии юристов: 16 лет и старше", серия LEU0254483400A, Федеральный резервный банк Сент-Луиса, 19 ноября 2021 года.

47. Голдин, Карьера и семья, с. 125.

48. Ханна Розин, "Новые данные о росте женщин", выступление на TED (видео), декабрь 2010 г. (цитата на 2:32).

49. Лиза О'Келли, "Ханна Розин: "Я чувствую себя ущемленной в гендерных войнах"", The Guardian, 29 сентября 2019 г.

50. Кортни Коннли, "Рекордная 41 женщина является руководителем компании Fortune 500, и впервые в список попали две чернокожие женщины", CNBC Make It, 2 июня 2021 года. Данные о директорах компаний см. в публикации "Женщины на рабочем месте 2021", McKinsey & Company, 27 сентября 2021 г.

51. Кейт Кларк, "US VC Investment in Female Founders Hits All-Time High", TechCrunch, 9 декабря 2019 г.


3. ВЫВИХНУТЫЕ ОТЦЫ


1. Адлай Э. Стивенсон, "Цель для современной женщины", Women's Home Companion (сентябрь 1955 г.), с. 30-31. См. также K. A. Cuordileone, Manhood and American Political Culture in the Cold War (London: Routledge, 2012), p. 261.

2. Глория Стайнем, "Политика женщин", 31 мая 1971 г., с. 6. Доступно в Колледже Смита по адресу www.alumnae.smith.edu/smithcms/1971/files/2015/08/Steinem-Commencement-Address.pdf.

3. Маргарет Мид, Некоторые личные взгляды (Нью-Йорк: Уокер, 1979), с. 50.

4. Клаудия Голдин, Лоуренс Ф. Кац и Ильяна Куземко, "Возвращение американских женщин из колледжей: Обращение вспять гендерного разрыва в колледжах", рабочий документ 12139 (Кембридж, Массачусетс: Национальное бюро экономических исследований, март 2006 г.).

5. "Экономическое разнообразие и результаты обучения в американских колледжах и университетах: Find Your College", New York Times, January 18, 2017. Интерактив, основанный на данных из книги Raj Chetty and others, "Mobility Report Cards: The Role of Colleges in Intergenerational Mobility," Working Paper 23618 (Cambridge, MA: National Bureau of Economic Research, December 2017).

6. Дэвид Гилмор, Мужественность в становлении: Cultural Concepts of Masculinity (Yale University Press, 1991), pp. 222-23.

7. Дэвид Морган, "Класс и маскулинность", в книге "Справочник по исследованиям мужчин и маскулинности", под ред. Michael S. Kimmel, Jeff Hearn, and R. W. Connell (Thousand Oaks, CA: Sage, 2005), p. 169. См. также Stephen Nock, Marriage in Men's Lives (Oxford University Press, 1998) об "универсальном триединстве ролей, определяющих взрослых мужчин... отцы, кормильцы и защитники", p. 132.

8. Джефф Денч, Трансформация мужчин: Changing Patterns of Dependency and Dominance in Gender Relations (London: Routledge, 1998), p. 8.

9. Лаура Тач, Рональд Минси и Кэтрин Эдин, "Родительство как "пакетная сделка": Relationships, Fertility, and Nonresident Father Involvement among Unmarried Parents", Demography (February 2010).

10. Gilmore, Manhood in the Making, p. 221.

11. Джон Стюарт Милль, "Подчинение женщин" [1869], Собрание сочинений Джона Стюарта Милля, т. 21 (University of Toronto Press, 1984), с. 325. Глория Стайнем, "Новый эгалитарный стиль жизни", Нью-Йорк Таймс, 16 августа 1971 года.

12. См. например, Clare Chambers, Against Marriage: An Egalitarian Defence of the Marriage-Free State (Oxford University Press, 2017), и Rebecca Traister, All the Single Ladies: Unmarried Women and the Rise of an Independent Nation (New York: Simon & Schuster, 2016).

13. Артур Миллер, Смерть коммивояжера [1949], (Нью-Йорк: Penguin Books, 1998), с. 11.

14. Ирина Данн, "Женщина нуждается в мужчине, как рыба в велосипеде" (написано в 1970 году), приписано Данн Глорией Стайнем в письме журналу Time, 16 сентября 2000 года.

15. Лоррейн Али, "Тайные жизни жен", Newsweek, 11 июля 2004 г.

16. Сара Джейн Глинн, "Матери-кормилицы продолжают быть нормой в США", Центр американского прогресса, 10 мая 2019 г.

17. Бюро переписи населения США, "Таблица F-22. Семьи, состоящие в браке, в которых заработок жены превышает заработок мужа: 1981-2020 гг." в Текущем обследовании населения, ежегодные социально-экономические приложения 1982-2021 гг.

18. Шеридан Кристнахт и Бриана Салливан, "Около двух третей из 23,5 миллиона работающих женщин с детьми до 18 лет работали полный рабочий день в 2018 году", Бюро переписи населения США , 8 мая 2020 года. См. также Pew Research Center, "Воспитание детей и ведение домашнего хозяйства: Как работающие родители делят нагрузку", 4 ноября 2015 года.

19. Дэвид Уиллеттс, The Pinch: How the Baby Boomers Took Their Children's Future-and Why They Should Give it Back (London: Atlantic Books, 2011), p. 53. См. также Маргарет Мид: "В современных индустриальных обществах... большое количество детей живет в неполных семьях, которые содержатся за счет налогов, взимаемых с мужчин и работающих женщин с более высоким уровнем дохода". Margaret Mead, Male and Female (New York: Harper Perennial, 2001), p. 191.

20. Вики Ларсон и Беверли Уиллетт, "Комната для дебатов: когда развод - это семейное дело", Нью-Йорк Таймс, 13 февраля 2013 г.

21. Проект "Социальный капитал", "Любовь, брак и детская коляска: Рост нежелательного деторождения", Объединенный экономический комитет Конгресса США, отчет SCP 4-17 (11 декабря 2017 г.).

22. Проект "Социальный капитал", "Рост нежелательной беременности и деторождения в образовательных и расовых группах", Объединенный экономический комитет Конгресса США, SCP Brief (14 февраля 2018 г.).

23. Здесь я объединил "категорически согласен" и "согласен". Данные из GSS Data Explorer. Вопрос: "Работающая мама может иметь такие же хорошие отношения с ребенком, как и неработающая (согласны/не согласны?)".

24. Уильям Дж. Гуд, "Почему мужчины сопротивляются", Dissent (весна 1980 г.).

25. Клэр Кейн Миллер, "Почему мужчины не хотят, чтобы работу выполняли в основном женщины", New York Times, 4 января 2017 г.

26. Ким Паркер и Рене Степлер, "Мужчины считаются финансовыми спонсорами в США, даже когда вклады женщин растут", Pew Research Center, 20 сентября 2017 г.

27. Шелли Лундберг, Роберт А. Поллак и Дженна Стернс, "Семейное неравенство: Diverging Patterns in Marriage, Cohabitation, and Childbearing", Journal of Economic Perspectives (Spring 2016).

28. Александра Киллевальд, "Деньги, работа и стабильность брака: Оценка изменений в гендерных детерминантах развода", Американское социологическое обозрение (август 2016 г.), стр. 696.

29. Марианна Бертран, Эмир Каменица и Джессика Пан, "Гендерная идентичность и относительный доход в домохозяйствах", Ежеквартальный журнал экономики (май 2015 г.), стр. 572.

30. Стивен Рагглс, "Патриархат, власть и зарплата: The Transformation of American Families, 1800-2015", Demography (December 2015), table 2, p. 1814.

31. Dench, Transforming Men, pp. 17 и 19.

32. Дэвид Бланкенхорн, Безотцовщина в Америке: Confronting Our Most Urgent Social Problem (New York: Harper Perennial, 1996), p. 18.

33. Эндрю Черлин, "Брак стал трофеем", The Atlantic, 20 марта 2018 года.

34. Джулиана Менаше Хоровиц, Никки Граф и Гретхен Ливингстон, "Брак и сожительство в США", Pew Research Center, 6 ноября 2019 г.

35. Ариэль Дж. Биндер и Джон Баунд, "The Declining Labor Market Prospects of Less-Educated Men", Journal of Economic Perspectives (Spring 2019), p. 181. Они также пишут, что "снижение уровня создания стабильных семей... устраняет стимул к предложению труда", стр. 181.

36. Мишель Ламонт, Достоинство работающих мужчин: Мораль и границы расы, класса и иммиграции (Harvard University Press, 2009), стр. 26 и 29.

37. Например, в газете Lancaster Intelligencer от 20 сентября 1859 года, том LX.

38. Что касается здоровья, см. "Брак и мужское здоровье", Harvard Health Publishing, 5 июня 2019 г. Данные о занятости см. в разделе "Коэффициент участия в рабочей силе - никогда не состоящие в браке мужчины", BLS Data Viewer, Series ID: LNU01300149Q. О социальных сетях см. Дэниел А. Кокс, "Новые тенденции и устойчивые закономерности в жизни американских семей", Центр исследования американской жизни, Американский институт предпринимательства, 9 февраля 2022 года. См. также Christopher J. Einolf and Deborah Philbrick, "Generous or Greedy Marriage? Лонгитюдное исследование волонтерства и благотворительности", Journal of Marriage and Family (июнь 2014 г.).

39. Эти данные приведены для мужчин первого возраста (25-54 года). Патрик Т. Браун, "Опиоиды и неприкрепленные мужчины", City Journal, 14 января 2022 года.

40. Майкл Дж. Розенфельд, "Кто хочет расстаться? Гендер и расставание в гетеросексуальных парах" в книге "Социальные сети и течение жизни: Integrating the Development of Human Lives and Social Relational Networks, Ed. Duane F. Alwin, Diane Felmlee, and Derek Kreager (New York: Springer, 2018), pp. 221-243. См. также: Daniel S. Felix, W. David Robinson, and Kimberly J. Jarzynka, "The Influence of Divorce on Men's Health," Journal of Men's Health (November 2013).

41. Мэри Джо Мерфи и Меган Ти-Бренан, "Poll Finds Most Voters Embrace Milestone for Women, If Not Hillary Clinton", New York Times, September 16, 2016.

42. "Где американцы находят смысл жизни: Подробные таблицы", Pew Research Center, 20 ноября 2018 года. Гендерную разбивку см. в подробных таблицах в Приложении.

43. Джанет Шибли Хайд, "Женщины, мужчины, работа и семья: Обновленная экспансионистская теория", в книге "Гендер и отношения в паре", под ред. Susan M. McHale and others (New York: Springer, 2016), p. 102.

44. Мария Котофан и другие, "Работа и благосостояние во время COVID-19: Воздействие, неравенство, устойчивость и будущее работы", в докладе "Всемирный доклад о счастье 2021", под ред. Джон Ф. Хелливелл и другие (Нью-Йорк: Сеть решений в области устойчивого развития, 2021).

45. Барак Обама, "Текст речи Обамы об отцовстве", Politico, 15 июня 2008 г.

46. Джейкоб Э. Чидл, Пол Р. Амато и Валари Кинг, "Patterns of Nonresident Father Contact", Demography (2010), appendix figure A1.

47. Гретхен Ливингстон и Ким Паркер, "Сказка о двух отцах: Больше активных, но больше отсутствующих", Pew Research Center, 15 июня 2021 года.

48. Еще 4,5 % жили только с отцом, по сравнению с 1 %. См. Пол Хемез и Ченнел Вашингтон, "Процент и число детей, живущих с двумя родителями, снизились с 1968 года", Бюро переписи населения США, 12 апреля 2021 года.

49. Джилл Догерти и Кейси Копен, "Тенденции в отношении к браку, деторождению и сексуальному поведению: Соединенные Штаты, 2002, 2006-2010 и 2011-2013 годы", Национальные статистические отчеты по здравоохранению (Хайтсвилл, MD: Национальный центр статистики здравоохранения, 2016).

50. Патрик Ф. Фаган и Кристина Хэдфорд, "Пятый ежегодный индекс принадлежности к семье и отверженности", Исследовательский институт брака и религии, 12 февраля 2015 года, таблица 1.

51. Джордж Ф. Гилдер, "Сексуальное самоубийство" (Нью-Йорк: Quadrangle, 1973), стр. 91.


4. ОЧКИ ДУАЙТА


1. Кит Л. Александер, "Модные очки без рецепта - последнее слово в стратегическом наряде обвиняемых по уголовным делам", Вашингтон Пост, 27 марта 2012 г.

2. Майкл Дж. Браун, "Правосудие слепое или просто слабовидящее? Влияние очков на решения присяжных заседателей", Американское общество судебных консультантов, 2011 г.

3. Кимберле Креншоу, "Демаргинализация пересечения расы и пола: Черная феминистская критика антидискриминационной доктрины, феминистской теории и антирасистской политики", Юридический форум Чикагского университета (1989), с. 166.

4. Тиффани Н. Форд, "Исследование сложности в благополучии: Исследование парадокса благополучия чернокожих женщин с помощью смешанных методов", готовится к публикации, стр. 11. См. также Lisa Bowleg и другие, "'It's an Uphill Battle Everyday': Интерсекциональность, чернокожие гетеросексуальные мужчины с низким доходом и последствия для исследований и вмешательств по профилактике ВИЧ", Psychology of Men & Masculinity (2013).

5. Эвелин М. Симиен, "Проведение исследований межсекторальности: От концептуальных вопросов к практическим примерам", Politics & Gender (июнь 2007).

6. Джин Демби, "Правда, скрытая за ложью о королеве благосостояния", NPR, 20 декабря 2013 г.

7. Коллин Флаэрти, "Томми Карри обсуждает новую книгу о том, как критическая теория игнорировала реалии черной мужественности", Inside Higher Ed, 7 сентября 2017 г.

8. Томми Карри, "Человек-нечеловек": Race, Class, Genre and the Dilemmas of Black Manhood (Temple University Press, 2017), p. 17.

9. Шерилл Кашин, "Белое пространство, черный капюшон" (Бостон: Бикон Пресс, 2021), с. 5.

10. Ричард В. Ривз, "От мальчиков к мужчинам: Отцы, семья и возможности", Институт Брукингса, 19 июня 2015 года.

11. Радж Четти и другие, "Атлас возможностей", Opportunity Insights, октябрь 2018 г., www.opportunityatlas.org.

12. Департамент образования штата Мэриленд, "Belmont Elementary 2018-2019 School Report Card," Maryland Public Schools (2021).

13. Важно отметить, что в данном случае используется показатель индивидуального дохода, а не дохода домохозяйства. Радж Четти и другие, "Раса и экономические возможности в Соединенных Штатах: Исполнительное резюме", Проект "Равенство возможностей", март 2018 г., стр. 3.

14. Радж Четти и другие, "Раса и экономические возможности в Соединенных Штатах: Межпоколенческая перспектива", "Ежеквартальный журнал экономики" (май 2020 г.), стр. 747.

15. Скотт Уиншип, Ричард В. Ривз и Кэтрин Гайот, "Наследство бедности чернокожих: Все дело в мужчинах", Институт Брукингса, март 2018 года.

16. Дэниел Патрик Мойнихан, "Негритянская семья: The Case for National Action (Office of Policy Planning and Research, Department of Labor, 1965), chap. 4, "Клубок патологии". См. также Daniel Geary, "The Moynihan Report: Аннотированное издание", The Atlantic, 14 сентября 2015 г.

17. Джонатан Ротвелл, "Стоимость жилья, зонирование и доступ к высококлассным школам", Институт Брукингса, апрель 2012 г.

18. Джерландо Ф. Л. Джексон и Джеймс Л. Мур III, "Афроамериканские юноши в образовании: Endangered or Ignored?", Teachers College Record (февраль 2006 г.), p. 201.

19. Национальный центр статистики образования, "Процент бросивших среднюю школу среди лиц в возрасте от 16 до 24 лет (статус Dropout Rate), по полу и расе/этнической принадлежности: Selected Years, 1960 to 2017," U.S. Department of Education, November 2018. Данные о зачислении в колледж см. в National Center for Education Statistics, "Percentage of 18--24-Year-Olds Enrolled in College, by Level of Institution and Sex and Race/Ethnicity of Student: 1970 to 2018," U.S. Department of Education, 2020. Информацию о получении послевузовского образования см. в National Center for Education Statistics, "Percentage of Persons 25 to 29 Years Old with Selected Levels of Educational Attainment, by Race/Ethnicity and Sex: Selected Years, 1920 to 2020," U.S. Department of Education, October 2020.

20. Национальный центр статистики образования, "Степени магистра, присваиваемые высшими учебными заведениями, по расе/этнической принадлежности и полу студента: Selected Years, 1976-77 to 2018-19," U.S. Department of Education, June 2020.

21. Барт Шоу и другие, Этничность, гендер и социальная мобильность, Комиссия по социальной мобильности (Лондон: Комиссия по социальной мобильности, декабрь 2016 г.).

22. Шерри Н. Монг и Винсент Дж. Роскиньо, "Афроамериканские мужчины и опыт дискриминации при трудоустройстве", Качественная социология (2010).

23. Митра Тусси и Лесли Джойнер, "Чернокожие в составе рабочей силы", Бюро статистики труда США, февраль 2018 г.

24. Радж Четти и другие, "Раса и экономические возможности в Соединенных Штатах: An Intergenerational Perspective," March 2018, www.equality-of-opportunity.org/assets/documents/race_paper.pdf. "Уровень занятости чернокожих мужчин, чьи родители находятся на 75-м процентиле, сопоставим с уровнем занятости белых мужчин, чьи родители находятся на 9-м процентиле", стр. 22. См. особенно рисунок VI F.

25. Сара Джейн Глинн, "Матери-кормилицы продолжают быть нормой в США", Центр американского прогресса, 10 мая 2019 г.

26. Винсент Дж. Роскиньо, Лицо дискриминации: How Race and Gender Impact Work and Home Lives (Lanham, MD: Rowman & Littlefield, 2007).

27. Эмили Бэджер и другие, "Обширные данные показывают карательные последствия расизма для чернокожих мальчиков", New York Times, 19 марта 2018 г.

28. Фонд Обамы, "Мы - хранители наших братьев", My Brother's Keeper Alliance, 2014, www.obama.org/mbka.

29. "Новый анализ обнаруживает мало доказательств в поддержку акцента на мальчиках и молодых мужчинах цветного населения в инициативе Белого дома "Мой брат - хранитель"", Институт исследований женской политики, 25 февраля 2015 г.

30. Камилла Бусетт, "Новая сделка для бедных афроамериканских и коренных американских мальчиков", Институт Брукингса, 14 марта 2018 г.

31. Та-Нехиси Коутс, "Черная семья в эпоху массового лишения свободы", The Atlantic, 14 сентября 2015 г.

32. Коутс, "Черная семья". Обратите внимание, что чернокожие женщины примерно с той же вероятностью, что и белые мужчины, считаются склонными к насилию, в то время как белые женщины очень мало склонны к насилию.

33. Коррин МакКоннохи и Исмаил К. Уайт, "Расовая политика усложняется: Работа гендерных расовых признаков в американской политике", доклад, подготовленный для конференции "Новые исследования гендера в политической психологии", Ратгерский университет, 4-5 марта 2011 года, рис. 1.

34. Moynihan, The Negro Family, chap. 3, "Корни проблемы".

35. Rashawn Ray, "Black People Don't Exercise in My Neighborhood: Perceived Racial Composition and Leisure-Time Physical Activity among Middle Class Blacks and Whites", Social Science Research (August 2017), p. 29.

36. Ибрам X. Кенди, "Кто может бояться в Америке?", The Atlantic, 12 мая 2020 г.

37. Джонатан Ротвелл, "Наркопреступники в американских тюрьмах: Критическое различие между запасом и потоком", Институт Брукингса, 25 ноября 2015 года.

38. Кэрролл Богерт и Линнел Хэнкок, "Суперхищник: Миф СМИ, который демонизировал поколение чернокожей молодежи", Проект Маршалла, 20 ноября 2020 г.

39. "Та-Нехиси Коутс: "В Америке традиционно уничтожать черное тело", The Guardian, 20 сентября 2015 г., отрывок из книги "Между миром и мной" (Нью-Йорк: Spiegel & Grau, 2015).

40. Дженнифер Л. Долеак и Бенджамин Хансен, "Непреднамеренные последствия "запрета ящика": Статистическая дискриминация и результаты трудоустройства при сокрытии криминального прошлого", Journal of Labor Economics (апрель 2020 г.).

41. Кристина Стейси и Михаль Коэн, "Запрет ящика и расовая дискриминация", Городской институт, февраль 2017 г.

42. Devah Pager, Marked: Race, Crime, and Finding Work in an Era of Mass Incarceration (University of Chicago Press, 2008). Цитируется в книге Та-Нехиси Коутса "Черная семья в эпоху массового лишения свободы".

43. Джули Босман, "Обама резко осуждает отсутствующих чернокожих отцов", Нью-Йорк Таймс, 16 июня 2008 г.

44. Jawanza Kunjufu, Raising Black Boys (Chicago: African American Images, 2007). См. Лотти Джойнер, "Влияние отсутствия отцов на психическое здоровье чернокожих мальчиков", Центр журналистики о здоровье, 2016.

45. Лейла Морси и Ричард Ротштейн, "Массовое лишение свободы и результаты детей", Институт экономической политики, декабрь 2016 года.

46. "Дэниел Бити - Тук, Тук", YouTube (видео), 19 ноября 2009 года.

47. Джо Джонс и Уильям Д. Мошер, Вовлеченность отцов в воспитание детей: United States, 2006-2010, National Health Statistics Reports, no. 71 (National Center for Health Statistics, 2013).

48. Бюро переписи населения США, Ежегодное социально-экономическое приложение (ASEC), "Таблица A3. Родители с совместно проживающими детьми в возрасте до 18 лет в разбивке по месту жительства, полу и отдельным характеристикам: 2020 год", из Текущего обследования населения, ежегодные социально-экономические приложения 1982-2021 годов (2021 год).

49. Элизабет Уайлдсмит, Дженнифер Манлове и Элизабет Кук, "Резкое увеличение доли внебрачных рождений в США с 1990 по 2016 год", Child Trends, 8 августа 2018 года.

50. R. Kelly Raley, Megan M. Sweeney, and Danielle Wondra, "The Growing Racial and Ethnic Divide in U.S. Marriage Patterns," Future Child (Fall 2015), p. 89.

51. Уильям Джулиус Уилсон, "Истинно обездоленные" (Издательство Чикагского университета, 1990).

52. Pew Research Center, "Мнения о важности быть провайдером различаются по основным демографическим линиям", 19 сентября 2017 г.

53. Цитируется в Коутс, "Черная семья в эпоху массового лишения свободы".

54. Heather McGhee, The Sum of Us: What Racism Costs Everyone and How We Can Prosper Together (New York: OneWorld, 2021).

55. Комиссия Фергюсона, "Вперед через Фергюсон: путь к расовому равенству" (октябрь 2015 г.).

56. Комиссия США по гражданским правам, Комиссия по социальному статусу чернокожих мужчин и мальчиков, 2020 г.

57. Генеральная прокуратура Флориды, Совет Флориды по социальному статусу чернокожих мужчин и мальчиков, 2006, www.cssbmb.com.

58. Конгрессвумен Фредерика Уилсон, "Уилсон принимает закон о комиссии по социальному статусу чернокожих мужчин и мальчиков", 27 июля 2020 г.


5. КЛАССНЫЙ ПОТОЛОК


1. Энн Кейс и Ангус Дитон, "Смертность и заболеваемость в XXI веке", BPEA (весна 2017), стр. 397-476; Энн Кейс и Ангус Дитон, "Смерть от отчаяния и будущее капитализма" (Princeton University Press, 2020).

2. Кейс и Дитон, "Смертность и заболеваемость", стр. 429 и 438.

3. Объединенный экономический комитет, долгосрочные тенденции смертности от отчаяния, отчет проекта "Социальный капитал" № 4-19 (сентябрь 2019 г.).

4. Sarah A. Donovan and David H. Bradley, Real Wage Trends, 1979 to 2019, отчет, подготовленный для членов и комитетов Конгресса (Исследовательская служба Конгресса, декабрь 2020 г.).

5. Ник Хиллман и Николас Робинсон, "От мальчиков к мужчинам: Недостаточная успеваемость молодых мужчин в высшем образовании и как начать решать эту проблему", Институт политики высшего образования (2016), стр. 12.

6. Дональд Трамп, "Инаугурационная речь", 20 января 2017 года, trumpwhitehouse.archives.gov.

7. Shannon M. Monnat, Deaths of Despair and Support for Trump in the 2016 Presidential Election, Research Brief, Department of Agricultural Economics, Sociology, and Education (State College, PA: Pennsylvania State University, 2016).

8. Николас Кристоф и Шерил УДанн, "Кто убил семью Кнапп?", Нью-Йорк Таймс, 9 января 2020 г. См. также Nicholas Kristof and Sheryl WuDunn, Tightrope: Americans Reaching for Hope (New York: Knopf Doubleday, 2020), pp. 119-20.

9. Kaiser Family Foundation (KFF), "Смертность от передозировки опиоидов в зависимости от пола", 16 марта 2021 года.

10. Алан Б. Крюгер, "Куда делись все работники? Расследование снижения коэффициента участия в рабочей силе в США", Институт Брукингса, 7 сентября 2017 года.

11. Кэтрин Г. Абрахам и Мелисса С. Кирни, "Объяснение снижения соотношения занятости к численности населения США: A Review of the Evidence," Journal of Economic Literature (September 2020), p. 622.

12. В обзоре фактических данных о смертности от опиоидов в Канаде, проведенном в 2018 году, был сделан следующий вывод: "анализ потенциальных факторов риска показал, что большинство смертей от опиоидов происходило, когда человек был один, в помещении частного дома". См. Belzak Lisa and Halverson Jessica, "Evidence Synthesis-the Opioid Crisis in Canada: Национальная перспектива", Укрепление здоровья и профилактика хронических заболеваний в Канаде (июнь 2018 г.), стр. 231.

13. "Самоубийства в мире в 2019 году: глобальные оценки состояния здоровья", Всемирная организация здравоохранения, 2021 год, рис. 9, стр. 10.

14. Рис Оуэн-Уильямс, "Набор данных: Ведущие причины смерти, Великобритания", Управление национальной статистики Великобритании, 27 марта 2020 года, таблица 5.

15. Национальный центр статистики здравоохранения, Data Brief 398, февраль 2021 года, рисунок 3.

16. Барретт Суонсон, "Есть ли лекарство от токсичной мужественности?", журнал Harper's Magazine, ноябрь 2019 г.

17. Ф. Л. Шанд и другие, "Что может помешать мужскому самоубийству? Результаты онлайн-опроса мужчин", BMJ Open, 2015.

18. Хизер Боуши и Кавия Вагхул, "Женщины сделали разницу для экономической безопасности семьи", Вашингтонский центр за справедливый рост, апрель 2016 г., стр. 5. Следует отметить, что вклад "доходов из других источников" был очень небольшим.

19. Арли Хохшильд и Энн Мачунг, Вторая смена: Working Families and the Revolution at Home (New York: Viking Penguin, 1989, переиздано в 1997 и 2012 гг.).

20. Бюро переписи населения США, таблица C2, "Отношения в домохозяйстве и условия жизни детей до 18 лет, по возрасту и полу: 2020 год".

21. Кэтрин Эдин и Мария Кефалас, Обещания, которые я могу выполнить: Why Poor Women Put Motherhood before Marriage (University of California Press, 2005).

22. Edin and Kefalas, Promises I Can Keep, p. 81.

23. Сара Джейн Глинн, "Матери-кормилицы продолжают быть нормой в США", Центр американского прогресса, 10 мая 2019 г.

24. Р. Келли Рэйли, Меган М. Суини и Даниэль Вондра, "Растущий расовый и этнический разрыв в структуре браков в США", Будущее детей (осень 2015 г.), стр. 89-109.

25. Дэвид Аутор и Мелани Вассерман, Wayward Sons: The Emerging Gender Gap in Labor Markets and Education (Washington, DC: Third Way, 2013), p. 27.

26. Эдин и Кефалас, "Обещания, которые я могу выполнить".

27. Эндрю Черлин, "Брак стал трофеем", The Atlantic, 20 марта 2018 года.

28. Ричард В. Ривз и Кристофер Пуллиам, "Браки в среднем классе сокращаются и, вероятно, углубляют неравенство", Институт Брукингса, 11 марта 2020 г. См. также Шелли Лундберг, Роберт А. Поллак и Дженна Стинс, "Неравенство в семье: Diverging Patterns in Marriage, Cohabitation, and Childbearing", Journal of Economic Perspectives (Spring 2016).

29. Ривз и Пуллиам, "Браки среднего класса сокращаются".

30. Courtney C. Coile and Mark G. Duggan, "When Labor's Lost: Health, Family Life, Incarceration, and Education in a Time of Declining Economic Opportunity for Low-Skilled Men", Journal of Economic Perspectives (Spring 2019).

31. Isabel V. Sawhill, Generation Unbound (Brookings Institution Press, 2014), p. 76.

32. Элизабет Уайлдсмит, Дженнифер Манлоув и Элизабет Кук, "Резкое увеличение доли внебрачных рождений в США с 1990 по 2016 год", Child Trends, 8 августа 2018 года.

33. Эндрю Дж. Черлин, "Рост внебрачного деторождения среди женщин с высшим образованием: Evidence from Three National Studies," Proceedings of the National Academy of Sciences (September 2021), p. 6.

34. ""Мисс" феминистки ошарашены тем, что их верховная жрица Стайнем стала "миссис" в 66 лет", Irish Times, 8 сентября 2000 г.

35. Ричард В. Ривз, "Как спасти брак в Америке", The Atlantic, 13 февраля 2014 г.

36. Марианна Бертран, Клаудия Голдин и Лоуренс Ф. Кац, "Динамика гендерного разрыва для молодых специалистов в финансовом и корпоративном секторах", Американский экономический журнал: Прикладная экономика (июль 2010 г.).

37. Шошана Гроссбард и другие, "Ассоциация доходов супругов и неравенство: A Non-linear Perspective," Working Paper 2019-076 (Chicago: University of Chicago, December 2019), p. 1.

38. Шелли Лундберг, Роберт А. Поллак и Дженна Стернс, "Семейное неравенство: Diverging Patterns in Marriage, Cohabitation, and Childbearing", Journal of Economic Perspectives (Spring 2016), p. 97.

39. Дэвид Морган, "Класс и маскулинность", в книге "Справочник по изучению мужчин и маскулинности", под ред. Michael S. Kimmel, Jeff Hearn, and Robert W. Connell (Thousand Oaks, CA: Sage, 2004).

40. Кэтрин Эдин и другие, "The Tenuous Attachments of Working-Class Men", Journal of Economic Perspectives (Spring 2019), p. 222.

41. Edin and others, "The Tenuous Attachments of Working-Class Men", p. 222.

42. Дженнифер М. Сильва, Мы все еще здесь: Pain and Politics in the Heart of America (Oxford University Press, 2019), pp. 66, 48-9, 42-3.

43. Дэниел Кокс, "Да, иметь больше друзей лучше", Survey Center on American Life, 9 августа 2021 года. См. также Дэниел Кокс, "Американские мужчины страдают от рецессии дружбы", National Review, 6 июля 2021 г.

44. Дэниел Кокс, "Социальные круги мужчин сокращаются", Центр исследования американской жизни, 29 июня 2021 года.

45. Ричард Фрай, "Впервые за всю современную эпоху проживание с родителями превзошло другие виды проживания для 18-34-летних", Pew Research Center, 24 мая 2016 г.

46. Майкл Киммел, Guyland: The Perilous World Where Boys Become Men (New York: Harper Collins, 2018).

47. Кокс, "Американские мужчины страдают от рецессии дружбы". См. также Jacqueline Olds and Richard S. Schwartz, The Lonely American: Drifting Aparting in the Twenty-First Century (Boston: Beacon Press, 2009). Как они пишут: "Почти каждый отец, с которым мы разговаривали, объяснил, что потерял контакт с большинством своих друзей-мужчин", - стр. 116.

48. Мэтью Р. Райт и другие, "Роль расторжения брака и последующего повторного вступления в брак на одиночество в дальнейшей жизни", Журнал геронтологии: Серия B, Психологические науки и социальные науки (октябрь 2020 г.).

49. Эрнест Хемингуэй, "Мужчины без женщин" (Нью-Йорк: Scribner, 1927); Харуки Мураками, "Мужчины без женщин" (Нью-Йорк: Vintage, 2018).

50. John Steinbeck, Of Mice and Men (New York: Covici-Friede, 1937; New York: Penguin, 1993), pp. 72-3. Цитирование относится к изданию Penguin.

51. Ширли С. Ванг, "Борьба за спасение молодых затворников Японии", Wall Street Journal, 25 января 2015 г.

52. Николя Таян, Хамасаки Юкико и Нэнси Пионнье-Дакс, "Хикикомори: исследование острой социальной замкнутости, проведенное Министерством внутренних дел Японии в 2016 году", Asia-Pacific Journal (март 2017 г.). См. также Эдд Гент, "Тяжелое положение современных японских отшельников", BBC, 29 января 2019 г.

53. Лоранс Буте-Рош, "Фотографии раскрывают изолированную жизнь социальных отшельников Японии", National Geographic, 14 февраля 2018 г.

54. Hikikomori Italia, Associazione Nazionale, www.hikikomoriitalia.it.

55. Алан Р. Тео и другие, "Разработка и валидация 25-пунктового опросника Хикикомори (HQ-25)", Психиатрия и клинические нейронауки (июнь 2018 г.).

56. Алли Конти, "Когда "выход на улицу" - это тюрьма: Мир американских хикикомори", New York Magazine, 17 февраля 2019 г.

57. У. Томас Бойс, Орхидея и одуванчик: Why Sensitive Children Face Challenges and How All Can Thrive (New York: Vintage, 2020).

58. Радж Четти и другие, "Раса и экономические возможности в Соединенных Штатах: An Intergenerational Perspective", Quarterly Journal of Economics (May 2020), онлайн-приложение, таблица V. В каждой расовой категории у мальчиков меньше шансов, чем у девочек, вырваться из межпоколенческой бедности, измеряемой по уровню доходов домохозяйств.

59. Майлз Корак, ""Неравенство - корень социального зла", а может, и нет? Две истории о неравенстве и государственной политике", Canadian Public Policy (декабрь 2016 г.).

60. Радж Четти и другие, "Среда детства и гендерные разрывы во взрослой жизни", Американское экономическое обозрение (май 2016 г.), стр. 282.

61. Радж Четти и Натаниэль Хендрен, "Влияние соседства на межпоколенческую мобильность II: оценки на уровне округа", Ежеквартальный журнал экономики (февраль 2018 г.), стр. 1167.

62. Дэвид Аутор и другие, "Семейное неблагополучие и гендерный разрыв в поведенческих и образовательных результатах", Американский экономический журнал: Прикладная экономика (июль 2019 г.). См. также Дэвид Аутор и другие, "Качество школы и гендерный разрыв в образовательных достижениях", American Economic Review (май 2016 г.); и Дэвид Аутор и другие, "Males at the Tails: Как социально-экономический статус формирует гендерный разрыв", Blueprint Labs, май 2020 г.

63. Ричард В. Ривз и Сара Нзау, "Бедность сильнее всего бьет по мальчикам: Неравенство на стыке класса и пола", Институт Брукингса, 14 июня 2021 года.

64. Сью Хаббл, Пол Болтон и Джо Льюис, "Равенство доступа и результатов в высшем образовании в Англии", Брифинг-доклад 9195 (июнь 2021 г.).

65. Колтер Митчелл и другие, "Нестабильность семейной структуры, генетическая восприимчивость и благополучие детей", Американский журнал социологии (январь 2015 г.).

66. Уильям Дж. Доэрти, Брайан Дж. Уиллоуби и Джейсон Л. Уайлд, "Влияет ли на гендерный разрыв в поступлении в колледж рождаемость вне брака и отсутствие отца?", Семейные отношения (апрель 2016 г.).

67. Marianne Bertrand and Jessica Pan, "The Trouble with Boys: Social Influences and the Gender Gap in Disruptive Behavior," Working Paper 17541 (Cambridge, MA: National Bureau of Economic Research, October 2011), p. 1.

68. Камерон Тейлор, "Кто получает семью? Последствия распределения семей и групповых домов для результатов детей" (неопубликованная работа, декабрь 2021 года). Основываясь на своем анализе, Тейлор предлагает выплачивать более высокие стипендии семьям, которые берут на воспитание мальчиков.

69. Autor and Wasserman, "Wayward Sons", p. 50.

70. Корак, ""Неравенство - корень социального зла"", с. 400.


6. НЕ ОТВЕТЧИКИ


1. Мишель Миллер-Адамс, "О программе Kalamazoo Promise", Институт исследований занятости имени В. Э. Апджона, 2015 г.

2. Timothy J. Bartik, Brad J. Hershbein, and Marta Lachowska, "The Merits of Universal Scholarships: Данные о выгодах и затратах, полученные на примере программы Kalamazoo Promise", Journal of Benefit-Cost Analysis (ноябрь 2016 г.).

3. Ричард В. Ривз и Эмбер Смит, "Мужчины-зигзаги, женщины-прямые линии: Young Adult Trajectories in the U.S.", Brookings Institution, forthcoming. См. также цитаты в Derek Thompson, "Colleges Have a Guy Problem", The Atlantic, September 14, 2021.

4. Уильям Н. Эванс и другие, "Повышение показателей завершения обучения в муниципальном колледже среди студентов с низким уровнем дохода: Evidence from a Randomized Controlled Trial Evaluation of a Case-Management Intervention", Journal of Policy Analysis and Management (Fall 2020).

5. Национальный центр статистики образования, Интегрированная система данных о послесреднем образовании (IPEDS), "Предварительные данные по 12-месячному компоненту зачисления 2019-20", 2021. Разбивку по классам см. в статье Ричарда В. Ривза и Кэтрин Гайот "И справедливость для всех: Общественные колледжи, обслуживающие средний класс", Институт Брукингса, 13 июня 2019 года.

6. National Center for Education Statistics, "Percentage Distribution of First-Time, Full-Time Degree/Certificate-Seeking Students at 2-Year Postsecondary Institutions 3 Years after Entry, by Completion and Enrollment Status at First Attended Institution, Sex, Race/Ethnicity, and Control of Institution: Cohort Entry Years 2010 and 2015," October 2019.

7. Уильям Н. Эванс и другие, "Увеличение числа выпускников муниципальных колледжей", стр. 1 и 20.

8. Личное общение с автором.

9. Роберт В. Фэрли, Флориан Хоффманн и Филипп Ореопулос, "Преподаватель муниципального колледжа, как я: взаимодействие расы и этнической принадлежности в классе", Американское экономическое обозрение (август 2014 г.). См. также Дэниел Оливер и другие, "Взаимодействие студентов из числа меньшинств и ассистентов преподавателей в STEM", Обзор экономики образования (август 2021 г.).

10. Майкл Л. Андерсон, "Множественное умозаключение и гендерные различия в эффектах раннего вмешательства: A Reevaluation of the Abecedarian, Perry Preschool, and Early Training Projects," Journal of the American Statistical Association (2008), p. 1481.

11. Jonathan Guryan, James S. Kim, and David M. Quinn, "Does Reading during the Summer Build Reading Skills? Evidence from a Randomized Experiment in 463 Classrooms," Working Paper 20689 (Cambridge, MA: National Bureau of Economic Research, November 2014), p. 18.

12. Дэвид Дж. Деминг и другие, "Выбор школы, качество школы и получение среднего образования", Американский экономический обзор (март 2014 г.), стр. 1008.

13. Скотт Каррелл и Брюс Сакердот, "Почему вмешательства, направленные на поступление в колледж, работают?", Американский экономический журнал: Applied Economics (July 2017), p. 136.

14. Вилса Э. Курто и Роланд Г. Фрайер-младший, "Потенциал городских школ-интернатов для бедных: данные SEED", Journal of Labor Economics (январь 2014 г.), стр. 82.

15. Сьюзан Динарски, "Создание запасов рабочей силы с высшим образованием", Journal of Human Resources (Summer 2008), p. 598.

16. Джошуа Ангрист, Дэниел Лэнг и Филипп Ореопулос, "Стимулы и услуги для успеваемости в колледже: Evidence from a Randomized Trial," American Economic Journal: Прикладная экономика (январь 2009 г.), стр. 136.

17. Angrist, Lang, and Oreopoulos, "Incentives and Services for College Achievement", p. 161.

18. Сьюзан Скривенер и другие, "Удвоение числа выпускников: Three-Year Effects of CUNY's Accelerated Study in Associate Programs (ASAP) for Developmental Education Students" (New York, NY: MDRC, February 2015). Одно из исследований, показывающее положительные результаты для мальчиков после посещения дошкольного учреждения, см. в Guthrie Gray-Lobe, Parag A. Pathak and Christopher R. Walters, "The Long-Term Effects of Universal Preschool in Boston," Working Paper 28756 (Cambridge, MA: National Bureau of Economic Research, May 2021).

19. Марк Твен, "Письмо от Марка Твена", Daily Alta California, 16 июня 1867 г., с. 1.

20. Cynthia Miller and others, "Expanding the Earned Income Tax Credit for Workers without Dependent Children: Interim Findings from the Paycheck Plus Demonstration in New York City" (MDRC, September 2017), p. 46.

21. Эмили Куртин и другие, "Эффекты для здоровья от расширения налогового кредита на заработанный доход: результаты по Нью-Йорку", Health Affairs (июль 2020 г.).

22. Миллер и другие, "Расширение налогового кредита на заработанный доход", стр. 49.

23. Другой пилотный проект в Атланте, похоже, не повысил уровень занятости ни мужчин, ни женщин, по крайней мере, судя по промежуточному отчету. См. Cynthia Miller and others, "A More Generous Earned Income Tax Credit for Singles: Interim Findings from the Paycheck Plus Demonstration in Atlanta" (MDRC, март 2020 г.).

24. Объединенный комитет по налогообложению, "Расчетные бюджетные последствия положений о доходах раздела XIII - Комитет по путям и средствам - закона H.R. 5376, 'Build Back Better Act'" (Конгресс США, ноябрь 2021 г.).

25. Джин Б. Сперлинг, "Налоговое предложение, которое может избавить миллионы от бедности", The Atlantic, 17 октября 2017 г. См. также Chuck Marr и Chye-Ching Huang, "Strengthening the EITC for Childless Workers Would Promote Work and Reduce Poverty," Center on Budget and Policy Priorities, February 20, 2015.

26. Sheena McConnell and others, Providing Public Workforce Services to Job Seekers: 15-Month Impact Findings on the WIA Adult and Dislocated Worker Programs (Washington, DC: Mathematica Policy Research, May 2016). См. также Harry J. Holzer, "Higher Education and Workforce Policy: Создание более квалифицированных работников (и рабочих мест для них)", Институт Брукингса, 6 апреля 2015 года.

27. Шейла Магуайр и другие, "Подстраиваясь под местные рынки труда: Выводы из исследования влияния секторальной занятости", Public/Private Ventures (2010).

28. Carolyn J. Heinrich, Peter R. Mueser, and Kenneth R. Troske, Workforce Investment Act Non-experimental Net Impact Evaluation (Columbia, MD: IMPAQ, December 2008).

29. Говард С. Блум и другие, "Преимущества и затраты программ JTPA Title II-A: Key Findings from the National Job Training Partnership Act Study," Journal of Human Resources (June 1997), p. 564.

30. Шейла Магуайр и другие, "Job Training That Works: Выводы из исследования влияния секторальной занятости", Public/Private Ventures, P/PV In Brief 7 (май 2009 г.).

31. Шейла Магуайр и другие, "Настраиваясь на местные рынки труда".

32. NAFSA: Ассоциация международных преподавателей, "Тенденции обучения за рубежом в США в 2019-2020 гг.". В национальном масштабе количество американских студентов, обучающихся за рубежом в 2019-2020 учебном году, сократилось на 53 % - с 347 099 до 162 633 человек.

33. Эшли Стипек, Элайна Лавлэнд и Кэтрин Моррис, "Обучение за рубежом имеет значение: Связь высшего образования с современным рабочим местом через международный опыт (Стэмфорд, КТ: Институт международного образования и Американский институт иностранных исследований, 2009). См. также Питер Шмидт, "Мужчины и женщины различаются в том, как они решают учиться за границей, исследование показывает", Chronicle of Higher Education, 6 ноября 2009 г.

34. Национальный центр статистики образования, "Количество американских студентов, обучающихся за рубежом, и процентное распределение по полу, расе/этнической принадлежности и другим выбранным характеристикам: Selected Years, 2000-01 to 2018-19" (январь 2021 г.).

35. Лукас Бёттхер и другие, "Гендерный разрыв в программе мобильности ERASMUS", PLoS One (февраль 2016 г.).

36. Марк Х. Солсбери, Майкл Б. Полсен и Эрнест Т. Паскарелла, "Увидеть мир или остаться дома: Применение интегрированной модели выбора студента для изучения гендерного разрыва в намерении учиться за границей", Исследования в области высшего образования (ноябрь 2010 г.), стр. 631.

37. "Быстрые факты", Корпус мира, 30 сентября 2019 года. Что касается Американского корпуса, см. Eric Friedman and others, New Methods for Assessing AmeriCorps Alumni Outcomes: Final Survey Technical Report (Cambridge, MA: Corporation for National and Community Service, August 2016), p. 22.

38. За пять лет, с 2017-2018 по 2021-2022 год, 66 % волонтеров, набранных в VSO (Voluntary Service Overseas), были женщинами. Личное сообщение от Софи Скотт, 23 марта 2022 года.


7. СОЗДАНИЕ МУЖЧИН


1. Скотт Барри Кауфман, "Серьезное отношение к половым различиям в личности", Scientific American, 12 декабря 2019 г.

2. Ронг Су, Джеймс Раундс и Патрик Ян Армстронг, "Мужчины и вещи, женщины и люди: Мета-анализ половых различий в интересах", Psychological Bulletin (ноябрь 2009 г.).

3. Стюарт Дж. Ритчи и другие, "Половые различия в мозге взрослого человека: Evidence from 5216 UK Biobank Participants", Cerebral Cortex (August 2018), p. 2967.

4. Louann Brizendine, The Female Brain (New York: Harmony, 2007), p. 6.

5. Gina Rippon, The Gendered Brain: The New Neuroscience That Shatters the Myth of the Female Brain (New York: Random House, 2019), p. 353.

6. Мелвин Коннер, Women After All: Sex, Evolution, and the End of Male Supremacy (New York: W.W. Norton, 2015), p. 12.

7. Брайан Сайкс, "Нужны ли нам мужчины?", The Guardian, 27 августа 2003 г.

8. Konner, Women After All, p. 24

9. Alice Dreger, Galileo's Middle Finger: Heretics, Activists, and One Scholar's Search for Justice (New York: Penguin Books, 2016), p. 21.

10. Сельма Фельдман Витчел, "Нарушения полового развития", Лучшая практика и исследования в клиническом акушерстве и гинекологии (апрель 2018 г.). См. также Dreger, Galileo's Middle Finger, p. 29.

11. Konner, Women After All, p. 30.

12. Konner, Women After All, p. 213.

13. Рэймонд Х. Бейлларджон и другие, "Гендерные различия в физической агрессии: Проспективное популяционное исследование детей до и после двухлетнего возраста", Психология развития (февраль 2007 г.).

14. Лиз Элиот, "Развитие мозга и физическая агрессия: Как небольшое гендерное различие перерастает в проблему насилия", Current Anthropology (февраль 2021 г.).

15. Управление Организации Объединенных Наций по наркотикам и преступности, Глобальное исследование по убийствам 2013 года (Организация Объединенных Наций, 2013).

16. По словам нейробиолога Роберта Сапольски, тестостерон "преувеличивает уже имеющуюся агрессию". См. Robert Sapolsky, The Trouble with Testosterone (New York: Simon and Schuster, 1997), p. 155.

17. Кэрол Хувен, Тестостерон: The Story of the Hormone that Dominates and Divides Us (London: Octopus Publishing Group, 2022), chap. 7.

18. Десмонд Моррис, "Голая обезьяна: A Zoologist's Study of the Human Animal (New York: Random House, 1994).

19. Джойс Бененсон, Воины и беспокойники: The Survival of the Sexes (Oxford University Press, 2014).

20. Севери Луото и Марко Антонио Корреа Варелла, "Пандемическое лидерство: Половые различия и их эволюционно-развивающие истоки", Frontiers in Psychology (март 2021 г.), p. 618.

21. Джейсон А. Уайлдер, Захра Мобашер и Майкл Ф. Хаммер, "Генетические доказательства неравных эффективных размеров популяции человеческих самок и самцов", Молекулярная биология и эволюция (ноябрь 2004 г.).

22. Джон Тирни, "Пропавшие мужчины на вашем семейном древе", Нью-Йорк Таймс, 5 сентября 2007 г.

23. Рой Баумейстер, "Есть ли что-то хорошее в мужчинах?", доклад, представленный на 115-й ежегодной конвенции Американской психологической ассоциации, 1 января 2007 года.

24. Джозеф Хенрих, Самые странные люди в мире (Нью-Йорк: Farrar, Straus and Giroux, 2020), с. 164.

25. Лена Эдлунд и другие, "Соотношение полов и преступность: Доказательства из Китая", Обзор экономики и статистики (декабрь 2013 г.).

26. Комиссия Фонда героев Карнеги, www.carnegiehero.org.

27. Маргарет Мид, "Мужское и женское: A Study of the Sexes in a Changing World (New York: Morrow, 1949). Цитата взята из введения к изданию "Пеликан" 1962 года, стр. xxvii.

28. Konner, Women After All, p. 211.

29. Рой Ф. Баумейстер, Кэтлин Р. Катанезе и Кэтлин Д. Вохс, "Существуют ли гендерные различия в силе полового влечения? Теоретические взгляды, концептуальные различия и обзор соответствующих доказательств", Personality and Social Psychology Review (August 2001), p. 242.

30. Marianne Legato, Why Men Die First: How to Lengthen Your Lifespan (London: Palgrave Macmillan, 2009), p. 109.

31. Henrich, WEIRDest People in the World, p. 165.

32. Оценки проституции в США см. в книге "Проституция: Цены и статистика глобальной секс-торговли, отчет (Havocscope Books, 2015), и Сексуальная эксплуатация: Новые вызовы, новые ответы, доклад (Scelles Foundation, май 2019 г.). По данным Бюро трудовой статистики, в США насчитывается 260 000 священнослужителей. См. Bureau of Labor Statistics, "Employed Persons by Detailed Occupation, Sex, Race, and Hispanic or Latino Ethnicity", 2020 Labor Force Statistics from the Current Population Survey, January 22, 2021.

33. Риккардо Чиаччи и Мария Микаэла Свиацки, "Влияние развлекательных заведений для взрослых на сексуальную преступность: Данные по Нью-Йорку", Экономический журнал (январь 2022 г.).

34. Мередит Данк и другие, "Оценка размера и структуры подпольной коммерческой секс-экономики в восьми крупных городах США", Институт города, июнь 2016 г.

35. Джуно Мак и Молли Смит, Revolting Prostitutes: The Fight for Sex Workers' Rights (London: Verso Books, 2018).

36. "Самая ранняя порнография?", Science, 13 мая 2009 г.

37. Миранда А. Х. Хорват и другие, По сути... Порно повсюду: Быстрая оценка фактических данных о влиянии доступак порнографии и ее воздействия на детей и подростков (Лондон: Управление уполномоченного по правам ребенка, 2013).

38. Дэвид Гордон и другие, Исследование "Отношения в Америке" (Остинский институт изучения семьи и культуры, 2014).

39. Чинг Сан и другие, "Порнография и мужской сексуальный сценарий: Анализ потребления и сексуальных отношений", Archives of Sexual Behavior (май 2016 г.). См. также Майкл Кастлман, "Сколько времени тратит мир на просмотр порно?", Psychology Today, 31 октября 2020 года.

40. Кевин Митчелл, "Секс в мозгу", Aeon, 25 сентября 2019 года.

41. Sean R. Womack and others, "Genetic Moderation of the Association between Early Family Instability and Trajectories of Aggressive Behaviors from Middle Childhood to Adolescence," Behavior Genetics (September 2021). См. также Sara Palumbo and others, "Genes and Aggressive Behavior: Epigenetic Mechanisms Underlying Individual Susceptibility to Aversive Environments", Frontiers in Behavioral Neuroscience 12 (June 2018), p. 117.

42. Закари Камински и другие, "Эпигенетика черт личности: Иллюстративное исследование идентичных близнецов, дискордантных по рискованному поведению", Twin Research and Human Genetics (февраль 2008 г.).

43. Колтер Митчелл и другие, "Нестабильность семейной структуры, генетическая восприимчивость и благополучие детей", Американский журнал социологии (январь 2015 г.).

44. Henrich, The WEIRDest People in the World, p. 5.

45. Henrich, The WEIRDest People in the World, p. 268.

46. Ли Т. Геттлер и другие, "Лонгитюдное доказательство того, что отцовство снижает тестостерон у человеческих мужчин", Труды Национальной академии наук (сентябрь 2011 г.), стр. 16198.

47. Henrich, The WEIRDest People in the World, pp. 278-81.

48. Шерри Б. Ортнер, "Является ли женщина для мужчины тем же, чем природа для культуры?" в книге "Женщины, культура и общество", под ред. Michealle Zimbalist Rosaldo and Louise Lamphere (Stanford University Press, 1974), pp. 74-5.

49. Энтони В. Клэр, О мужчинах: Мужественность в кризисе (Лондон: Arrow, 2001), с. 1

50. Леонард Кригель, О мужчинах и мужественности (Нью-Йорк: Dutton Adult, 1979), с. 14.

51. Дэвид Д. Гилмор, Мужественность в становлении: Cultural Concepts of Masculinity (Yale University Press, 1991), p. 230.

52. Gilmore, Manhood in the Making, p. 106

53. Уильям Шекспир, Трагедия о Кориолане, Акт 5, Сцена 3.

54. Рой Ф. Баумейстер, Культурное животное: человеческая природа, смысл и социальная жизнь (Oxford University Press, 2005), с. 7.

55. Маргарет Мид, "Мужчина и женщина: A Study of the Sexes in a Changing World (New York: Morrow, 1949), p. 189.

56. Брайан Кеннеди, Ричард Фрай и Кэри Фанк, "6 фактов об американской рабочей силе в области НТИМ и тех, кто ее готовит", Pew Research Center, 14 апреля 2021 года.

57. Ронг Су, "Мужчины и вещи", стр. 859. См. также Стив Стюарт-Уильямс и Льюис Г. Хэлси, "Мужчины, женщины и STEM: почему существуют различия и что следует предпринять?", Европейский журнал личности (2021), с. 3-39.

58. Gijsbert Stoet и David C. Geary, "The Gender-Equality Paradox in Science, Technology, Engineering, and Mathematics Education", Psychological Science (2018), pp. 581-93. В смежном исследовании Гири и Стоет обнаружили аналогичную картину половых различий в ожидаемых профессиях среди подростков в странах ОЭСР. Gijsbert Stoet and David C. Geary, "Sex Differences in Adolescents' Occupational Aspirations: Variations across Time and Place", PLoS One (2022), doi.org/10.1371/journal.pone.0261438.

59. Армин Фальк и Йоханнес Хермле, "Взаимосвязь гендерных различий в предпочтениях с экономическим развитием и гендерным равенством", Science, 19 октября 2018 г., с. 5.

60. Университет Гетеборга, пресс-релиз, 2 октября 2018 г., www.gu.se/en/news/personality-differences-between-the-sexes-are-largest-in-the-most-gender-equal-countries. Основное исследование см. в Erik Mac Giolla and Petri J. Kajonius, "Sex Differences in Personality Are Larger in Gender Equal Countries: Replicating and Extending a Surprising Finding", International Journal of Psychology (декабрь 2019).

61. Ольга Хазан, "Чем больше гендерного равенства, тем меньше женщин в STEM", The Atlantic, 18 февраля 2018 г.

62. Ронг Су, "Люди и вещи", с. 859.

63. Ронг Су и Джеймс Раундс, "Все области НТИМ не созданы равными: Интересы людей и вещей объясняют гендерные различия в областях НТИМ", Frontiers in Psychology (февраль 2015 г.).

64. Американская психологическая ассоциация, "Об APA", www.apa.org/about.

65. Стефани Паппас, "APA выпускает первое в истории руководство по практике с мужчинами и мальчиками", Американская психологическая ассоциация, 2019, стр. 2. См. также American Psychological Association, Boys and Men Guidelines Group, APA Guidelines for Psychological Practice with Boys and Men (2018).

66. Паппас, "APA выпускает первое в истории руководство", стр. 2-3.

67. Леонард Сакс, "Психология как индоктринация: Девочки правят, мальчики пускают слюни?", Институт семейных исследований, 15 января 2019 года.

68. Американская психологическая ассоциация, сообщение в Twitter, январь 2019, 5:21 PM.

69. Американская психологическая ассоциация, Руководство по психологической практике с девочками и женщинами (2007).

70. Ювенальная юстиция в рамках развития: A 2015 Status Report (New York: MacArthur Foundation, 2015).

71. Джон Фергюссон Роксбург, Элеутерос; или Будущее государственных школ (Лондон: Кеган Пол, 1930).

72. "Титаник: Демографические данные пассажиров", www.icyousee.org/titanic.html.


8. ПРОГРЕССИРУЮЩАЯ СЛЕПОТА


1. "Карта самых образованных округов США", Databayou, https://databayou.com/education/edu.html.

2. Элис Парк и другие, "Чрезвычайно подробная карта выборов 2020 года", New York Times, обновлено 30 марта 2021 года.

3. Валери Бонк, "Montgomery Co. Schools Add Third Gender Option for Students", WTOP News, 24 августа 2019 г.

4. Линдси Эшкрафт и Скотт Стамп, "Девочки-подростки из средней школы в Мэриленде дали отпор после обнаружения списка с рейтингом их внешности", Today, 28 марта 2019 г.; Кэтрин Торбеке, "После того как одноклассники оценили их внешность, эти девочки-подростки создали движение за изменение культуры "мальчики будут мальчиками"", ABC News, 28 марта 2019 г.; Саманта Шмидт, "Мальчики-подростки оценили своих одноклассниц по внешности. Девочки дали им отпор", Washington Post, 26 марта 2019 г.

5. Карли Стерн, "Студентки из списка "Горячо или нет" требуют от школы более активных действий", Daily Mail, 8 ноября 2021 г.

6. Я не собираюсь называть имена тех, кто в этом участвует.

7. "Первая поправка и свобода", C-SPAN, 17 декабря 2019 года.

8. См. например, Frank Pittman, Man Enough: Fathers, Sons, and the Search for Masculinity (New York: Putnam, 1993), и T. A. Kupers, "Toxic Masculinity as a Barrier to Mental Health Treatment in Prison", Journal of Clinical Psychology (June 2005). Куперс использовал этот термин для обозначения "констелляции социально регрессивных мужских черт, которые способствуют доминированию, обесцениванию женщин, гомофобии и беспричинному насилию", стр. 714.

9. Кэрол Харрингтон, "Что такое "токсичная мужественность" и почему она имеет значение?", Мужчины и мужественность (июль 2020 г.), стр. 2.

10. Аманда Маркотт, "Нация гиперкомпенсации: Пора признать, что токсичная мужественность порождает насилие с применением огнестрельного оружия", Salon, 23 июня 2016 года.

11. Элдра Джексон III, "Как мужчины в новой тюрьме Фолсом борются с токсичной мужественностью", Лос-Анджелес Таймс, 30 ноября 2017 г.

12. Мэгги Коэрт, "Наука говорит, что токсичная мужественность - больше, чем алкоголь, - приводит к сексуальным нападениям", FiveThirtyEight, 26 сентября 2018 г.

13. Рэйчел Хози, "Проснувшийся папа: Феминистский папа, бросающий вызов токсичной маскулинности и сталкивающийся с оскорблениями правых", Independent, 20 июня 2017 года.

14. Даниэль Пакетт, "Токсичная мужественность буквально вредна для планеты, согласно исследованию", Sydney Morning Herald, 1 сентября 2016 г.

15. Дэн Хиршман, "Вызвали ли братья финансовый кризис? Гегемонная маскулинность в "Большой короткой"", Scatterplot (блог), 27 августа 2016 года.

16. Джеймс Миллар, "Брекситеры представляют собой четыре лица токсичной мужественности", New Statesman, 5 июля 2018 года.

17. Джаред Йейтс Секстон, "Токсичная мужественность Дональда Трампа", New York Times, 13 октября 2016 г.

18. Алиша Харидасани Гупта, "Как отвращение к маскам проистекает из "токсичной мужественности"", New York Times, 22 октября 2020 г.

19. Пегги Оренштейн, "Неправильное воспитание американского мальчика", The Atlantic, январь 2020 г.

20. Дэн Кассино и Ясемин Бесен-Кассино, "О масках и мужчинах? Гендер, пол и защитные меры во время COVID-19", Politics & Gender (август 2020 г.). Обратите внимание, что существуют некоторые партийные различия в силе гендерной идентичности. Мужчины и женщины-республиканцы чаще считают себя "полностью" мужественными и женственными; демократы и независимые чаще считают себя "в основном" мужественными или женственными.

21. Ким Паркер, Джулиана Менаше Хоровиц и Рене Степлер, "О гендерных различиях, нет консенсуса по вопросу "природа против воспитания"", Pew Research Center, декабрь 2017 г.

22. Хелен Льюис, "Чтобы узнать о крайне правых, начните с "маносферы"", The Atlantic, 7 августа 2019 г.

23. Сотрудники PRRI, "Дуэли реальностей: На фоне многочисленных кризисов сторонники Трампа и Байдена видят разные приоритеты и будущее для страны", PRRI, 19 октября 2020 г.

24. Сотрудники PRRI, "Дуэль реальностей". Точные цифры: 60 % и 63 % согласных на каждый вопрос среди республиканцев соответственно, по сравнению с 24 % и 23 % среди демократов.

25. Кэтрин Моррис, "Менее трети американских женщин считают себя феминистками", Ipsos, 25 ноября 2019 года. При этом наблюдаются значительные партийные различия: 48 % женщин-демократов приняли ярлык феминисток, в то время как среди женщин-республиканцев их всего 13 %.

26. "Феминизм: Даты проведения полевых работ: 3-6 августа 2018 года", YouGov, август 2018 года.

27. ContraPoints, "Мужчины", YouTube (видео), 23 августа 2019 г.

28. Проект "Пол, гендер и COVID-19", "Трекер данных COVID-19 с разбивкой по полу", Global Health 50/50, 27 октября 2021 года.

29. Ричард В. Ривз и Бейонд Денг, "По крайней мере на 65 000 мужчин больше, чем женщин, умерло от COVID-19 в США", Институт Брукингса, 19 октября 2021 года. Данные обновлены по данным CDC.

30. Хосе Мануэль Абурто и другие, "Количественная оценка последствий пандемии COVID-19 через потери продолжительности жизни: Исследование на уровне населения 29 стран", Международный журнал эпидемиологии (сентябрь 2021 г.).

31. Управление национальной статистики Великобритании, "Смертность от коронавируса (COVID-19) по роду занятий, Англия и Уэльс: Смерти, зарегистрированные в период с 9 марта по 28 декабря 2020 года".

32. "Подавляющее большинство программных мероприятий по профилактике и устранению последствий COVID-19 для здоровья в значительной степени игнорирует роль гендера", в докладе "Гендерное равенство: Flying Blind in a Time of Crisis, отчет (Global Health 50/50, 2021), стр. 18.

33. Джордж М. Бвайр, "Коронавирус: Почему мужчины более уязвимы к COVID-19, чем женщины", SN Comprehensive Clinical Medicine (июнь 2020 г.).

34. Джоанн Мишель Д. Гомес и другие, "Половые различия в госпитализации и смертности при COVID-19", Журнал женского здоровья (апрель 2021 г.). См. также Лина Якуб, Ислам Й. Эльгенди и Карл Дж. Пепин, "Половые и гендерные различия в COVID-19: More to Be Learned!", American Heart Journal Plus: Cardiology Research and Practice (2021); и Hannah Peckham and others, "Male Sex Identified by Global COVID-19 Meta-analysis as a Risk Factor for Death and ITU Admission", Nature Communications (December 9, 2020).

35. Марианна Дж. Легато, "Слабый пол", Нью-Йорк Таймс, 17 июня 2006 года. См. также ее книгу "Почему мужчины умирают первыми: как увеличить продолжительность жизни" (Лондон: Palgrave Macmillan, 2009).

36. Министерство здравоохранения и социальных служб, 2022 финансовый год, www.hhs.gov/sites/default/files/fy2022-gdm-operating-plan.pdf.

37. Люк Тернер, "Помещая мужчин в кадр: Образы новой мужественности", The Guardian, 16 февраля 2020 г.

38. Кэтрин Пейдж Харден, "Почему прогрессисты должны принять генетику образования", New York Times, 24 июля 2018 года. Вторая цитата взята из ее книги "Генетическая лотерея: Why DNA Matters for Social Equality (Princeton University Press, 2022), p. 179.

39. Рэймонд Х. Бейлларджон и другие, "Гендерные различия в физической агрессии: Проспективное популяционное исследование детей до и после двухлетнего возраста", Психология развития (январь 2007 г.).

40. Кейт Манн, Down Girl: The Logic of Misogyny (New York: Oxford University Press, 2017), p. 79.

41. Например, Melvin Konner, Women After All (New York: W.W. Norton, 2015) и Daniel Amen, Unleash the Power of the Female Brain: Supercharging Yours for Better Health, Energy, Mood, Focus, and Sex (New York: Harmony, 2013).

42. Стив Стюарт-Уильямс и другие, "Реакция на половые различия между мужчинами и женщинами: Предварительно зарегистрированный эксперимент и репликация в Юго-Восточной Азии", Британский журнал психологии (июль 2020 г.).

43. Элис Х. Игли и Антонио Младинич, "Есть ли у людей предрассудки в отношении женщин? Некоторые ответы из исследований отношения, гендерных стереотипов и суждений о компетентности", European Review of Social Psychology (1994), p. 13.

44. Konner, Women After All, p. 228.

45. Эрин Спенсер Сайрам, "Байден и Харрис формируют Совет по гендерной политике при Белом доме", Forbes, 22 января 2021 года.

46. Национальная стратегия гендерного равенства и справедливости, октябрь 2021 года, https://www.whitehouse.gov/wp-content/uploads/2021/10/National-Strategy-on-Gender-Equity-and-Equality.pdf.

47. Национальный центр статистики образования, "Таблица 233.28. Процент учащихся, получивших отдельные дисциплинарные взыскания в государственных начальных и средних школах, по типу дисциплинарного взыскания, статусу инвалидности, полу и расе/этнической принадлежности: 2013-14," Министерство образования США.

48. "Uninsured Rates for Nonelderly Adults by Sex 2019," Kaiser Family Foundation, State Health Facts.

49. "Информационный бюллетень: Национальная стратегия по гендерному равенству и равноправию", Белый дом, 22 октября 2021 года.

50. Хелен Льюис, "Коронавирус - катастрофа для феминизма", The Atlantic, 19 марта 2020 года.

51. Алисия Сассер Модестино, "Кризис ухода за детьми, вызванный коронавирусом, отбросит женщин на поколение назад", Washington Post, 29 июля 2020 года.

52. Электронное письмо, отправленное 2 декабря 2020 г., "Ускорим достижение гендерного равенства и справедливости в США и во всем мире".

53. Отчет о глобальном гендерном разрыве 2021 (Женева, Швейцария: Всемирный экономический форум, 2021).

54. Ричард Ривз и Фариха Хаке, Измерение гендерного равенства: Модифицированный подход (Институт Брукингса, готовится к выпуску в 2022 году).

55. Франсиско Феррейра, "Мужчины - новый слабый пол? Рост обратного гендерного разрыва в образовании", Всемирный банк, 26 июня 2018 года.

56. Ханна Розин, "Новые данные о росте числа женщин", выступление на TED (видео), декабрь 2010 г.


9. ВИДЕТЬ КРАСНОЕ


1. Джош Хоули, "Senator Hawley Delivers National Conservatism Keynote on the Left's Attack on Men in America", November 1, 2021, www.hawley.senate.gov/senator-hawley-delivers-national-conservatism-keynote-lefts-attack-men-america.

2. Дэниел Вилларреал, "Законопроект об обороне не потребует от женщин записываться на призыв", Newsweek, 6 декабря 2021 г.

3. Даниэль Пакетт, "Неожиданные избиратели, стоящие за самым широким гендерным разрывом в истории выборов", Washington Post, 9 ноября 2016 г.

4. Pew Research Center, "Для большинства избирателей Трампа "очень теплые" чувства к нему сохраняются: Исследование электората 2016 года, основанное на проверенных избирателях", 9 августа 2018 года.

5. Пакетт, "Неожиданные избиратели", Вашингтон Пост, 9 ноября 2016 г.

6. Джейн Грин и Розалин Шоррокс, "Гендерная реакция при голосовании за Brexit", Political Behavior (апрель 2021).

7. Джереми Даймонд, "Трамп говорит, что сейчас "очень страшное время для молодых мужчин в Америке"", CNN, 2 октября 2018 г.

8. PRRI, "Лучше или хуже с 1950-х годов? Сторонники Трампа и Клинтон расходятся во мнениях о прошлом и будущем страны", 25 октября 2016 г.

9. Evan Osnos, Wildland: The Making of America's Fury (New York: Farrar, Straus and Giroux, 2021), p. 256.

10. Панкадж Мишра, "Кризис современной мужественности", The Guardian, 17 марта 2018 г.

11. "Мужчины в дрейфе: Плохо образованные мужчины в богатых странах плохо адаптировались к торговле, технологиям или феминизму", The Economist, 28 мая 2015 года.

12. "Антииммигрантские шведские демократы не смогли пробиться", The Economist, 13 сентября 2018 г.

13. Катрин Беннхольд, "Одно из наследий Меркель? Злобные восточногерманские мужчины, подпитывающие ультраправых", New York Times, 5 ноября 2018 года.

14. С. Натан Парк, "Внутри выборов инселов в Южной Корее", UnHerd, 16 февраля 2022 года.

15. Рафаэль Рашид, ""Опустошенные": Gender Equality Hopes on Hold as 'Anti-feminist' Voted South Korea's President," The Guardian, March 11, 2022.

16. India Today, "Пакистанец Имран Хан говорит, что феминизм принизил роль матери", 18 июня 2018 г. См. также Шивон О'Грейди, "Эрдоган заявил на феминистском саммите, что женщины не равны мужчинам", Foreign Policy, 24 ноября 2014 г.; Фелипе Вилламор, "Дутерте снова шутит об изнасиловании. Филиппинские женщины не смеются", New York Times, 31 августа 2018 г.

17. Эд Уэст, "Как одинокие мужчины и женщины делают политику более экстремальной", The Week, 4 августа 2017 г.

18. Кристина Хофф Соммерс, "Война против мальчиков: как заблуждающийся феминизм вредит нашим молодым мужчинам" (Нью-Йорк: Simon & Schuster, 2001). См. также Suzanne Venker, The War on Men (Chicago: WND Books, 2016).

19. Рафаэль Рашид, "Претенденты на пост президента Южной Кореи продвигают антифеминистскую повестку дня", Nikkei Asia, 24 ноября 2021 г.

20. Дэн Кассино, "Почему все больше американских мужчин чувствуют дискриминацию", Harvard Business Review, 29 сентября 2016 г.

21. Эндрю Рафферти, "Круз нападает на Трампа за комментарии о туалетах для трансгендеров", NBC News, 21 апреля 2016 г.

22. Джеффри М. Джонс, "Идентификация ЛГБТ повысилась до 5,6 % по последним оценкам в США", Gallup, 24 февраля 2021 года.

23. Верховный суд США, Босток против округа Клейтон, штат Джорджия: Certiorari to the United States Court of Appeals for the Eleventh Circuit, No. 17-1618-Decided June 15, 2020, p. 1.

24. Лара Джейкс, "M, F или X? В американских паспортах скоро появится еще один вариант указания пола", New York Times, 30 июня 2021 года.

25. Movement Advancement Project, "Карты равенства: Законы и политика в отношении документов, удостоверяющих личность", 3 марта 2022 года, www.lgbtmap.org/equality-maps/identity_document_laws.

26. Лора Бейтс, "Мужчины, которые ненавидят женщин" (Лондон: Simon & Schuster, 2021), с. 10.

27. Дэвид Брукс, "Момент Джордана Петерсона", New York Times, 25 января 2018 г.

28. Джордан Б. Петерсон, 12 правил для жизни: An Antidote to Chaos (New York: Penguin, 2018). См. также Zack Beauchamp, "Jordan Peterson, the Obscure Canadian Psychologist Turned Right-Wing Celebrity, Explained," Vox, May 21, 2018.

29. "Джордан Петерсон объясняет свою теорию о лобстерах и мужчинах", YouTube (видео), 31 января 2018 г.

30. Роберт Блай, Железный Джон: книга о мужчинах, издание, посвященное 25-летию (Бостон: Da Capo Press, 2004), стр. 2 и 6.

31. Джефф Денч, Трансформация мужчин: Changing Patterns of Dependency and Dominance in Gender Relations (New Brunswick, NJ: Transaction, 1996).

32. "Дебаты Джордана Петерсона о гендерном разрыве в оплате труда, протестах в кампусе и постмодернизме", Channel 4 News, 16 января 2018 г.

33. Генри Мэнс, "Джордан Петерсон: "Единственное, в чем я не наивен"", Financial Times, 1 июня 2018 г.

34. Чарльз Мюррей, "Человеческое разнообразие" (Нью-Йорк: Hachette, 2020), с. 302.

35. Джулиана Менаше Хоровиц и Рут Игельник, "Спустя столетие после того, как женщины получили право голоса, большинство американцев считают, что им еще предстоит сделать многое для достижения гендерного равенства", Pew Research Center, 7 июля 2020 г.

36. Дэн Кассино, "Даже мысль о том, что они зарабатывают меньше, чем их жены, меняет поведение мужчин", Harvard Business Review, 19 апреля 2016 г.

37. Джордж Гилдер, Мужчины и брак (Гретна, Лос-Анджелес: Пеликан, 1992), с. 81.

38. Кэти Хафнер, "Революция грядет, в конце концов", Нью-Йорк Таймс, 19 октября 2003 года.

39. Гилдер, Мужчины и брак, с. 13-15.

40. Dench, Transforming Men, p. 16.

41. Венди Ванг, Ким Паркер и Пол Тейлор, "Мамы-кормилицы", Pew Research Center, 29 мая 2013 г. См. также Pew Research Center, "Тяжелая жизнь работающей матери", 1 октября 2009 г.

42. Артур Шлезингер-младший, "Кризис американской мужественности", Esquire Classic, 1 ноября 1958 года.

43. Маргарет Мид, Некоторые личные взгляды (Нью-Йорк: Уокер, 1979), с. 48.

44. Ayaan Hirsi Ali, Prey: Immigration, Islam, and the Erosion of Women's Rights (New York: HarperCollins, 2021), pp. 242-43.


10. ПЕРЕОБУТЬ МАЛЬЧИКОВ


1. Маргарет Мид, Некоторые личные взгляды (Нью-Йорк: Уокер, 1979), с. 43. Она написала это в ответ на вопрос читателя в журнале Redbook в октябре 1974 года.

2. Малкольм Гладуэлл, Outliers: История успеха (Boston: Little, Brown, 2008), p. 8.

3. EdChoice, "Общественность, родители и образование К-12", Morning Consult, сентябрь 2021 г.

4. EdChoice, "Учителя и образование К-12: Отчет о национальном опросе", Morning Consult, октябрь 2021 года [проведен 10-19 сентября 2021 года], стр. 19.

5. Дайан Уитмор Шанценбах и Стефани Ховард Ларсон, "Готов ли ваш ребенок к детскому саду?", Education Next (17 апреля 2017 г.).

6. Дафна Бассок и Шон Ф. Рирдон, ""Академический отсев" в детском саду: Prevalence, Patterns & Implications," Educational Evaluation and Policy Analysis (February 2013). Что касается данных об учителях, то я опираюсь на результаты опроса педагогов, проведенного компанией RAND, в который осенью 2021 года по моей просьбе были включены некоторые вопросы об отчислении. Учителя в три раза чаще откладывали поступление в школу для своих сыновей, чем для дочерей.

7. Шанценбах и Ларсон, "Готов ли ваш ребенок".

8. Бассок и Рирдон, ""Академический отсев" в детском саду".

9. Томас С. Ди и Ханс Хенрик Зиверстен, "Дар времени? Возраст начала обучения в школе и психическое здоровье", рабочий документ 21610 (Кембридж, Массачусетс: Национальное бюро экономических исследований, октябрь 2015 г.). См. также Suzanne Stateler Jones, "Academic Red-Shirting: Perceived Life Satisfaction of Adolescent Males", Техасский университет A&M, диссертация (май 2012 г.). См. также Дэвид Деминг и Сьюзан Динарски, "Удлинение детства", Journal of Economic Perspectives (лето 2008 г.).

10. Элизабет У. Касио и Дайан Уитмор Шанценбах, "Первый в классе? Возраст и производственная функция образования", Финансы и политика в сфере образования (лето 2016 г.), стр. 244.

11. Национальный центр статистики образования, "Таблица 17a. Процент учащихся государственных школ с детского сада по 12 класс, которые когда-либо повторяли курс обучения, по полу и расе/этнической принадлежности: 2007 год" (июль 2010 г.). См. также Nancy Frey, "Retention, Social Promotion, and Academic Redshirting: Что мы знаем и должны знать?", Специальное образование (ноябрь 2005 г.).

12. Philip J. Cook and Songman Kang, "The School-Entry-Age Rule Affects Redshirting Patterns and Resulting Disparities in Achievement," Working Paper 24492 (Cambridge, MA: National Bureau of Economic Research, April 2018).

13. Стейтлер Джонс, "Академический редширтинг". См. также Jennifer Gonzalez, "Kindergarten Redshirting: Как дети относятся к этому позже в жизни", Культ педагогики, 24 апреля 2016 г.

14. Уильям Эллери Сэмюэлс и другие, "Предсказание среднего балла с помощью исполнительного функционирования, оцениваемого учителями и самими подростками", European Educational Researcher (октябрь 2019 г.).

15. Деминг и Динарски, "Удлинение детства", стр. 86.

16. Комиссия штатов по образованию, "Законы об обязательном посещении школы, минимальные и максимальные возрастные ограничения для обязательного бесплатного образования, по штатам: 2017 год", Национальный центр статистики образования, nces.ed.gov/programs/statereform/tab1_2-2020.asp.

17. Деминг и Динарски, "Удлинение детства", стр. 86.

18. Ричард В. Ривз, Элиана Бакнер и Эмбер Смит, "Неофициальный гендерный разрыв в показателях окончания средней школы", Институт Брукингса, 12 января 2021 года.

19. National Center for Education Statistics, "Graduation Rate from First Institution Attended within 150 Percent of Normal Time for First-Time, Full-Time Degree/Certificate-Seeking Students at 2-Year Postsecondary Institutions, by Race/Ethnicity, Sex, and Control of Institution: Selected Cohort Entry Years, 2000 to 2016" (август 2020 г.).

20. Кристен Льюис, "A Decade Undone: 2021 Update," Measure of America of the Social Science Research Council (July 2021).

21. Комиссия США по равным возможностям в сфере занятости, "Раздел VII Закона о гражданских правах 1964 года".

22. Соединенные Штаты против Вирджинии и др., 518 США 515 (1996), стр. 517.

23. В классе 2021 года было 60 кадетов-женщин и 420 кадетов-мужчин. См. "Сводка о зачислении осенью 2017 года", Виргинский военный институт.

24. Соединенные Штаты против Вирджинии и других, стр. 515.

25. ОЭСР, "Азбука гендерного равенства в образовании: Способности, поведение, уверенность" (Париж: Издательство ОЭСР, 2015).

26. Национальный центр статистики образования, "Число учащихся, получивших отдельные дисциплинарные взыскания в государственных начальных и средних школах, с разбивкой по видам дисциплинарных взысканий, статусу инвалидности, полу и расе/этнической принадлежности: 2013-14 гг.".

27. Национальный центр статистики образования, "Таблица 233.20, Процент учащихся государственных школ в классах с 6 по 12, которые когда-либо были отстранены от занятий или исключены из школы, в разбивке по расе/этнической принадлежности и полу: Selected Years, 1993 to 2019." О тенденции см. Ричард М. Ингерсолл и другие, "Семь тенденций: The Transformation of the Teaching Force-Updated October 2018", University of Pennsylvania, CPRE Research Reports, 2018.

28. Статистика образования и профессиональной подготовки в Великобритании, "Количество учителей в эквиваленте полного рабочего дня для "количества учителей" в начальной, средней, основной школе, женщин и мужчин в Англии, Северной Ирландии, Шотландии, Соединенном Королевстве и Уэльсе в период с 2015/16 по 2019/20 год". См. также Ким Хен Бин, "Учителя-мужчины становятся редкой породой", Korea Times, 15 марта 2018 г.

29. Ингерсолл и другие, "Семь тенденций", с. 14.

30. Процитировано в Nathan Hegedus, "In Praise of the Dude Teaching at My Son's Preschool", Huffington Post, 19 марта 2012 г.

31. Томас С. Ди, "Хромосома "почему": Как пол учителя влияет на мальчиков и девочек", Education Next (осень 2006 г.). См. также Сари Муллола и другие, "Гендерные различия в восприятии учителями темперамента, образовательной компетентности и обучаемости учеников", Британский журнал психологии образования (2012).

32. Лорен Сартайн и другие, "Когда девочки превосходят мальчиков: гендерный разрыв в оценках по математике в средней школе", Университет Северной Каролины, 2022.

33. Урсина Шеде и Вилле Манкки, "Квота против качества? Долгосрочные выгоды от необычной гендерной квоты", рабочий документ, представленный на заседании программы государственной экономики Национального бюро экономических исследований, весна 2022 года.

34. Siri Terjesen, Ruth V. Aguilera, and Ruth Lorenz, "Legislating a Woman's Seat on the Board: Институциональные факторы, определяющие гендерные квоты для советов директоров", Journal of Business Ethics (февраль 2014 г.).

35. Ди, "Хромосома "почему"". См. также Сари Муллола и другие, "Гендерные различия в восприятии учителями темперамента, образовательной компетентности и обучаемости учеников", Британский журнал психологии образования (2012).

36. Seth Gershenson and others, "The Long-Run Impacts of Same-Race Teachers," Working Paper 25254 (Cambridge, MA: National Bureau of Economic Research, November, 2018, revised February 2021).

37. Лизетт Партелоу, "Что делать со снижением числа учащихся на программах подготовки учителей", Центр американского прогресса, 3 декабря 2019 года.

38. Национальный центр статистики образования, "Таблица 313.20, Full-Time Faculty in Degree-Granting Postsecondary Institutions, by Race/Ethnicity, Sex, and Academic Rank: Fall 2017, Fall 2018, and Fall 2019."

39. Жаклин Биксель и Джаспер Макчесни, "Гендерный разрыв в оплате труда и представленность женщин на административных должностях в высшем образовании: The Century So Far", Профессиональная ассоциация по управлению персоналом колледжей и университетов, февраль 2017 г.

40. Мелисса Тротта, "Будущее лидерства в высшем образовании", Ассоциация советов управляющих университетов и колледжей, 14 сентября 2021 года.

41. "Занятые лица в разбивке по профессиям, полу, расе, испаноязычной или латиноамериканской этнической принадлежности", Бюро статистики труда США.

42. Женщины составляют 7 % пилотов и 12 % штурманов в ВВС США. См. Кадровый центр ВВС, "Демографические показатели военнослужащих ВВС", актуальные на 30 сентября 2021 года.

43. Кирстен Коул и другие, "Создание гендерно сбалансированной рабочей силы", Young Children (сентябрь 2019 г.).

44. Алия Вонг, "Преподавательский состав США становится все больше, и все больше женщин", The Atlantic, 20 февраля 2019 г.

45. См. примечание 27.

46. Кристина А. Сэмюэлс, "Создание сообщества для чернокожих учителей", EdWeek, 17 февраля 2021 г.

47. Эстебан М. Аучехо и Джонатан Джеймс, "Путь к образованию в колледже: The Role of Math and Verbal Skills", Journal of Political Economy (январь 2019).

48. См. примечание 27.

49. Энтони П. Карневале, Бан Чеа и Эмма Венцингер, "Оплата колледжа: Большее образование не всегда означает больший заработок", Центр образования и рабочей силы Джорджтаунского университета, 2021.

50. Бюро статистики труда, "Занятые лица с разбивкой по профессиям, полу, расе и испаноязычной или латиноамериканской этнической принадлежности", статистика рабочей силы за 2020 год по данным текущего обследования населения, 22 января 2021 года.

51. Fredrik deBoer, The Cult of Smart: How Our Broken Education System Perpetuates Social Injustice (New York: All Points Books, 2020).

52. Гийсберт Стоет и Дэвид К. Гири, "Гендерные различия в путях получения высшего образования", Труды Национальной академии наук (июнь 2020 г.).

53. Национальный центр статистики образования, "Таблица H175, Среднее количество зачетных единиц и процент от общего количества зачетных единиц, полученных выпускниками государственных средних школ в каждой учебной и предметной области: 1992, 2004 и 2013 гг.".

54. Орен Касс, "Как учится другая половина: Reorienting an Education System That Fails Most Students", Манхэттенский институт, август 2018 года.

55. Джозеф Фишкин, Bottlenecks: A New Theory of Equal Opportunity (Oxford University Press, 2014).

56. Национальная коалиция академий карьеры, "Академии карьеры меняют жизнь каждый день".

57. Джеймс Дж. Кемпл и Синтия Дж. Уиллнер, "Академии карьеры: Долгосрочное воздействие на результаты на рынке труда, получение образования и переход к взрослой жизни", MDRC, июнь 2008 г.

58. Эрик Бруннер, Шон Догерти и Стивен Л. Росс, "Эффекты карьерного и технического образования: Evidence from the Connecticut Technical High School System," Working Paper 28790 (Cambridge, MA: National Bureau of Economic Research, May 2021).

59. Marianne Bertrand, Magne Mogstad, and Jack Mountjoy, "Improving Educational Pathways to Social Mobility: Evidence from Norway's 'Reform 94', " Working Paper 25679 (Cambridge, MA: National Bureau of Economic Research, March 2019), p. 42.

60. Брайан А. Джейкоб, "Что мы знаем о карьерном и техническом образовании в средней школе", Институт Брукингса, 7 октября 2017 г.

61. Perkins Collaborative Resource Network, www.cte.ed.gov/legislation/perkins-v.

62. DataLab, "Федеральные инвестиции в высшее образование", 2018.

63. Национальный центр статистики образования, "Образовательные учреждения", "Быстрые факты", 2017-18 гг.

64. Люсинда Грей, Лори Льюис и Джон Ральф, "Программы карьеры и технического образования в государственных школьных округах: 2016-17", Министерство образования США, апрель 2018 г.

65. Моя оценка в 4 миллиарда долларов, скорее всего, завышена. В средней школе учатся 847 человек. Я предполагаю, что субсидия федерального правительства на новые технические школы составит 5 000 долларов на ученика (это больше, чем 4 000 долларов дополнительных расходов, о которых сообщили в Коннектикуте, более дорогом штате, чем большинство других). 1 000 × 847 × 5 000 долларов = 4,2 миллиарда долларов.

66. Комитет по образованию и труду, "Chairman Scott Praises Passage of the National Apprenticeship Act of 2021", пресс-релиз, Палата представителей Конгресса США, 5 февраля 2021 года.

67. Министерство труда США, "Данные и статистика: Registered Apprenticeship National Results Fiscal Year 2020," 2020. Международные сравнения см. в OECD/ILO, Engaging Employers in Apprenticeship Opportunities (2017), рис. 1.2.

68. Гарри Дж. Хольцер и Зейу Сюй, "Пути в муниципальные колледжи для студентов из неблагополучных семей", Community College Review (15 апреля 2021 г.).

69. Подробное предложение на этот счет см. в книге Austan Goolsbee and others, A Policy Agenda to Develop Human Capital for the Modern Economy, Aspen Economic Strategy Group, 2019.

70. Касс, "Как учится вторая половина", с. 5-6.

71. Шотландский совет по финансированию, "Ежегодный отчет о ходе выполнения плана действий по гендерным вопросам", 30 января 2019 г.

72. C. Kirabo Jackson, "The Effect of Single-Sex Education on Test Scores, School Completion, Arrests, and Teen Motherhood: Evidence from School Transitions," Working Paper 22222 (Cambridge, MA: National Bureau of Economic Research, May 2016).

73. Эрин Пахлке, Джанет Шибли Хайд и Карли М. Эллисон, "Влияние однополого обучения по сравнению с совместным обучением на успеваемость и отношение учащихся: Мета-анализ", Psychological Bulletin (2014).

74. Michael Gurian and Patricia Henley with Terry Trueman, Boys and Girls Learn Differently! Руководство для учителей и родителей (Сан-Франциско: Jossey Bass, 2002).


11. ЛЮДИ МОГУТ ИСЦЕЛЯТЬ


1. Маргарита Торре, "Стопгапперы? Профессиональные траектории мужчин в профессиях с преобладанием женского труда", Работа и профессия (июнь 2018 г.).

2. Глория Стайнем, The Truth Will Set You Free, But First It Will Piss Off! (New York: Random House, 2019), p. 64.

3. Джером Кристенсон, "Ramaley Coined STEM Term Now Used Nationwide", Winona Daily News, 13 ноября 2011 г.

4. В соответствии с кодами стандартной классификации занятий 2018 года в данных IPUMS American Community Survey конкретная профессия "математик" сгруппирована с "другими профессиями в области математических наук" и "статистиками". Если не указано иное, все анализы профессий, приведенные в данной главе, рассчитаны на гражданских работников в возрасте от 25 до 54 лет, работающих полный рабочий день круглый год, с положительным заработком в 2019 году. Прогнозы занятости взяты из Бюро статистики труда, "Прогнозы профессий, 2020-30, и характеристики работников, 2020", таблица 1.7.

5. При определении профессий HEAL я в точности следую подходу, использованному Бюро переписи населения при определении STEM в соответствии с рекомендациями Комитета по стандартной классификации профессий (SOC) в 2012 году. См. "Варианты определения профессий STEM в системе SOC 2010 года", Бюро трудовой статистики, август 2012 года. Более подробно о моем подходе см. в Richard Reeves and Beyond Deng, "Women in STEM, Men in HEAL: Jobs for the Future," Brookings Institution, forthcoming 2022.

6. Обратите внимание, что женщины составляют большинство (64%) среди социологов, которые входят в категорию STEM.

7. Категория профессий социальных работников включает четыре подкатегории: Социальные работники по работе с детьми, семьями и школами; социальные работники в сфере здравоохранения; социальные работники в сфере психического здоровья и злоупотребления психоактивными веществами; и все остальные социальные работники. См. также Джек Фишл, "Почти 82 процента социальных работников - женщины, и это вредит мужчинам", Mic, 25 марта 2013 г.

8. Дэвид Дж. Деминг, "Растущая важность социальных навыков на рынке труда", Ежеквартальный журнал экономики (ноябрь 2017 г.), стр. 1593.

9. Обратите внимание, что в прогнозах BLS, на которых основан этот анализ, используется несколько иная выборка, чем в результатах обследования американского сообщества, которые я привожу в другом месте. См. BLS, таблица 1.7, "Прогнозы профессий на 2020-30 гг. и характеристики работников", 2020. Более подробную информацию см. в Reeves and Deng, "Women in STEM, Men in HEAL".

10. Все эти данные о доходах соответствуют медианным показателям для работников этих профессий зрелого возраста с полной занятостью в 2019 году.

11. Министерство здравоохранения и социальных служб США, Управление ресурсов и услуг здравоохранения, Национальный выборочный опрос дипломированных медсестер 2018 года.

12. Бюро статистики труда, "Прогнозы профессий, 2020-30, и характеристики работников, 2020", таблица 1.7.

13. Университет Сент-Августина по наукам о здоровье, "Выгорание медсестер: Риски, причины и меры предосторожности", июль 2020 г.

14. Луис Пилла, "Это может быть немного больно: хроническая нехватка медсестер стала острой", Daily Nurse, 22 июля 2021 г.

15. Эрнест Грант, письмо достопочтенному Ксавьеру Бекерре, секретарю Министерства здравоохранения и социальных служб, Американская ассоциация медсестер, 1 сентября 2021 г., стр. 1.

16. Майкл Топчик и другие, "Кризисы сталкиваются: The COVID-19 Pandemic and the Stability of the Rural Health Safety Net (The Chartis Group, 2021). Конкретные цифры, которые я привожу, не фигурируют в основном отчете, но содержатся в полных результатах опроса, предоставленных мне компанией Chartis, а также в отчете Дилана Скотта, "Why the US Nursing Crisis Is Getting Worse", Vox, November 8, 2021.

17. Амандад Перкинс, "Нехватка медсестер: Последствия и решения", Nursing Made Incredibly Easy (сентябрь/октябрь 2021 г.).

18. Энни Баттнер, "Нехватка учителей, выпуск 2021 года", Frontline Education, 19 апреля 2021 года.

19. Рафаэль Хеллер и Тереза Престон, "Преподавание: уважение, но уменьшение привлекательности", Kappan, сентябрь 2018 г.

20. Лизетт Партелоу, "Что делать со снижением числа учащихся на программах подготовки учителей", Центр американского прогресса, 3 декабря 2019 года.

21. Морган Ли и Седар Аттанасио, "Нью-Мексико просит охранников заменить заболевших учителей в условиях омикрона", AP News, 19 января 2022 г.; Дэвид Шуман, "Школа города Твин Сити ищет родителей, чтобы облегчить нехватку учителей-заместителей", CBS Minnesota, 5 октября 2021 г.; Джастин Мэтьюс, "60 иностранных педагогов наняты, чтобы заполнить нехватку учителей в округе Полк", Fox 13 News Tampa Bay, 11 октября 2021 г.

22. Дэвид Вимер и Рональд Ф. Левант, "Связь маскулинности и стиля поиска помощи с поведением мужчин колледжа, ищущих помощи в учебе", Журнал мужских исследований (октябрь 2011 г.).

23. Леа Винерман, "Помогая мужчинам помочь себе", Американская психологическая ассоциация, июнь 2005 г.

24. Бенедикт Кери, "Нужна терапия? Хорошего человека трудно найти", Нью-Йорк Таймс, 11 мая 2011 г.

25. Злоупотребление психоактивными веществами см. в SAMHSA Treatment Episode Data Set (TEDS), "Gender Differences in Primary Substance of Abuse across Age Groups" (2011). Что касается специального образования, см. "Учащиеся с ограниченными возможностями, дошкольное, начальное и среднее образование", Национальный центр статистики образования (май 2021 г.).

26. Мелинда Френч Гейтс, "Вот почему я выделяю 1 миллиард долларов на продвижение гендерного равенства", TIME, 5 октября 2019 г.

27. Закон о строительных блоках STEM, доклад Сената 116-78, доклад Комитета по торговле, науке и транспорту (август 2019 г.), стр. 7.

28. Национальный научный фонд, "Организационные изменения для обеспечения гендерного равенства в академических профессиях STEM", NSF 20-057, 10 марта 2020 г.

29. Финансовые данные по Обществу женщин-инженеров взяты из Guidestar за 2019 финансовый год. См. www.guidestar.org/profile/13-1947735. Данные о сотрудниках - с сайта SWE. Доступ получен 28 марта 2022 года.

30. Американская ассоциация мужчин в сестринском деле, "Кто мы".

31. Национальный проект сотрудничества девочек, Годовой отчет за 2021 год, стр. 17.

32. См. премии NSF 0631789 (1,5 млн долл.) и 1103073 (3 млн долл.).

33. Million Girls Moonshot, "Наша миссия".

34. Национальный центр статистики образования, "Таблица 318.30, Степени бакалавра, магистра и доктора, присвоенные высшими учебными заведениями, по полу студентов и дисциплинам: 2017-18 гг.".

35. В частности, девятиклассники, согласно данным, собранным с 2009 по 2012 год. Национальный центр статистики образования, "Точка данных: Ожидания старшеклассников мужского и женского пола относительно работы в сфере здравоохранения", июнь 2020 г.

36. "Карьерное и техническое образование: A Path to Economic Growth", in Title IX at 45: Advancing Opportunity through Equity in Education (Washington, DC: National Coalition for Women and Girls in Education, 2017), p. 6.

37. Мэрайя Боханон, "Мужчины в сестринском деле: Важнейшая профессия продолжает испытывать недостаток гендерного разнообразия", INSIGHT Into Diversity, 8 января 2019 г.

38. Стоит отметить, что заметного влияния на студентов-мужчин не было. Скотт Э. Каррелл, Марианна Э. Пейдж и Джеймс Э. Уэст, "Секс и наука: Как пол профессора увековечивает гендерный разрыв", Ежеквартальный журнал экономики (август 2010 г.).

39. Венди М. Уильямс и Стивен Дж. Сеси, "National Hiring Experiments Reveal 2: 1 Faculty Preference for Women on STEM Tenure Track", Proceedings of the National Academy of Sciences (April 2015), p. 5360.

40. Scholarships.org, "Стипендии для женщин", доступ получен 28 марта 2022 года.

41. Программа стипендий Марии Кюри (MCSP) в Колледже Святой Марии, см. награду NSF 0630846.

42. Национальный центр статистики образования, "Таблица 318.30".

43. Гленда М. Флорес и Пьеретта Хондагнеу-Сотело, "Социальная динамика, направляющая латиноамериканских выпускников колледжей в профессию преподавателя", Gender, Work & Organization (ноябрь 2014), p. 491.

44. Эти средства в основном выделяются в рамках раздела I закона WIOA. См. Дарья Дэниел, "Законодательство, вновь представленное для решения проблемы воздействия COVID-19 на рабочую силу страны", Национальная ассоциация графств, 10 февраля 2021 года.

45. David H. Bradley, The Workforce Innovation and Opportunity Act and the One-Stop Delivery System, Congressional Research Service Report R44252 (2015, обновлено в январе 2021), p. 4.

46. Texas Workforce Commission, "Program Year 2018 Workforce Innovation and Opportunity Act Annual Report, Titles I and III" (2018), p. 12.

47. Закон STEM RESTART, S.1297, 117-й Конгресс (2021-2022 гг.).

48. Средняя зарплата учителей K-12 как в 1999-2000, так и в 2020-2021 годах составляла 65 000 долларов (в долларах 2020/2021 года). Национальный центр статистики образования, "Таблица 211.60, Предполагаемая средняя годовая зарплата учителей в государственных начальных и средних школах, по штатам: Selected Years, 1969-70 to 2020-21."

49. Мэдлин Уилл, "Джо Байден - учителям: "Вы заслуживаете повышения, а не только похвалы"", Education Week, 2 июля 2021 г.

50. Мэг Беннер и другие, "Как повысить зарплату учителям на 10 000 долларов", Центр американского прогресса, июль 2018 г.

51. Джордж А. Акерлоф и Рэйчел Э. Крантон, "Экономика и идентичность", Ежеквартальный журнал экономики (август 2000 г.), стр. 748.

52. Для работников первого возраста (25-54 года), занятых полный рабочий день. См. также "Мужчины-медсестры становятся все более распространенными, сообщает Бюро переписи населения", Бюро переписи населения США (февраль 2013 г.).

53. Бриттани Бишеглиа, "Разрушая стигму мужской медсестры", Карта лицензий медсестры (блог), 3 декабря 2020 г.

54. Уолли Бартфэй и Эмма Бартфэй, "Канадский взгляд на мужчин в сестринском деле", Мужчины в сестринском деле (апрель 2007 г.).

55. Цитируется в статье Эндрю Клифтона, Сары Крукс и Джо Хигмана "Изучение набора мужчин в профессию медсестры в Соединенном Королевстве", Journal of Advanced Nursing (март 2020 г.), стр. 1879.

56. Аарон Лоуэнберг, "Существует стигма вокруг мужчин, обучающих маленьких детей. Вот как мы это изменим", Slate, 18 октября 2017 г.

57. Джилл Е. Яворски, "Неравномерные паттерны неравенства: Аудиторский анализ практик найма по гендерным и классовым контекстам", Социальные силы (декабрь 2019 г.). Обратите внимание, что речь идет не конкретно о вакансиях HEAL.

58. Мартин Айзенд, "Метаанализ гендерных ролей в рекламе", Журнал Академии маркетинговых наук (ноябрь 2009 г.).

59. Клаудия Голдин, "Теория дискриминации по признаку загрязнения окружающей среды: Различия между мужчинами и женщинами в профессиях и заработках" в книге "Человеческий капитал в истории: The American Record, ed. Leah Platt Boustan, Carola Frydman, and Robert A. Margo (University of Chicago Press, 2014), p. 324.

60. Эдвард Скьяппа, Питер Б. Грегг и Дин Э. Хьюз, "Может ли одно телешоу изменить ситуацию? Уилл и Грейс и гипотеза парасоциальных контактов", Journal of Homosexuality (ноябрь 2006 г.).

61. Мелисса С. Кирни и Филлип Б. Левин, "Влияние СМИ на социальные результаты: The Impact of MTV's 16 and Pregnant on Teen Childbearing", American Economic Review (December 2015).

62. Об оценке этих маркетинговых кампаний см. в книге Doug McKenzie-Mohr, Fostering Sustainable Behavior: An Introduction to Community-Based Social Marketing (Gabriola Island, BC: New Society, 2013).

63. Кас Р. Санстейн, Как происходят перемены (MIT Press, 2020); Роберт Х. Фрэнк, Под влиянием: Putting Peer Pressure to Work (Princeton University Press, 2020).

64. В 2008-2009 годах 13 % студентов-медсестер в Орегоне составляли мужчины, в то время как среди дипломированныхмедсестер их было 11 %, и этот рост в лучшем случае соответствовал общероссийским тенденциям. См. Тамара Бертелл и другие, Who Gets In? Pilot Year Data from the Nursing Student Admissions Database (Portland: Oregon Center for Nursing, 2009), таблица 5, стр. 11.

65. Кимберли А. Клоу, Розмари Ричиарделли и Уолли Дж. Бартфэй, "Достаточно ли вы мужчина, чтобы быть медсестрой? Влияние амбивалентного сексизма и ролевой конгруэнтности на восприятие мужчин и женщин в рекламе медсестер", Sex Roles (апрель 2015 г.).

66. Марси Д. Коттингем, "Набирая мужчин, конструируя мужественность: как организации здравоохранения мобилизуют маскулинность в качестве стратегии набора медсестер", Gender & Society (февраль 2014 г.).

67. Тара Бойл и другие, "'Man Up': Как страх показаться женственным ограничивает мужчин и влияет на всех нас", NPR, 1 октября 2018 г.

68. Бен Люптон, "Поддержание мужественности: Мужчины, которые выполняют "женскую работу"", Британский журнал менеджмента (сентябрь 2000 г.), стр. 33-48.


12. НОВЫЕ ПАПЫ


1. Ханна Розин, Конец мужчин: And the Rise of Women (New York: Riverhead Books, 2012), p. 9.

2. Мэтт Гертц, "Ехидное пренебрежение Такера Карлсона к отпуску по уходу за ребенком резко контрастирует с горячей поддержкой его коллег", Media Matters for America, 15 октября 2021 г.

3. "Пирс Морган высмеял Дэниела Крейга за вынашивание ребенка", BBC, 16 октября 2018 года.

4. Serena Mayeri, Reasoning from Race: Feminism, Law, and the Civil Rights Revolution (Harvard University Press, 2014), p. 123. Размышляя об этом деле спустя десятилетия, Гинзбург сказала: "Это моя мечта для общества.... отцов, любящих и заботящихся о своих детях и помогающих им воспитывать их". См. Эрика Бачиочи, "Чему я научу своих детей о Рут Бейдер Гинзбург", журнал America, 24 сентября 2020 года.

5. Эрик Майкл Джонсон, "Воспитывая сознание Дарвина: Интервью с Сарой Блаффер Хрди о матери-природе", Scientific American, 16 марта 2012 г.

6. Анна Мачин, Жизнь отца: The Making of the Modern Father (New York: Simon & Schuster, 2018), pp. 17-18.

7. Уильям Х. Джейнс, "Мета-анализ роли отцов в воспитании детей: Are They Unique?", Marriage & Family Review (апрель 2016); Sara McLanahan and Christopher Jencks, "Was Moynihan Right?", Education Next (весна 2015); Kevin Shafer, So Close, Yet So Far: Fathering in Canada & the United States (University of Toronto Press, 2022), особенно глава 2.

8. Кэтлин Маллан Харрис, Фрэнк Ф. Фюрстенберг и Джереми К. Мармер. "Вовлеченность отцов в отношения с подростками в неполных семьях: Влияние отцов на протяжении жизни", Демография (июнь 1998 г.).

9. Rebecca M. Ryan, Anne Martin, and Jeanne Brooks-Gunn, "Is One Good Parent Good Enough? Patterns of Mother and Father Parenting and Child Cognitive Outcomes at 24 and 36 Months," Parenting: Science and Practice (май 2006 г.).

10. Джеймс А. Гаудино-младший, Билл Дженкинс и Роджер В. Рошат, "Отсутствие имен отцов: Фактор риска младенческой смертности в штате Джорджия, США", Social Science & Medicine (январь 1999 г.).

11. Марк Грау-Грау и Ханна Райли Боулз, "Начало междисциплинарного и межнационального разговора о вовлеченном отцовстве", в книге "Вовлеченное отцовство для мужчин, семей и гендерного равенства: перспективы здравоохранения, социальной политики и работы", под ред. Marc Grau-Grau, Mireia las Heras Maestro, and Hannah Riley Bowles (New York: Springer, 2022), p. 2.

12. Уильям Х. Джейнес, "Мета-анализ роли отцов", стр. 17. См. также Harris, Furstenberg, and Marmer, "Paternal Involvement with Adolescents in Intact Families."

13. Ким Паркер, Джулиана Менаше Хоровиц и Рене Степлер, "Американцы расходятся во мнениях о том, лежат ли различия между мужчинами и женщинами в основе биологии или общественных ожиданий", Pew Research Center, 5 декабря 2017 г.

14. Полин Хант, Гендер и классовое сознание (Лондон: Макмиллан, 1980), с. 24.

15. Национальные академии наук, инженерных наук и медицины, The Promise of Adolescence: Realizing Opportunity for All Youth (Washington, DC: The National Academies Press, 2019), p. 37.

16. Роб Палковиц, "Последствия гендерного родительства для благополучия детей", в книге "Гендер и родительство: Biological and Social Scientific Perspectives, ed. W. Bradford Wilcox and Kathleen Kovner Kline (Columbia University Press, 2013), p. 11.

17. Дебора А. Кобб-Кларк и Эрдал Текин, "Отцы и делинквентное поведение молодежи", Обзор экономики домохозяйств (июнь 2014 г.).

18. Эйрини Флури и Энн Бьюкенен, "Роль вовлеченности отца в психическое здоровье детей", Journal of Adolescence (февраль 2003 г.).

19. Стивен Д. Уитни и другие, "Значение отцов в академической успеваемости подростков", Международный журнал исследований детей, молодежи и семьи (2017).

20. Machin, The Life of Dad, p. 111.

21. Shafer, So Close, Yet So Far, p. 68.

22. Дэвид Дж. Эггебин, "Имеют ли отцы уникальное значение для благополучия подростков?", в книге "Гендер и родительство: Biological and Social Scientific Perspectives, ed. W. Bradford Wilcox and Kathleen Kovner Kline (Columbia University Press, 2013), p. 267.

23. Paul R. Amato and Joan G. Gilbreth, "Nonresident Fathers and Children's Well-Being: A Meta-analysis," Journal of Marriage and Family (август 1999).

24. Уильям Марсильо и Джозеф Х. Плек, "Отцовство и маскулинность", в Справочнике исследований мужчин и маскулинности, под ред. Michael S. Kimmel, Jeff Hearn, and Robert W. Connell (Thousand Oaks, CA: Sage, 2004), p. 253.

25. Алан Бут, Минди Э. Скотт и Валари Кинг, "Проживание отца и проблемное поведение подростков: Всегда ли подросткам лучше в семьях с двумя родителями?", журнал "Вопросы семьи" (май 2010 г.).

26. Кэтрин Эдин и Тимоти Дж. Нельсон, Делаю все, что могу: Fatherhood in the Inner City (University of California Press, 2013), p. 216.

27. Гретхен Ливингстон и Ким Паркер, "Сказка о двух отцах: Больше активных, но больше отсутствующих", Pew Research Center, 15 июня 2011 г.

28. Джо Джонс и Уильям Д. Мошер, "Вовлеченность отцов в воспитание детей: United States, 2006-2010", National Health Statistics Reports, no. 71 (Hyattsville, MD: National Center for Health Statistics, 2013). См. также Edin and Nelson, Doing the Best I Can, p. 215.

29. Калвина З. Эллербе, Джерретт Б. Джонс и Марсия Дж. Карлсон, "Расовые/этнические различия в вовлеченности отцов-нерезидентов после рождения ребенка в небраке", Social Science Quarterly (сентябрь 2018), p. 1158.

30. Джанет Горник и Марсия Мейерс, "Институты, поддерживающие гендерное равенство в родительстве и занятости", в книге "Гендерное равенство: Transforming Family Divisions of Labor (New York: Verso, 2009), pp. 4-5.

31. Хизер Боуши, "Домашняя экономика", журнал "Демократия" (весна 2016 г.).

32. Таня Байкер и Елена Патель, "Предложение о федеральной программе оплачиваемого отпуска по уходу за ребенком и медицинским показаниям", Институт Брукингса, май 2021 года.

33. Законопроект 2005 был подписан 1 июля 2019 года на 80-й сессии Законодательного собрания штата Орегон. Отметим, что реализация политики в 2023 году была отложена.

34. ОЭСР, Системы отпусков для родителей, "Оплачиваемые отпуска, зарезервированные для отцов", База данных ОЭСР по семьям, октябрь 2021 года.

35. Анкита Патнаик, "Папа дома! Увеличение числа мужчин, использующих отпуск по уходу за ребенком", Совет по вопросам современных семей, 2 апреля 2015 г.

36. Цитируется в Gornick and Meyers, Institutions That Support Gender Equality, p. 437.

37. "Влияние рождаемости на предложение труда [матерей]... велико и отрицательно на более высоких уровнях развития". Дэниел Ааронсон и другие, "Влияние рождаемости на предложение труда матерей в течение последних двух столетий", Экономический журнал (январь 2021 года).

38. Клаудия Голдин, Карьера и семья: Women's Century-Long Journey towards Equity (Princeton University Press, 2021), p. 234.

39. Бюро статистики труда США, "Статус занятости матерей с собственными детьми в возрасте до 3 лет по годам возраста младшего ребенка и семейному положению, средние показатели за 2019-2020 годы", в "Характеристиках занятости семей 2020", апрель 2021.

40. Джулиана Менаше Хоровиц, "Несмотря на проблемы дома и на работе, большинство работающих мам и пап говорят, что быть занятым - это лучшее для них", Pew Research Center, 12 сентября 2019 г.

41. Дейли цитируется в Marsiglio and Pleck, "Fatherhood and Masculinities", p. 257.

42. Edin and Nelson, Doing the Best I Can, p. 216.

43. Мария Кансиан и другие, "Кто теперь получает опеку? Драматические изменения в условиях жизни детей после развода", Демография (май 2014 г.), стр. 1387.

44. Это приблизительная цифра, основанная на интервью с юристами в каждом штате США. См. "Сколько времени на опекунство получает отец в вашем штате?", Custody Xchange, 2018.

45. Хизер Хан, Кэтрин Эдин и Лорен Абрахамс, Преобразование поддержки детей в систему создания семьи (Партнерство США по мобильности от бедности, март 2018 г.).

46. Управление по исполнению алиментов на детей, "Предварительный отчет за 2020 финансовый год", таблицы P-29 и P-85, Министерство здравоохранения и социальных служб США, июнь 2021 года.

47. Более подробно об этой реформе см. в книге Hahn and others, Transforming Child Support, pp. 13-16.

48. Тимоти Нельсон, неопубликованный анализ, основанный на данных интервью с 429 отцами по всей стране, цитируется в Hahn and others, Transforming Child Support, p. 5.

49. Государственный секретарь штата Орегон, Департамент юстиции, "Глава 137: Кредит на время воспитания детей", Архив штата Орегон. Я сделал аналогичное предложение в статье "Отцы-нерезиденты: Untapped Childcare Army?", Институт Брукингса, 9 декабря 2015 года.

50. Edin and Nelson, Doing the Best I Can, p. 227.

51. Майкл Янг и Питер Уиллмотт, Симметричная семья (Нью-Йорк: Пантеон, 1973), стр. 278.

52. Александр Бик, Беттина Брюггеманн и Никола Фукс-Шундельн, "Отработанные часы в Европе и США: Новые данные, новые ответы", Скандинавский экономический журнал (октябрь 2019 г.), стр. 1381-1416.

53. Джули Салливан, "Сравнение характеристик и отдельных расходов домохозяйств с двойным и одиночным доходом с детьми", Ежемесячный обзор труда, Бюро статистики труда США, сентябрь 2020 г., https://doi.org/10.21916/mlr.2020.19.

54. Ричард В. Ривз и Изабель В. Соухилл, Новый контракт со средним классом (Брукингский институт, 2020), стр. 46-56.

55. Голдин, Карьера и семья, с. 17.

56. Ким Паркер и Венди Ванг, "Современное родительство: Роли мам и пап сближаются, когда они уравновешивают работу и семью, доклад, подготовленный для Pew Research Center, март 2013 года.

57. Ричард Вайсборд и другие, "Как пандемия укрепляет отношения отцов с детьми", Гарвардская высшая школа образования, проект Making Caring Common, июнь 2020 г.

58. Грант Р. Макдермотт и Бенджамин Хансен, "Перераспределение рабочей силы и удаленная работа во время COVID-19: Real-Time Evidence from GitHub," Working Paper 29598 (Cambridge, MA: National Bureau of Economic Research, December 2021).

59. Голдин, Карьера и семья, стр. 9.

60. Голдин, Карьера и семья, рис. 9.1, с. 178.

61. Голдин, Карьера и семья, с. 191.

62. Клаудия Голдин и Лоуренс Ф. Кац, "Самая эгалитарная профессия: Аптека и эволюция профессии, благоприятной для семьи", Journal of Labor Economics (июль 2016 г.).

63. Стефани Возза, "Как эти компании сделали четырехдневную рабочую неделю осуществимой", Fast Company, 17 июня 2015 г.

64. Карен Тернер, "Amazon запускает пилотные команды с 30-часовой рабочей неделей", Washington Post, 26 августа 2016 г.

65. Исследование 2016 года "Делойт Миллениал": Winning over the Next Generation of Leaders (Лондон: Deloitte, 2016).

66. Клэр Кейн Миллер, "Отпуск по уходу за ребенком: Вознаграждения и остающаяся стигма", Нью-Йорк Таймс, 7 ноября 2014 г. 62 % отцов или будущих отцов согласны с тем, что существует "негласное правило, согласно которому мужчины на их работе не должны брать полный отпуск по уходу за ребенком", согласно опросу Harris Poll, проведенному с 26 мая по 3 июня 2021 года. Опрос проводился для автомобилей Volvo.

67. Шейн Барро, "Гендерное равенство изменит не только жизнь женщин - оно изменит жизнь всех", Huffington Post, 30 сентября 2015 г.


ЭПИЛОГ


1. Ричард В. Ривз и Эмбер Смит, "Американцы больше беспокоятся о своих сыновьях, чем о дочерях", Институт Брукингса, 7 октября 2020 года.