Владимир Моренко
Теория относительности и сверхсветовая скорость
Предисловие
Данная работа является дополненным и уточненным вариантом моих книг «Теория относительности» за 2020 год и «Теория относительности и сверхсветовая скорость» за 2021 год, изданных малым тиражом издательством Спутник+, Москва. Первоначальным толчком для появления этих книг было высказывание «Кто от кого улетает и улетает ли вообще?», услышанное мной случайно где-то в самом конце прошлого века. Оно меня весьма заинтересовало, так как если верить общепринятому мнению о конечности размеров Вселенной, то человеческому взору в любой точке неба должно быть доступным одно и то же изображение самого раннего появления света во Вселенной – мы можем видеть только прошлое. При этом после «инфляционного расширения пространства», что само по себе непонятно что и непонятно как, размеры Вселенной к моменту возникновения света должны быть таковы, что нам не придется, находясь внутри расширяющейся Вселенной, видеть горизонт первичного света снаружи него. Как при этом натянуть сферу меньшего радиуса на сферу большего радиуса – большой вопрос. А уж открытие стены Геркулеса размером в 10 миллиардов световых лет в сочетании с бесплодными попытками найти реликтовые гравитационные волны свидетельствует о том, что познание Вселенной надо начинать с нуля. Но это не самая большая проблема – начинать надо с наведения порядка в нашем теоретическом доме, прежде всего в теории относительности, а также в квантовой механике. Действительно, чего только стоят «доказательства» сокращения длины стержня и замедления хода времени. Читаешь и так и тянет к психиатру с вопросом: «Скажите доктор, как можно всерьез рассматривать утверждение о движении тела, если ты только что сам признал это тело неподвижным? А если все это понимают(?) и принимают за истину(?!), то, что со мной?». Поэтому желаю тем, кто удосужится прочитать эту книгу, не страдать от подобного вопроса.
Открытие сверхсветовой скорости [1] ставит вопрос о совместимости этого факта с ограничением скорости материальных объектов скоростью света в вакууме. И хотя в указанный источник были внесены изменения о том, что эта скорость является кажущейся, одно его появление свидетельствует о наличии неудовлетворенности некоторыми вопросами, связанными с теорией относительности. Ответу, есть ли основания для самой постановки вопроса об обоснованности теории относительности и критических замечаний в ее адрес, и посвящена данная работа.
Собственно теория относительности стала ответом на вопрос об особенностях описания движения тела наблюдателем после открытия факта конечности скорости света, так как вся теоретическая физика до этого открытия была основана на существовании единого времени и бесконечности скорости света. Предварительные попытки дать ответ на этот вопрос были сделаны в области модернизации принципа Галилея в отношении правил преобразования координат движущейся вместе с наблюдаемым телом и неподвижной систем координат. Окончательный вид эти преобразования приобрели в специальной теории относительности. Ее создатель, Альберт Эйнштейн, понимая, что одних лишь преобразований координат различных систем отсчета для описания механического движения тел явно недостаточно, не стал искать путей модернизации соответствующих разделов классической механики. Он просто предложил свое определение релятивистских энергии и импульса, никак не связанные с такими достижениями теоретической физики как функция Лагранжа и уравнения Эйлера-Лагранжа, в соответствии с которыми в классической теории даются определения энергии и импульса. Аналогично этому в общей теории относительности он отказался от определения гравитации, предложенного Ньютоном, как формы взаимодействия имеющих массу тел, и заменил ее на взаимодействие этих тел с пустым пространством, которому придал свойство искривления в присутствии масс.
И, хотя специальная и общая теории относительности неразрывно связаны, их рассмотрение следует все же осуществлять по отдельности.
Специальная теория относительности устанавливает, каким образом на наблюдении за процессами, происходящими на движущемся теле, сказывается конечность скорости света. И используется для этого понятие инвариантного интервала, определяющего описание наблюдения за движущимся телом с помощью времени, замеряемого по часам, связанным с неподвижным наблюдателем. Подчеркнем, что именно наблюдаемый образ служит объектом, по которому судят о характере протекания процессов на движущемся теле по сравнению с протеканием этих процессов на неподвижном теле. Считается, что эти процессы должны отвечать требованию релятивистской инвариантности их математического описания и существует некоторый особый закон природы, в соответствии с которым вводится непреложное условие правомерности (истинности) любой физической теории. Для этого введены понятия лоренц-ковариантности и лоренц-инвариантности.
В соответствии с классическим определением [3] лоренц-ковариантность – это свойство физических законов записываться одинаково во всех инерциальных системах отсчета (с учетом преобразований Лоренца), а лоренц-инвариантностью называют свойство какой-нибудь величины сохраняться при преобразованиях Лоренца. Ключевым для данных определений является понятие «преобразования Лоренца». Что же собой представляет данное понятие?
Обратимся к учебнику по физике [6], в котором подробно описан процесс вывода преобразований координат различных инерциальных систем отсчета при условии конечности скорости света и его постоянстве в этих системах координат. За основу вывода преобразований Лоренца принимается равенство координатного расстояния между центром координат и произвольно выбранной точкой и расстояния, пройденного импульсом света от центра системы координат до указанной точки. Последнее расстояние рассчитывается как произведение скорости света и времени нахождения импульса в пути. Почеркнем, что произвольный выбор точки требует независимости только координат, а не времени и указанное основное условие

полностью исключает возможность признания времени независимой переменной – оно после выбора точки становится функцией координат. В связи с этим обстоятельством с помощью преобразований Лоренца принципиально невозможно сравнивать ход идентичных часов в различных инерциальных системах отсчета, можно сравнивать только периоды времени, необходимые импульсу света для достижения одной и той же точки пространства. В связи с этим одному и тому же периоду времени не могут соответствовать разные расстояния. И, наоборот, одному и тому же расстоянию не могут соответствовать различные периоды времени. А ведь именно эти предположения кладутся в основу «доказательств» лоренцевых изменений длины и времени. И, следовательно, ни о каких эффектах сокращения длины стержня, или замедления хода часов, по крайней мере в той форме, как они изложены в литературе, на основании преобразований Лоренца не может быть и речи.
При выводе данных преобразований используется понятие скорости относительного движения инерциальных систем координат. Причем данное понятие имеет две трактовки: наблюдаемая скорость и реально существующая, но из-а конечности скорости света не подлежащая непосредственному наблюдению, скорость движения тела. И в лоренц-инвариантных преобразованиях может быть использована только реальная скорость. Кроме того, для этих преобразований весьма существенной является проблема фиксации времени достижения импульсом света произвольно выбранной точки по часам, связанным с центрами сравниваемых систем. В силу конечности скорости света это время может быть получено только расчетным путем с использованием экспериментально замеряемого промежутка времени между испусканием и приемом отраженного от наблюдаемого объекта импульса света. Конечно, при этом необходимо, чтобы расстояние между наблюдателем и объектом было неизменным. Но предположим, что нам каким-то образом удалось определить реальную скорость смещения центров двух инерциальных систем координат. При этом необходимо осознавать, что визуально определяемое межцентровое расстояние в любой момент времени отличается от реально существующего. С учетом данных обстоятельств можно приступить к решению задачи о сравнении разных инерциальных систем отсчета. Замерив угол между вектором скорости смещения движущегося наблюдателя и радиус-вектором между неподвижным наблюдателем и объектом, получаем стандартную геометрическую задачу о нахождении длины третьей стороны треугольника при известности двух сторон и угла между ними. При решении данной задачи необходимо иметь ввиду, что расстоянием между неподвижным объектом и движущимся наблюдателем считается расстояние между указанным объектом и местом, в котором должен находиться движущийся наблюдатель в момент прихода на объект импульса света, испущенного из точки расположения неподвижного наблюдателя. Данное замечание относится также и к расстоянию между неподвижным и движущимся наблюдателями. В силу обратимости движения расстояние между взаимно смещающимися объектом и наблюдателем не зависит от того, будет ли наблюдатель считать себя неподвижным или движущимся. Тогда найденное решение о расстоянии между движущимся наблюдателем и неподвижным объектом и является искомым решением, необходимым для сравнения различных систем координат. Это сравнение автоматически происходит при сопоставлении значений соответственных координат произвольно выбранной точки, и его можно свести к сравнению времен движения импульса света от неподвижного и движущегося наблюдателей к объекту. Есть только одна особенность, заключающаяся в том, что любой точке каждой из сравниваемых систем координат будет соответствовать один и только один момент времени. Следовательно, необходимо ясно осознавать, что такое сравнение будет иметь совсем уж специфический, если не сказать бесполезный, характер. Во-первых, результат сравнения по отношению к пространственному расположению наблюдаемого тела будет кардинально отличаться от визуальной картины. А, во-вторых, что наиболее важно, отсутствует какая-либо возможность сравнивать ход идентичных часов у разных наблюдателей, так как время как независимая переменная было сознательно исключено из рассмотрения, и каждый из наблюдателей снабжен не часами, а секундомером. Можно, конечно, если считать допустимым применение метода параллельного переноса, обойтись и секундомерами, используя их как часы для разных точек, однако мы получим только набор задач по определению третьей стороны треугольника при известности двух других сторон и угла между ними. А решение этих задач в общем случае, как хорошо известно, не совпадает с решением для прямоугольных треугольников. Кроме того, решение каждой из указанных задач будет справедливым только при условии независимости скорости света от скорости источника отраженного импульса света. Именно при таком условии возможно измерение относительной скорости движения разных инерциальных наблюдателей. Но и в этом случае невозможно сравнение результатов непосредственного наблюдения за окружающим миром неподвижным и движущимся наблюдателями с использованием предложенных Лоренцем теоретических обоснований по преобразованию координат. Более того, использование времени из выражения

в качестве переменной величины позволяет определить проекции скорости света на координатные оси

и

, либо величину смещения центров сравниваемых систем координат, но в привязке к движению импульса света, и ничего иного.
Если же мы попытаемся придать выражениям производных соответствующих координат по времени из основного уравнения классических преобразований Лоренца иной смысл, а именно

и

, то нам придется отказаться от использования инвариантного выражения

. А ведь именно на сочетании указанных взаимоисключающих условий делаются попытки построить релятивистскую динамику (кинематику).
Конечно, это вовсе не означает, что на базе различных независимых переменных невозможно строить некоторые специальные зависимости, целью которых является исключение одной или нескольких переменных. Но необходимо понимать, что с помощью исключенных переменных невозможно делать заключения и выводы, применимые только в случае независимости переменных.
Еще одним и чрезвычайно важным недостатком рассмотренного вывода классических трехмерных преобразований координат различных инерциальных систем является то, что при этом выводе была сознательно исключена возможность сравнения систем, движущихся со сверхсветовой скоростью относительно друг друга. Действительно, в движущейся системе координат произвольно выбранная точка должна принять испущенный из центра указанной системы импульс света. Но, поскольку она сама движется относительно упомянутого центра, этот импульс может достичь нее только, если он сможет ее догнать. А это в принципе невозможно, если скорость движения точки будет превышать скорость света. Следовательно, поставленная задача преобразования координат различных инерциальных систем трехмерного пространства не может считаться решенной.
Таким образом, как вывод, так и полученный на его основе результат, известный как лоренцевы преобразования координат, являются несостоятельными, поскольку, во-первых, использованная в них скорость взаимного смещения центров сравниваемых систем координат не является визуально наблюдаемой величиной, в то время как именно визуальная наблюдаемость считается неотъемлемым свойством классических преобразований Лоренца. Во-вторых, для указанных преобразований осознанно, или случайно принято условие, ограничивающее скорость смещения центров сравниваемых систем координат скоростью света, хотя никаких предварительных предпосылок для такого ограничения нет. Ну, и в-третьих, полученный результат по преобразованию времени не относится к собственно сравнению скорости хода пары идентичных часов в разных системах координат. В действительности, с помощью классических преобразований Лоренца можно получить некоторое бесполезное с практической точки зрения преобразование трехмерных систем координат, никак не затрагивающее вопрос сравнения скорости хода расположенных в этих системах идентичных часов. А эффект различия показаний на них при сравнении времени достижения испущенным из совмещенных центров указанных систем импульсом произвольно выбранной точки целиком и полностью определяется тем, что считая скорость света постоянной в обеих системах координат мы, тем не менее, завуалированно увеличиваем эту скорость за счет скорости сближения произвольно выбранной точки и импульса света, испущенного из центра движущейся системы координат.
Возможно с учетом этих обстоятельств, но прежде всего в связи с тем, что доказательство преобразований Лоренца для трехмерного пространства невозможно подтвердить экспериментальными данными, и побудило Альберта Эйнштейна взяться за создание специальной теории относительности.
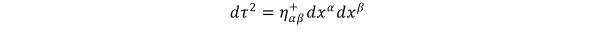
Инвариантный интервал специальной теории относительности имеет внешнее сходство с основным уравнением, применяемым для вывода классических преобразований Лоренца. Но по своей сути, как с физической, так и математической точек зрения – это совершенно разные вещи.
Во-первых, в выражении для инвариантного интервала время, равно как и три пространственные координаты, является независимой переменной. А во-вторых, этот интервал является величиной измеримой, в то время как в классических преобразованиях Лоренца этот интервал, если бы он был введен, является тождественно равным нулю, и определяется он не через абсолютные значения времени и координат, а через их изменения.
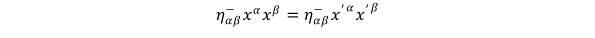
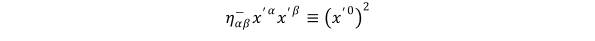
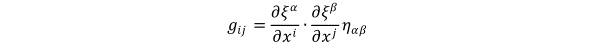
Эйнштейн предложил способ учета конечности скорости света при описании движения в различных системах координат, ориентированный на классические преобразования Лоренца, с помощью инвариантного интервала, задаваемого выражением

и являющегося определением длины отрезка по его проекциям в четырехмерной системе координат. Причем собственно пространство определено через особую метрику, в соответствии с которой расстояния между точками, определение которых осуществляется с помощью нетривиальных значений временной координаты, в нем заданы именно через инвариантный интервал (см., например, [8] с.25). А расстояния между точками, задаваемыми только через пространственные координаты, определяются по правилам евклидовой геометрии. В указанном источнике (см. там же) сравнение «движущейся» и «неподвижной» прямоугольных систем координат предлагается осуществлять путем сравнения развернутых на некоторый угол
ψ четырехмерных систем, таким образом, чтобы:



Тогда, если

, то

. А так как

,

, использование заданной метрики четырехмерных пространств якобы позволяет получить преобразования координат, совпадающие с теми, что получены при классических преобразованиях Лоренца. Однако такое предположение является в корне ошибочным. Действительно, если подставить в формулы

и

начальные условия

и

=x'⁄t'

, то получим выражение только для сравнения хода часов:

. А сравнение пространственных координат
x с
x’ принципиально невозможно – по начальным условиям последние всегда равны нулю. И определить, как это предлагается в [8], изменение длины стержня при переходе от одной системы координат к другой также принципиально невозможно, поскольку в развернутой системе координат начальным условием является равенство нулю длины этого стержня.
Отметим, что при данном выводе для четырехмерного пространства используются значения пространственных координат и времени трехмерного пространства, при этом неподвижной для трехмерного пространства системой координат считается та, в которой центр другой также трехмерной системы отсчета и произвольно выбранная точка являются движущимися. Кроме того, из рассмотрения исключены изменения координат, связанные с их параллельным переносом. В этом смысле использование в записи формул собственно обозначений независимых переменных, а не их изменений не должно вводить в заблуждение, что речь идет о преобразованиях координат сравниваемых инерциальных систем отсчета. На самом деле мы имеем дело со сравнениями изменений этих переменных при изменении ориентации одной и той же четырехмерной системы координат, то есть с одним единственным наблюдателем, а не с двумя, как это имеет место для вывода преобразований Лоренца в классическом трехмерном случае.
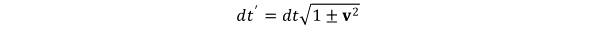
Альтернативой псевдоевклидовому пространству с его метрикой, задаваемой частично через гиперболические функции, а частично через тригонометрические функции, являются координатные системы, в которых длина четырехмерного отрезка определяется только правилами геометрии Евклида. При этом инвариантный интервал определяется в них как длина вектора, исчисляемая с помощью теоремы Пифагора, в соответствии с выражением:

В этом случае мы, при совпадении центров систем координат, имеем дело с использованием только тригонометрических функций для определения геометрии четырехмерных пространств, развернутых на некоторый угол:




И тогда

.
Оба указанных выражения для времени в движущейся системе координат могут быть выведены только с помощью использования факта существования инвариантного интервала, имеющего одну и ту же длину в сравниваемых системах. При этом последнее из них не ограничивает скорость тела скоростью света в вакууме.
Существуют и иные, базирующиеся на понятии об инвариантном времени собственном, способы определения взаимозависимости времен движущейся и неподвижной четырехмерных систем координат, основанные на использовании метода неопределенных коэффициентов (индефинитных преобразований), более известного как преобразования Лоренца ([5], §1):





,









Но и для этих способов применение разных видов инвариантного времени собственного

и

, для которых

, а

, дает те же самые результаты по соотношению хода часов в разных системах координат, что были определены выше

и

. Как видим, «пространственно-временные» трансляции в результате проведенных преобразований свелись только к временным, а не пространственно- временным трансляциям, как и следовало этого ожидать при принятии условия, что один из наблюдателей видит тело в состоянии покоя (речь конечно же идет о трехмерном пространстве). Причем здесь неподвижной считается система координат, в которой отсутствует движение произвольно выбранной точки в трехмерном подпространстве, но есть движение по временной координате четырехмерного пространства.
Учитывая разночтения в процедуре определения какой из наблюдателей является неподвижным, а какой движущимся, необходимо дополнительно рассмотреть вопрос об определении статуса неподвижности четырехмерных систем отсчета.
Классические преобразования координат, что Галилея, что Лоренца, основаны на сравнении расстояний до произвольно выбранной точки от центров сравниваемых инерциальных систем отсчета. При этом одна из систем координат обязательно должна быть неподвижной относительно указанной точки. Данное обстоятельство позволяет именно в этой системе осуществлять экспериментальную проверку и измерение величины расстояния между указанной точкой и центром системы координат. В другой инерциальной системе координат это расстояние можно вычислить с использованием знания о величине скорости света, величине измеренного в неподвижной системе координат расстояния и скорости относительного движения центров двух систем отсчета. Введение понятия об инвариантном интервале, или времени собственном, как это принято в современной физике, вносит свои коррективы в формулировку ставящейся задачи, поскольку нам необходимо определять не соответствие координат разных систем отсчета, а найти связь между изменениями четырех независимых переменных в разных системах отсчета. При этом мы имеем две четырехмерные системы координат, каждая из которых является неподвижной относительно движущейся произвольно выбранной точки. В одной из систем это движение осуществляется как по временной, так и пространственным координатам, в то время как в другой – только по временной координате. Причем в последней из этих систем движение точки по временной координате согласовано с движением этой же точки по всем четырем координатам в первой из указанных систем отсчета. В общепринятой в настоящее время форме математического обоснования специальной теории относительности для сравнения различных систем координат используют пару идентичных часов, устанавливаемых в центре неподвижной системы координат и на движущемся объекте, полагая, что последние использует наблюдатель, находящийся в системе, где движение тела происходит только по временной координате. Однако такой подход может иметь место только в случае трехмерных, а не четырехмерных систем координат, как это постулируется в специальной теории относительности. В действительности в полном соответствии со специальной теорией относительности мы имеем одни единственные часы, установленные в общем для двух развернутых относительно друг друга четырехмерных систем координат. При этом необходимо ввести условие, что часы в центре системы, где движение тела происходит только по временной координате, показывают то же самое время, что и часы, размещенные в трехмерном пространстве на движущемся теле. Но для описания механического движения тела воспользоваться можно только часами, где это движение осуществляется, то есть в системе, где есть движение по всем координатам четырехмерной системы отсчета. Для часов на наблюдаемом в трехмерном пространстве теле такое движение отсутствует – их показания совпадают с показаниями часов, размещенных в центре системы, где есть движение тела только по временной координате. И для того, чтобы сравнивать показания одних и тех же часов с помощью времени, используемого в трехмерном пространстве, необходимо ввести понятие об инвариантном интервале для различных четырехмерных систем отсчета. При этом базовой (неподвижной) системой может быть только такая, где можно экспериментально определить координатное положение тела и параметры его трехмерного движения. И тогда правомерным следует признать подход к определению статуса неподвижной системы координат, использованный в [5], а не в [8]. В этом случае связь между различными определениями одного и того же четырехмерного инвариантного интервала выражается не через сравнение описаний длины интервала с помощью определения его длины через изменение координат двух четырехмерных систем координат, а через связь для трехмерного пространства между показаниями часов неподвижного наблюдателя и расположенных на движущемся теле часов либо как как

, либо как

. Данные выражения легко получить и без рассмотренных ранее математических выкладок, путем простого сравнения метрик (правил определения расстояния между точками) двух различных четырехмерных систем координат, в одной из которых наблюдается движение тела как в трехмерном подпространстве, так и по временной координате, а в другой – только по временной координате. В этом случае на основании инвариантности времени собственного и разных метрик можно записать

, c=1. А так как начальным условием является

, то

. При этом ни о каких иных пространственных преобразованиях не может быть и речи. Более того, при таких видах преобразований построенные нами четырехмерные системы координат будут полностью удовлетворять принципу однородности и изотропности пространства, в то время как именно изотропности пространства одна из систем координат при преобразованиях Лоренца не соответствует.
Сам же переход к сравнению изменений движений тела в четырехмерном пространстве вместо сравнения инерциальных систем примечателен тем, что один единственный наблюдатель, учитывая свойство тождественности по определению инерциальных систем координат и первый постулат специальной теории относительности, не нуждается во втором движущемся относительно него наблюдателе, чтобы определить ход часов у этого наблюдателя. Вполне достаточно использовать собственные часы и определять влияние конечности скорости света на результаты его наблюдения за движущимся объектом на основании их показаний. Таким образом, задача преобразования координат может быть заменена задачей определения особенностей наблюдения неподвижным наблюдателем движущегося объекта при условии конечности скорости света. Для решения такой задачи принципиально необходимо, чтобы соблюдались два положенных в основу специальной теории относительности условия: о тождественности (неотличимости) хода «внутренних» часов в любой из сравниваемых четырехмерных систем координат и о зависимости при переходе к трехмерному пространству хода движущихся часов от хода часов неподвижного наблюдателя и изменения положения тела в трехмерном пространстве. И для такой задачи нет необходимости соблюдения одновременности происходящих с телом изменений положения с показаниями часов у наблюдателя, а также начального нахождения тела в месте расположения неподвижного наблюдателя. Данные ограничения необходимы только в случае сравнения абсолютных значений координат, а не их бесконечно малых изменений. Данное обстоятельство обусловлено как однородностью времени, так и тем, что мы имеем дело с инерциальным движением тела в трехмерном пространстве с постоянной скоростью.
Из-за конечности скорости света кроме эффекта изменения масштаба времени существует также эффект отставания показаний часов на удаленном от наблюдателя объекте, но этот эффект из-за своей очевидности в специальной теории относительности и в данной книге дополнительно не рассматривается.
Подчеркнем, что Альберт Эйнштейн выбрал лишь одну из возможных форм преобразования координат, аналогично которой сконструировал инвариантные преобразования энергии и импульса в различных инерциальных системах координат. Данный прием нахождения инвариантных выражений (групп Лоренца) был распространен на все физические законы и получил в дальнейшем признание в виде принципов лоренц-инвариантности и лоренц-ковариантности. Но для таких соотношений невозможно применить указанную выше альтернативную форму преобразований, так как при этом теряется свойство инвариантности. Казалось бы, выбор единственно возможной формы инвариантного интервала очевиден, но так ли это?
Указанные выше определения времени собственного получены в результате использования простых геометрических правил для прямоугольных систем координат и требуют постулирования постоянства скорости света в любых системах отсчета. И предопределены они только тем обстоятельством, что скорость света является величиной конечной. Однако это сказывается не на характере протекания физических процессов, а на их визуальном исследовании. Принцип же лоренц-ковариантности считается проявлением общего закона природы, который не зависит от того, наблюдается или нет какой-либо физический процесс.
К каким же последствиям приводит возведение в принцип (закон природы) лоренц-инвариантных преобразований?
В соответствии с принципом эквивалентности (первый постулат специальной теории относительности) любая инерциальная система имеет право считаться лабораторной, то есть быть неподвижной системой координат. Более того, все лабораторные инерциальные системы должны быть неразличимыми. В противном случае существовала бы единственная выделенная лабораторная система координат, что противоречит первому постулату специальной теории относительности. Следовательно, длительность любого физического процесса должна быть той же самой во всех неподвижных инерциальных системах координат. В то же самое время, если какая-либо координатная система является лабораторной, длительность ней какого-либо процесса должна отличаться от сравниваемой с ней длительности этого процесса в других инерциальных (движущихся) системах с точки зрения неподвижного наблюдателя. При этом длительность любого процесса замеряется с помощью длительности особого эталонного процесса – одной секунды.
По определению, одна секунда – это интервал времени, равный 9192631770 периодам излучения, соответствующего переходу между двумя сверхтонкими уровнями основного состояния атома цезия-133, находящегося в покое при 0°К. И данное определение является однозначно справедливым в любой лабораторной системе координат.

количеству периодов выбранного излучения является объективной и применимой как для установления величины одной секунды, так и для определения длительности любых иных процессов.
У нас имеются две четырехмерные системы координат
X и
X’, в каждой из которых одновременно наблюдается процесс движения из центров указанных систем одного и того же тела. Под термином «наблюдение за движением» понимается фиксация изменения положения тела относительно центра системы координат, осуществляемый, например, по изменению гравитационного или электрического потенциала поля, создаваемого телом, а не визуальное наблюдение. В последнем случае из-за конечности скорости света пришлось бы ограничиться только досветовыми скоростями изменения положения тела. При наблюдении движения обязательным является условие инвариантности интервала Эйнштейна, то есть равенства пройденных телом путей в каждой из систем координат. В системе
X длина пути задается как расстояние от центра системы до точки с координатами

, а в системе
X’ – до точки с координатой

. Координаты

и

можно выразить через независимые в трехмерном пространстве параметры
t и
t’ соответственно, а расстояние

через произведение

. Тогда в соответствии со специальной теорией относительности можно записать:

, и

, причем

. Отсюда прямо следует, что

. Но, поскольку

, а

, то

. Для пространства с псевдоевклидовой метрикой, используемой в специальной теорией относительности

. Причем здесь время
t и
t’ – это время протекания одного и того же процесса. В этом случае за время
t, равное 1 секунде, по мнению наблюдателя из системы
X наблюдатель из системы
X’ должен насчитать большее число периодов излучения атома цезия-133, чем он может насчитать, если его время
t’ равно одной секунде, используемой как эталон времени с системе
X’. Принципиально важно, что с переходом от использования координат

к независимым переменным
t и
t’ нами совершен переход от сравнения неподвижных относительно друг друга четырехмерных систем
X и
X’ к сравнению трехмерных инерциальных систем отсчета. Но в каждой инерциальной системе координат единица измерения времени определяется одним и тем же числом периодов излучения атома цезия-133. Следовательно, так как

, то по мнению неподвижного наблюдателя движущийся наблюдатель использует более короткую единицу времени и один и тот же процесс на движущемся теле протекает быстрее, чем на неподвижном объекте. А это прямо противоречит экспериментально подтвержденным данным о замедлении длительности протекания процессов на движущемся объекте. Удивительно, но в современной физике именно этот эффект считается теоретически доказанным. Правда, для такого «доказательства» приходится считать движущуюся систему координат неподвижной и для описания движения тела ориентироваться на мнение наблюдателя, в системе которого движение тела осуществляется только по временной координате. А для трехмерных систем координат описывать движение тела, наблюдая за телом, находящимся в состоянии покоя, является недопустимым с точки зрения научной логики. Но это обстоятельство почему-то не привлекает внимания – так велико желание доказать правомерность преобразований Лоренца.
Совершенно противоположную ситуацию мы имеем в случае положительной формы инвариантного интервала: для неподвижного наблюдателя ход течения времени на движущемся объекте действительно замедляется, так как при том же самом количестве секунд каждая из секунд будет длиннее.
Еще одним важнейшим обстоятельством для релятивистских зависимостей является то, что они относятся только к тем явлениям и процессам, которые неразрывно связаны с конечностью скорости света. В связи с этим обнаружить эффект релятивистского замедления времени с помощью механических пружинных часов вряд ли не удастся. У космонавта на спутнике ход таких часов будет абсолютно равен их ходу у наблюдателя из Центра управления полетом, так как эти часы оттарированы в одних и тех же условиях. В точности такая же ситуация и с мерой длины – использование на спутнике парижского эталона метра не приведет к тому, что в полете сам метр и кабина спутника будут по длине меньше, чем на Земле – они будут в точности такими же, как и на Земле.
Переход от задачи сравнения инерциальных систем координат к задаче определения особенностей описания поведения движущегося тела при условии конечности скорости света и использовании одной единственной системы координат позволяет избавиться от неразрешимого противоречия между принципом однородности и изотропности пространства и постулатом о постоянстве скорости света в разных инерциальных системах координат. Данное противоречие является следствием изменения масштаба времени и якобы существующего эффекта сокращения длины стержня (вопрос об ошибочности теоретического обоснования данного эффекта был рассмотрен ранее) в зависимости от скорости движения объекта по отношению к неподвижному наблюдателю. Действительно, если скорость фотона определять с использованием различных по величине единиц измерения времени, то она может быть постоянной в разных системах координат только в случае согласованного изменения единиц измерения пространственных отрезков. И при использовании преобразований Лоренца в интегральной форме возникает эффект «сокращения длины стержня» вдоль одной из осей пространственных координат, который является свидетельством о нарушении принципа однородности (изотропности) пространства: величина метра будет зависеть от направления измерения длин отрезков в пространстве (их ориентации по отношению к скорости движения сравниваемых систем координат). В то же время для задачи определения особенностей описания поведения движущегося объекта при условии конечности скорости света не требуется сравнивать различные системы координат – в этой задаче сравниваются величины элементарных проекций движения тела на временную координату четырехмерного пространства одной и той же системы координат при различных ориентациях направления движения наблюдаемого тела. В этом случае каких-либо противоречий между принципом однородности пространства и условием о постоянстве скорости света не возникает. А само требование о постоянстве скорости света в различных инерциальных системах координат является необходимым дополнением первого постулата специальной теории относительности Эйнштейна в отношении независимости законов природы от того, представляет ли себя наблюдатель движущимся, или неподвижным в
трехмерном пространстве. Совокупность данных условий является одной из возможных формулировок принципа равноправия выбора любой из сравниваемых систем координат в качестве лабораторной системы. И для этих систем не существует надуманного и нарушающего принцип изотропности пространства эффекта «сокращения длины стержня».
Аналогично проблеме изотропности надуманной является и проблема «причинности» при наличии сверхсветовых скоростей материальных объектов. Действительно, никого ведь не пугает наличие сверхзвуковой скорости, когда о событии мы можем услышать намного позже, чем оно произойдет. Для пилота самолета, летящего со сверхзвуковой скоростью, скорость звука внутри самолета будет в точности такой же, как если бы самолет стоял на взлетной полосе. А свет чем хуже? С чего это вдруг причина должна поменяться со следствием? Просто возникнут некоторые особые визуальные эффекты и только.
Далее, обратимся к классическому учебнику по физике [7] и просто процитируем непреложные для механики истины.
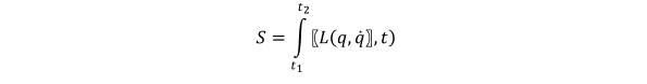
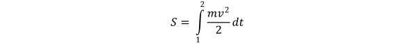
«Наиболее общая формулировка закона движения механических систем дается так называемым
принципом наименьшего действия (или
принципом Гамильтона). Согласно этому принципу, каждая механическая система характеризуется определенной функцией

или, в краткой записи,

, причем движение системы удовлетворяет следующему условию.
Пусть в моменты времени

и

система занимает определенные положения, характеризуемые двумя наборами значения координат

Тогда между этими положениями система движется таким образом, чтобы интеграл

имел наименьшее возможное значение. Функция
L называется
функцией Лагранжа данной системы, а интеграл –
действием». «Как мы видели в §5, лагранжева функция замкнутой (или находящейся в постоянном поле) системы имеет вид:

где
T – квадратичная функция скоростей». Функцию
T «называют
кинетической энергией, а функцию
U –
потенциальной энергией системы». И, кроме того, «величина

остаетсянеизменной при движении замкнутой системы, т.е. является одним из интегралов ее движения». «Легко видеть, что масса не может быть отрицательной. В самом деле, согласно принципу наименьшего действия для действительного движения материальной точки, из точки
1 в точку
2 интеграл

имеет минимум. Если бы масса была отрицательной, то для траекторий, по которым частица сначала быстро удаляется от
1, а затем быстро приближается к
2, интеграл действия принимал бы сколь угодно большие по абсолютной величине отрицательные значения, т.е. не имел бы минимума». Последнее процитированное утверждение в полной мере относится не только к массе, но и ко всей функции Лагранжа свободно движущегося тела.
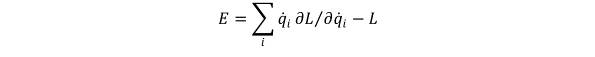
Интеграл движения

свободно движущегося тела совпадает с его кинетической энергией
T, равной функции Лагранжа, при этом последняя в классической механике является однородной дифференцируемой и квадратичной по скорости функцией. При отсутствии внешнего воздействия на тело или систему тел интеграл движения, определяемый через неоднородную (по скорости) функцию Лагранжа, в принципе, также должен совпадать с кинетической энергией и быть равным функции Лагранжа.
Ни инвариантный интервал, ни время собственное в любой из двух указанных ранее форм его представления не являются функцией Лагранжа материальной точки, хотя и содержат необходимый для определения функции Лагранжа состав независимых переменных, поскольку они заданы не через независимые переменные, а через их изменения. Следовательно, либо инвариантный интервал и время собственное могут быть каким-то образом использованы для определения функции Лагранжа, либо лоренц-инвариантность является новым законом природы (и математики), опровергающим вышеуказанное утверждение о том, что наиболее общая формулировка закона движения механических систем основана на принципе наименьшего действия и задается с помощью функции Лагранжа.
Второе из данных предположений не может даже рассматриваться серьезно, так как в области механического движения принцип наименьшего действия может быть нарушен только в результате сознательных действий, чего от неживой природы ожидать не приходится. А вот первое предположение с той или иной степенью общепризнанности рассматривается в физике, и результаты этого рассмотрения будут проанализированы ниже.
Но прежде, чем это сделать, необходимо высказать несколько замечаний.
Поскольку в специальной теории относительности мы имеем дело с четырехмерным пространством, то необходимо определиться с тем, что можно называть механическим движением тел в таком пространстве. Так как движение определяется как изменение длины пути за промежуток времени, то для корректного определения движения необходимо существование независимого времени в дополнение к четырем координатам нашего пространства. Специальная теория относительности не предусматривает такой возможности, поскольку инвариантный интервал не является временем по определению, а время собственное прямо не используется для определения скорости перемещения тела по временной координате. Скорость же света, используемая в качестве множителя в выражении длины временной координаты, не является скоростью движения – это не векторная, а скалярная величина в определении длины временной координаты. Выбор именно данной величины был обусловлен ее размерностью и тем, что скорость света является величиной постоянной в разных инерциальных системах. Казалось бы, в связи с этими обстоятельствами частная производная по времени для четвертой (временной) координаты не может быть определена в принципе. И, следовательно, нахождение функции Лагранжа для четырехмерного пространства было бы невозможным. Но все дело в том, что принятое за базу для классических преобразований Лоренца выражение

не зависит от количества координат в пространстве. Оно должно быть справедливым, как для трехмерного, так и для четырехмерного пространств. В этом случае время
t является независимой переменной, используемой в специальной зависимости. И, учитывая однородность времени, а также постоянство скорости света, время собственное в этом случае можно использовать как независимое время четырехмерной системы координат. Однако это утверждение вовсе не означает, что скорость движения тела в четырехмерном пространстве действительно определена для случая движения по временной координате. Нами просто принято условие, удобное для определения длины единичного отрезка четвертой координаты
без определения независимого параметра – времени для такой системы координат. А то, что время собственное не является независимым временем четырехмерной системы координат прямо вытекает из того, что при его использовании невозможно определить состояние покоя, то есть отсутствие движения по каждой из координатных осей этого четырехмерного пространства. Но введение понятия об инвариантном интервале позволяет рассматривать время собственное в качестве параметра, независимость которого исключается именно введением указанного интервала. Данные обстоятельства приводят к тому, что задача определения функции Лагранжа для движения механических систем в четырехмерном пространстве в конечном итоге может быть сведена к задаче нахождения этой функции для трехмерного пространства с независимым временем. Это прямо вытекает из условия равенства при состоянии покоя в лабораторной системе координат времени собственного и времени координатного, которое является независимым временем трехмерной системы координат, а также взаимозависимости координатных времен в различных системах отсчета. При этом то, что это независимое для трехмерного пространства время является параметром, определяющим одну из координат четырехмерного пространства и совпадающим в одном из случаев с временем собственным, должно учитываться при нахождении функции Лагранжа для трехмерного пространства.
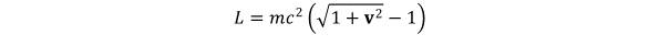
В физической литературе описано множество попыток определить функцию Лагранжа механического движения применительно к лоренц-инвариантному интервалу, в соответствии с которыми функция Лагранжа может иметь вид

, либо

независимо от размерности систем координат. Оба эти выражения находятся в явном противоречии с определением кинетической энергии (см. [7], с.16, 18, 26), величина которой для свободно движущегося тела должна совпадать с функцией Лагранжа. Подчеркнем, что кинетическая энергия тела определяется в специальной теории относительности как

, то есть существует полная несовместимость определения релятивистской функции Лагранжа с ее сущностным содержанием.
Кроме того, в специальной теории относительности делается ничем не обоснованное исключение из теории, требующей определения кинетической энергии свободно движущегося тела через интеграл его движения, а сама кинетическая энергия определяется по особым правилам, основанным на существовании лоренц-инвариантного соотношения для энергии и импульса (инвариантная масса):





Совершенно очевидно, что при таком определении кинетической энергии ни функция Лагранжа, ни выражение для интеграла движения не используются. Однако одновременно с полным отказом от принципов классической физики делается попытка представить дело так, как будто никакого отказа от этих принципов нет.
Попробуем все же рассмотреть данный вопрос без отказа от принципов классической теории.
Прежде всего, следует отметить, что определение функции Лагранжа является обязательным результатом решения задачи об особенностях наблюдения за движущимся телом при условии конечности скорости света. В классической механике принято считать функцию Лагранжа равной разности кинетической и потенциальных энергий, а полную энергию механической системы – сумме этих энергий. В связи с этим функция Лагранжа при отсутствии внешнего потенциального поля может быть только положительной величиной. Данное условие необходимо сохранить и при определении функции Лагранжа для четырехмерного пространства. С учетом указанных обстоятельств, а также замечаний относительно независимого времени четырехмерного пространства систему уравнений Эйлера-Лагранжа для свободной материальной точки можно записать в виде

. Здесь и далее использовано обозначение

. Функция Лагранжа свободно движущегося тела не зависит в явном виде ни от радиус-вектора, ни от времени. Кроме того, функция Лагранжа не может зависеть также от направления вектора скорости и является функцией его абсолютной величины, то есть должна быть функцией от квадрата скорости движения тела

. Для четырехмерной системы координат, ориентированной таким образом, чтобы движение тела определялось только изменением времени, (будем назвать ее «движущейся») можно определить функцию Лагранжа в виде:

, что, с учетом постоянства скорости света, позволяет обеспечить соблюдение требования о равномерности данного движения. Коэффициент пропорциональности в виде единицы выбран, исходя из соображений перехода уравнений релятивистской динамики в динамику Ньютона, что будет видно из дальнейшего.
При определении функции Лагранжа в четырехмерных системах координат, не связанных с условием движения тела только по временной координате, необходимо учесть, что в них по сравнению с системой, где движение тела происходит только по временной координате, используются иные величины пространственных координат

и

для одного и того же инвариантного интервала. И движение тела, принадлежащего системе координат

, наблюдается в лабораторной системе

, в которой наблюдатель считает себя неподвижным, а тело движущимся не только по временной координате. При этом различие координатных сеток заключается в единицах измерения для

при наличии условия связи между ними

, позволяющего сравнивать эти сетки. Применительно к системе уравнений Эйлера-Лагранжа это означает, что

, (так как

, а

), а коэффициент

определяет отношение измеренных с помощью одной и той же единицы длины размеров одной из сторон аналогичных ячеек в координатных сетках (их сравнительный масштаб). В то же время описание разных способов движения тела осуществляется сторонним наблюдателем с помощью единственно доступного ему метрического эталона (одинаковых ячеек). И ему вовсе необязательно использовать
две различные системы отсчета, поскольку он видит
движение тела только по
своей координатной сетке, но не связанную с движущимся телом сетку. А так как наблюдатель
не видит другую систему отсчета и руководствуется своими размерами ячеек, то эффект, определяемый различием масштабов сравниваемых систем координат, является для него целиком и полностью следствием различий в определении функции Лагранжа. В этом случае необходимой для учета разных способов описания движения тела процедурой замены переменных в системе уравнений Эйлера-Лагранжа является замена функции Лагранжа системы отсчета, где тело движется только по временной координате, на ее «масштабированное» выражение

лабораторной системы координат при использовании (сохранении) единственно доступных наблюдателю независимых переменных. А поскольку функция Лагранжа свободно движущегося тела не может зависеть от координат, в том числе и от

, то является справедливым утверждение, что

, и общее выражение функции Лагранжа в этом случае имеет вид:

.
Тот же самый результат может быть получен, если действие

определяется разными наблюдателями для своих четырехмерных пространств. Поскольку используемые нами четырехмерные системы координат являются неподвижными относительно друг друга, то и действие
S для них является одним и тем же. А так как между указанными системами существует взаимосвязь, устанавливаемая через независимые времена трехмерных инерциальных систем отсчета, являющихся отображением четырехмерных систем координат в трехмерном пространстве, то это самое действие можно определить для разных четырехмерных систем с помощью указанных независимых времен для трехмерных систем отсчета. В этом случае

. Следовательно, переходя от действия к функции Лагранжа на основе известной зависимости между ними, сразу же видно, что

а

.
Определять выражение для энергии по интегралу движения в четырехмерном пространстве нет ни практической необходимости, ни возможности, так как для этого пространства нет точного понимания, что собой представляют собственно четырехмерное движение и состояние покоя.
Для того чтобы найти выражение для функции Лагранжа в трехмерном пространстве, необходимо обратить внимание на следующее.
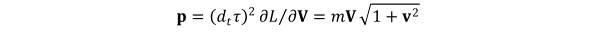
Движение тела только по временной координате определяет его кинетическую энергию как

при отсутствии внешнего потенциального поля. И, учитывая, что обе используемые нами четырехмерные системы координат являются неподвижными, можно считать, что величина

является сохраняющейся при движении теле по временной координате любой четырехмерной системы координат независимо от того, есть в ней движение тела по остальным пространственным координатам или нет. Тогда, учитывая, что кинетическая энергия является скалярной величиной, в выражении для функции Лагранжа четырехмерного пространства можно выделить трехмерную пространственную составляющую кинетической энергии:

И именно эту функцию может и должен применять неподвижный (лабораторный) наблюдатель, использующий трехмерную систему координат. А введенное Эйнштейном выражение

является определением величины скрытой от непосредственного наблюдения кинетической энергии движения тела по временной координате, то есть «внутренней» энергией покоя тела в трехмерном пространстве.
Для того, чтобы использовать выражение четырехмерного интеграла движения

в трехмерном пространстве необходимо основываться на независимом времени этого трехмерного пространства и трехмерной же скорости

вместо четырехмерной скорости
u
. Поскольку вместо производной

необходимо использовать производную

, следует учесть, что единицы измерения времени в лабораторной и движущейся системах координат для неподвижного наблюдателя количественно различаются. А так как течение времени в движущейся системе координат принято нами совпадающим с ходом времени собственного, и

, то производная

может быть заменена на

с учетом отношения разных единиц измерения времени, которое равно to

. А это значит, что уравнение для интеграла движения должно быть записано в виде

Здесь

.
Прямая подстановка выражения

в указанное уравнение интеграла движения

показывает, что кинетическая энергия свободно движущегося тела для наблюдателя из трехмерной лабораторной системы координат равна функции Лагранжа, определяющей движение тела, несмотря на то, что в отличие от классической механики данная функция является неоднородной.
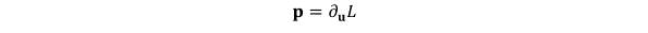
Определением механического импульса в четырехмерном пространстве является выражение

. Данное выражение нельзя непосредственно использовать для трехмерного пространства, так как мы имеем дело с различными независимыми переменными, отвечающими за течение времени в этих пространствах. Поэтому в правую часть данного определения необходимо ввести добавочный коэффициент

, учитывающий изменение выражения для интеграла движения при замене одного независимого времени на другое. Кроме того, надо учесть, что замена скорости в выражении импульса для четырехмерного пространства не может быть осуществлена только заменой символов. Изменение единиц измерения времени должно быть учтено также и при замене скорости

, определенной с помощью единиц измерения времени собственного, на трехмерную скорость

, определяемую с помощью единиц измерения времени в лабораторной системе координат. Как это было отмечено выше, при определении выражения для интеграла движения в трехмерном пространстве должно быть учтено изменение размерности единиц измерения скорости в различных (по количеству переменных) системах координат

, учитывающее изменение размерности единиц измерения времени. Поэтому в формуле для механического импульса необходимо использовать величину

вместо переменной

.
Что же касается функции Лагранжа, то изменение размерности единиц измерения времени при переходе от одной системы координат к другой системе учитывается путем изменения вида определения этой функции в разных системах координат. При этом необходимо подчеркнуть, что на скорость света изменение единиц измерения времени не влияет в соответствии со вторым постулатом специальной теории относительности. А величина относительной скорости

является безразмерной, возникает только при определении функции Лагранжа в одной из систем координат (лабораторный наблюдатель и движущееся тело), и на нее не распространяется требование учета различия в единицах измерения времени при переходе от одной системы координат к другой.
И после всех уточнений выражение для механического импульса в трехмерном пространстве определяется следующим образом:

Следует отметить, что подобные выражения для импульса и времени собственного обсуждаются [2] при описании поведения гипотетических частиц – тахионов.
При малых значениях скорости тела (в трехмерном пространстве) кинетическая энергия, равно как и функция Лагранжа, будут выражены в привычной для классической механики форме без необходимости исключения каких-либо дополнительных величин:

при

При этом выполняется также известное из классической механики условие

.
Данные обстоятельства объясняют правильность выбора единицы в качестве коэффициента при определении функции Лагранжа свободно движущегося только по временной координате в четырехмерном пространстве тела.
И поскольку для однородной и неоднородной функций Лагранжа определение силы через ускорение является одним и тем же, то:

Следовательно, выражение для силы совпадает с классическим выражением только при

.
Отметим, что правила преобразования физических величин при переходе от четырехмерного пространства к трехмерному пространству не являются каким-то особым принципом (законом), который должен учитываться при построении физических теорий. В то же время, релятивистский принцип в форме лоренц-инвариантных преобразований импульса и энергии не дает возможности считать классическую механику частным случаем релятивистской механики и означает полный отказ от принципов классической механики, к тому же связанный с введением предельной скорости движения материальных объектов.
Но может быть релятивистский принцип лоренц-инвариантности справедлив в отношении электродинамики? Попробуем разобраться в этом вопросе.
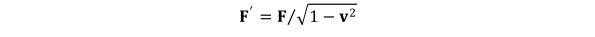
Соответствие уравнений электродинамики принципу лоренц-инвариантности определяется выражением

, для которого справедливы следующие зависимости:




Использование данных зависимостей при описании взаимодействия движущегося заряда и прямолинейного проводника с током приводит к тому, что сила Лоренца

, действующая на данный заряд, в движущейся вместе с зарядом системе координат и та же самая сила, определяемая в лабораторной системе (проводник неподвижен), связаны соотношением

(см., с.311 [6]).
При скоростях смещения центров инерциальных систем значительно меньших скорости света выражение для силы Лоренца, определенное в соответствии со специальной теорией относительности, должно совпадать с ее выражением в классической электродинамике. Однако этого не происходит, поскольку при таком условии релятивистское выражение для сил Лоренца стремится к виду:

И какой бы малой не была инерциальная скорость согласовать классическое равенство указанных сил и лоренц-инвариантное выражение силы Лоренца не удается. И причина такого противоречия заключается в том, что релятивистское выражение для силы Лоренца основано именно на лоренц-инвариантном определении электрической напряженности и магнитной индукции в соответствии с зависимостью

.
В то же самое время, при решении данной задачи об определении силы Лоренца нет необходимости во введении двух инерциальных систем координат. Достаточно использовать одну и ту же систему, связанную с электрическим зарядом, в которой взаимодействие магнитного поля и электрического заряда рассматривается с точки зрения мнения наблюдателя о своем движении. В одном случае наблюдатель может считать себя и заряд неподвижными, а проводник движущимся, а в другом – движущимся вместе с зарядом, в то время как проводник с током, создающим магнитное поле, остается неподвижным. Обратим внимание, что в обоих случаях проводник с током создает магнитное поле, совершенно однозначно регистрируемое наблюдателем. А так как совершенно безразлично, что именно движется – магнитное поле вместе с проводником или заряд, то сила Лоренца, замеряемая наблюдателем, будет в обоих случаях той же самой и

. В точности тот же самый результат будет получен и наблюдателем, связанным с проводником с током. И показания регистрирующего силу Лоренца прибора, находящегося в одной и той же точке пространства, должны удивительным образом меняться только по желанию наблюдателя признать себя неподвижным или движущимся.
И поскольку только лишь мнение наблюдателя не может быть причиной изменения реальной физической силы, а ранее отмеченное различие сил Лоренца в разных системах координат базируется на предположении о необходимости введения именно разных систем координат, то возникает неразрешимое противоречие в описании одного и того же процесса. Напомним, что введение понятия о разных инерциальных системах координат связано с необходимостью учета конечности скорости света при наблюдении за изменением положений в четырехмерном пространстве движущегося объекта. В данном случае такая задача не стоит, так как сила Лоренца рассматривается как величина постоянная, действующая на заряд в один единственный момент и в одной и той же точке трехмерного пространства. Это принципиальное несоответствие в результатах определения одной и той же силы вызвано тем, что использование лоренц-инвариантных соотношений для параметров электромагнитного поля основано на искусственном приеме введения необусловленных практической и теоретической необходимостью правил и является ошибочным.
Обратим особое внимание на то, что нами рассмотрено только электромагнитное взаимодействие электрического заряда с магнитным полем тока, то есть отдельный частный случай этого взаимодействия. Общий случай взаимодействия зарядов и создаваемых ими или внешних магнитных полей, также как и рассмотренный нами частный случай, характеризуется тем, что при его рассмотрении вообще не требуется определение траектории движения заряда при его наблюдении сторонним или связанным наблюдателем. А это значит, что нет никаких оснований для выражения электромагнитного взаимодействия на основании принципа Гамильтона и привлечения функции Лагранжа к определению сочетания электромагнитных вектор-потенциалов в разных точках. И уж тем более нет никакой необходимости в поиске некоего лоренц-инвариантного выражения для вектор-потенциалов в различных инерциальных системах координат. Для наблюдателя важно знать не скорости смещения заряда и магнитного пол относительно него, а скорость относительного движения между ними и только. Фактически в этом случае мы имеем дело с взаимодействием двух токов, в одном из которых выделяется только один заряд, изменение же законов взаимодействия токов на основе искусственно вводимого релятивистского принципа не вызвано ни экспериментальными данными, ни теоретическими предпосылками.
Что же касается света, как электромагнитной волны, имеющей электрические и магнитные свойства, но не имеющей электрического заряда, то и рассматривать ее надо как волновой процесс, а не как движение дискретных заряженных частиц. Однако волна не является безразмерным объектом, в то время как в рамках специальной теории относительности движение тела, имеющего конкретные размеры, заменяется движением его безразмерного центра масс. А поскольку для волны не существует такое понятие как центр масс, возникающее противоречие приходится нивелировать введением понятия о лишенном пространственных размеров импульса света. Данное понятие предполагает, что для соблюдения одномоментности событий в одной и той же точке пространства сравнение разных волн осуществляется по месту и моменту нахождения одной и той же фазы волны. В квантовой механике, в отличие от специальной теории относительности, принцип одномоментности события в одной и той же точке пространства не используется – волна не локализуется в точке. Правда, при этом в квантовой механике по-прежнему используются понятия, применимые к точечному объекту – импульс и местоположение, но введение волновой функции позволяет совместить в принципе несовместимые понятия о точечном объекте и волне. Для этого волновая функция наделяется свойством вероятностного описания рассматриваемого события. Возникновение свойства вероятностного описания параметров движущегося тела связана с тем, что при наличии внешнего воздействия на него центр масс тела и его центр инерции могут не совпадать в пространстве. В этом случае понятие импульса тела, по определению приписываемого движению его центра масс, и понятие о его скорости, определяемой по движению центра инерции тела, вступают в противоречие друг с другом.
В нашем случае при переходе от одной системы координат к другой системе мы имеем дело с особенностями влияния движения источника излучения на испускаемый им импульс света при сохранении таких свойств волны как ее длина и частота. Данное явление известно в физике как электромагнитный эффект Доплера, характеризующийся изменением частоты электромагнитного излучения движущегося источника по сравнению с частотой излучения неподвижного источника.
Объяснение электромагнитного эффекта Доплера [5] основано на учете как акустического эффекта, так и влияния различного течения времени в движущейся и неподвижной системах координат на частоту излучения одного и того же источника. Измерение частоты излучения в лабораторной системе осуществляется путем подсчета числа периодов колебаний эталонного излучения за одну секунду. А так как на движущемся идентичном эталонному источнике длительность одной секунды по часам лабораторного наблюдателя будет больше, чем у него, то число периодов колебаний излучения от движущегося источника, подсчитанных за одну секунду этим наблюдателем, будет меньше, чем он регистрирует в отношении своего эталонного излучателя. Тогда частота излучения

электромагнитной волны, наблюдаемой в лабораторной системе, но испущенной движущимся источником, по сравнению с частотой того же самого излучения

в лабораторной системе определяется как:

Здесь

, где

– угол между направлением на источник излучения и вектором скорости в системе отсчета наблюдателя.
В данной формуле учтены как влияние направления и величины скорости движения источника излучения по отношению к наблюдателю («обычный акустический» эффект), так и релятивистский эффект изменения единиц измерения времени в различных системах отсчета (у стороннего наблюдателя и движущегося источника излучения). Однако данная формула полностью справедлива только в отношении красного смещения, а для фиолетового смещения ей можно пользоваться, если радиальная скорость не превышает величину скорости света. Для сверхсветовых скоростей процесс пролета тела мимо стороннего наблюдателя воспринимается им как разлет в разные стороны двух тел из точки максимального сближения тела с наблюдателем. Но визуальное восприятие приближения тела как его удаления будет сопровождаться переходом красного смещения в фиолетовое, максимум которого приходится на

, с последующим его переходом вновь в красное смещение по мере роста (по модулю) величины радиальной скорости. Сама же формула для эффекта Доплера в этом случае уточняется заменой выражения

величиной

.
Широко известное [4] выражение

дает на практике (досветовые скорости) те же самые результаты, но это совпадение случайное и определено достаточной малостью доступных для сравнения скоростей движущихся источников излучения.
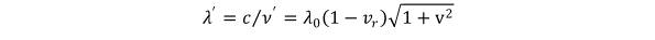
Весьма примечательно, что для эффекта Доплера должен быть справедлив эффект «изменения длины волны», определяемый тем, что скорость света является величиной постоянной вне зависимости от скорости источника его излучения. Однако принципиальное отличие данного эффекта от ничем не обоснованного лоренцева эффекта сокращения длины стержня заключается в том, что изменение первоначальной длины волны движущегося источника излучения зависит не только от модуля абсолютной скорости движения источника по отношению к стороннему наблюдателю, но и от радиальной компоненты этой скорости:

Необходимо также отметить, что сторонники релятивизма пытаются придать релятивистский характер электромагнитной волне, но эти попытки являются глубоко ошибочными, так как они основаны на ложном представлении, что специальная теория относительности позволяет осуществить преобразование координат одной инерциальной системы в координаты другой инерциальной системы отсчета. В действительности же специальная теория относительности позволяет осуществить
только сравнение хода часов у движущегося и неподвижного наблюдателей. И эта теория является решением задачи об особенностях наблюдения неподвижным наблюдателем за движущимся объектом в условиях конечности скорости света, а никак не задачу сравнения координат различных инерциальных систем отсчета. И само по себе уравнение волны в виде

не является уравнением волны для четырехмерного пространства, так как параметр
t не является независимым временем указанного пространства. Это всего лишь время, причем независимое, для трехмерного пространства. И преобразовать это уравнение к виду, приемлемому для четырехмерного пространства, путем добавления нулевой (временной) координаты с переходом ко времени собственному невозможно, так как время собственное не является независимым временем четырехмерного пространства. Оно всего лишь условие одинаковости некоторого элементарного вектора при его рассмотрении под разными углами в различных четырехмерных системах координат. Кроме того, при наличии выражения для инвариантного интервала время собственное не является независимой величиной – это всего лишь функция от четырех независимых координат четырехмерного пространства. И его использование в качестве независимого времени четырехмерного пространства ограничено, как это отмечалось выше, целым рядом условий. А раз нет в общем случае возможности определения уравнения волны в четырехмерном пространстве, то нет и возможности судить о его релятивистском характере. При этом знание о релятивистском характере длины и частоты волны не позволяет с его помощью перейти к сравнению координат даже
двумерных систем отсчета, поскольку для любой волны в самом упрощенном представлении мы можем иметь только один независимый параметр (частоту либо длину волны), на основании которого нам необходимо произвести сравнение пары как минимум двух независимых пространственных координат. А для одномерного пространства нет никакой необходимости искать сравнение координат разных инерционных систем отсчета через частоту колебаний, так как это сравнение уже обеспечено заданием скорости относительного смещения центров разных инерциальных систем координат. И вообще, уравнения Максвелла строятся на основании непреложного представления о возможности существования неизменного набора координат для произвольно выбранной точки хотя бы в одной инерциальной системе координат в течение любого промежутка времени. Это означает, что для любого физического процесса можно найти такую систему координат, что это процесс будет происходить без перемещения в пространстве. Однако, в сконструированном Альбертом Эйнштейном четырехмерном пространстве таких полностью неподвижных точек нет и быть не может, так как движение по временной (нулевой) координате, то есть непрерывное изменение ее измеряемой величины, осуществляется непрерывно. В этом смысле существование неподвижного четырехмерного наблюдателя не может быть обеспечено в пространстве Эйнштейна – Минковского и в общем случае в римановом пространстве с размерностью больше трех. И в специальной теории относительности используется некое условное представление о едином для разных инерциальных систем координат «неподвижном» четырехмерном наблюдателе. Отсюда следует, что уравнения Максвелла несовместимы с аксиоматическим предположением Эйнштейна об инвариантном четырехмерном интервале. И эти уравнения принципиально нельзя подвергать «релятивистскому усовершенствованию». Известные же в литературе «релятивистские» выражения для параметров электромагнитного поля являются таким же заблуждением, что и лоренц-инвариантные выражения для импульса-энергии.
Еще одним аргументом в пользу классических преобразований Лоренца является эффект аномальной длины треков короткоживущих частиц, регистрируемой в процессах распада этих частиц. Совершенно ясно, что отрицательный инвариант времени собственного

приводит не к увеличению, а к сокращению времени жизни распадающихся частиц, то есть к совершенно противоположному ожидаемому результату. Но в современной физике используется иное выражение для описания эффекта замедления течения процессов на движущемся теле по сравнению с течением этих же процессов на неподвижном теле:

. И хотя данное выражение является ошибочным, его применение позволяет качественно оценить зависимость длины трека частицы от изменения ее энергии. Но вот в количественном отношении длина трека возрастает быстрее, чем ее импульс, что и послужило основанием для введения понятия об аномальности длин треков. Это особенно заметно в физике высоких энергий. И в этом случае единственно верным объяснением длин треков частиц является отсутствие ограничения их скорости скоростью света при соблюдении условия об увеличении периода «рождение-распад» (периода жизни) частицы в зависимости от ее импульса, определенного через функцию Лагранжа. Действительно, длина трека является пропорциональной произведению скорости частицы на время ее жизни. Тогда

и при

. И если скорость частицы не ограничена скоростью света, то при одних и тех же значениях времени жизни длина ее трека будет больше, чем в случае наличия такого ограничения.
В заключение по данному вопросу необходимо еще раз обратить внимание на принципиально важную особенность инвариантного интервала Эйнштейна и эквивалентного ему понятия о времени собственном. Эти параметры введены для учета независимости течения времени на часах неподвижного наблюдателя от перемещений (или их отсутствия) тела. В этом случае само течение времени отождествляется с движением по временной координате четырехмерного пространства. Для такого математического приема чрезвычайно важно, что инвариантный интервал (время собственное) не является величиной постоянной, так как время течет непрерывно. Еще одной особенностью этих величин является то, что из-за исключения из рассмотрения смещения центров сравниваемых систем координат выражение для времени собственного (интервала) как инвариантной величины может быть определено только через дифференциалы независимых переменных, а не через их конечные величины. Это связано с тем, что в специальной теории относительности мы имеем дело не с преобразованиями координат, как это имеет место в случае классических трехмерных преобразований Лоренца, а со сравнением различных описаний одного и того же элементарного отрезка в рамках разных четырехмерных системах координат. Для этих систем можно предложить множество метрических определений величины расстояния между двумя произвольно выбранными точками. Но лишь два из них являются отвечающими требованиям однородности пространства и времени. При этом использование понятия трехмерной скорости движения тела в выражении для времени собственного не требует невозможного – определения этой скорости в процессе прямого визуального наблюдения. Она может быть вычислена косвенным путем на основании данных об изменении частоты излучения движущегося объекта и данных о течении времени на часах неподвижного наблюдателя, что снимает проблему внутренней противоречивости определения времени собственного.
В то же самое время, величины, используемые в лоренц-инвариантных преобразованиях энергии и импульса в механике и преобразованиях параметров электромагнитного поля, в принципе должны быть постоянными, конечными и определенными через зависимые переменные. В связи с этим указанные инвариантные величины не могут быть отождествлены по своей математической и физической сущности с инвариантным временем собственным, призванным обеспечить независимость используемого для трехмерного пространства времени как самостоятельной переменной. А если нет задачи по сохранению независимости используемых переменных, то нет и необходимости в специальном инвариантном выражении. И вызывает сожаление тот факт, что Альберт Эйнштейн, отказавшись от использования классических преобразований Лоренца и заменив их инвариантным интервалом, тем не менее, по непонятным причинам, предложил инвариантное выражение для энергии-импульса, по своей математической сущности совпадающее с отвергнутым им же самим инвариантом классических преобразований Лоренца. Но именно на этих, принципиально противоречащих теоретической механике, определениях энергии и импульса построена не только релятивистская динамика, но и релятивистская квантовая теория поля.
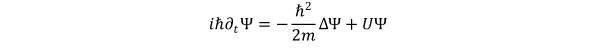
В квантовой физике основным является классическое уравнение Шредингера

, сформулированное таким образом, чтобы через функцию

определять состояние частицы независимо от ее движения, то есть перейти от динамического процесса, рассматриваемого с помощью функции Лагранжа, к статике, когда движение заменяется мысленным переносом частицы в иную точку пространства. При этом первый член из правой части указанного уравнения сформулирован так, чтобы исключить влияние на состояние частицы свойства инерциальности материальных объектов, которое определяет наличие в функции Лагранжа для трехмерного пространства компоненты, фактически отвечающей за движение тела только по временной координате –

, то есть этот член построен по аналогии с определением кинетической энергии, принятом в классической механике. А вклассической механике отсутствуют какие-либо запреты на величину скорости материальных объектов. В этом смысле уравнение Шредингера является справедливым для досветовых, околосветовых и сверхсветовых скоростей движения тел. Примечательно, что в уравнении Шредингера мнимая единица применяется только для удобства использования формулы Эйлера, а не исходя из физической необходимости. И уравнение Шредингера, используется в нем мнимая единица или нет, также как и уравнения Максвелла, не подлежит «релятивистскому» пересмотру прежде всего по тому, что использование для этого пересмотра преобразование координат

в соответствии со специальной теорией относительности может быть реализовано только для временных координат, а для релятивистского пересмотра этих уравнений требуется осуществить преобразование пространственных координат

, что принципиально невозможно. Кроме того, первый член в правой части уравнения Шредингера содержит в знаменателе величину 2
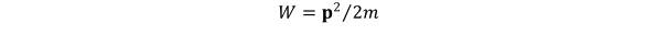
m, которая присутствует в нерелятивистском определении кинетической энергии через импульс тела. Казалось бы, что для уравнения Шредингера данное обстоятельство является серьезным ограничением, препятствующим его применению в релятивистском случае. Однако такое ограничение возникает только из-за желания обязательно использовать при волновом описании состояния материальных тел принятые в корпускулярной физике лоренц-инвариантные понятия полной энергии и импульса. Но если ограничиться в волновой механике только определенным с помощью функции Лагранжа понятием энергии, то данная проблема снимается. При этом надо иметь ввиду, что в релятивистском случае необходимое для решения уравнения Шредингера выражение для кинетической энергии может быть определено как

только, если импульс будет тела определен не с помощью преобразований вида

, а именно с помощью данного выражения. Равно как и волна де Бройля должна быть выражена не через механический релятивистский импульс тела, а через его кинетическую энергию, то есть в виде:

. В этом случае модуль квантового импульса равен

. А сам квантовый импульс как векторную величину можно определить через выражение

. Если действовать формально, поскольку для волны невозможно определить место приложения квантового импульса, то силу, как физическую величину, в зависимости от квантового импульса следует выразить в виде:



При скоростях, значительно меньше скорости света получается совпадающее с классическим выражение для силы

.
Обратим внимание на очень важное обстоятельство, являющееся следствием явной независимости функции Лагранжа свободно движущегося тела (его кинетической энергии) от времени и координат. Как раз для того, чтобы связать энергетические характеристики тела с его местоположением в пространстве и времени, и вводится понятие об импульсе тела. Это необходимо для того, чтобы анализ результатов наблюдения за телом можно было описать с помощью математических методов и терминов в привязке к конкретному наблюдаемому или предполагаемому местоположению тела. Но квантовый и релятивистский механический импульсы являются принципиально различными (в математическом и физическом смыслах) решениями указанной задачи. Первое из них является представлением кинетической энергии тела через дополнительную векторную функцию, определяемую через ее проекции на координатные оси и направление движения тела. В то время как второе – частной производной первого порядка от кинетической энергии. Совпадение данных решений конечно возможно, но это равенство должно быть не самоцелью, а автоматическим следствием действий с функцией Лагранжа по заданным правилам и соблюдением заранее принятых аксиом. Но для релятивистских скоростей данное условие не может быть выполнено. Это связано с тем, что аксиомами для специальной теории относительности являются принципы однородности как времени, так и пространства. В общей теории относительности было предложено отказаться от принципа однородности пространства, а закон сохранения механического импульса считать имеющим локальный, а не глобальный характер. Однако на глобальность характера закона сохранения квантового импульса отказ от принципа однородности пространства не может влиять никаким образом, так как квантовый импульс является особым представлением кинетической энергии, закон сохранения которой основан на принципе однородности времени, а не пространства. А принцип однородности времени не находится в противоречии с принципом эквивалентности инерциальных систем. Сам же отказ от принципа однородности пространства является следствием логического предположения о глобальности, то есть независимости от координат, принципа сохранения скорости света при гравитационном взаимодействии. Но мысленное, абстрагированное от материальной сущности представление человека о свойствах и особенностях природы с помощью их выражения в виде логических символов в качестве законов и закономерностей природы невозможно без использования таких понятий как геометрический континуум и время. А если мы имеем дело с континуумом, то должна быть и непрерывная сущность, которая в идеальном случае должна быть однородной. И это приводит нас к заключению, что принципы однородности пространства и времени могут быть применимы совместно с принципом конечности скорости света, который можно трактовать как ее постоянство, но только в идеальном случае, то есть при существовании корпускулярных частиц материи в
пустом пространстве.
Как механический, так и релятивистский квантовый импульс при скоростях много меньше скорости света определяются выражением, принятым в классической механике:

. Существенные количественные различия между механическим и квантовым импульсами возникают только при превышении скорости частицы величины в половину скорости света.
Но и в первом, и во втором случаях для релятивистского определения импульса нет необходимости в специальном введении принципа о лоренц-инвариантности импульса-энергии.
В тоже время для релятивистских и сверхсветовых скоростей гамильтоново представление динамики является проблематичным, так как релятивистская функция Лагранжа не является математически однородной, что приводит к неприменимости выражения

в отношении релятивистских функций Лагранжа и Гамильтона для трехмерного пространства в случае свободного движения тела, При определении функции Гамильтона в трехмерном пространстве необходимо учитывать изменение единиц измерения времени для общего выражения функции

, а не только импульса. В связи с этим функция Гамильтона для трехмерного пространства приобретает вид:

, то есть вид, отличный от применяемого в классической механике. Но в этом случае использование функции Гамильтона, как замены выражения

при релятивистском определении функции Лагранжа в трехмерном пространстве, невозможно, если одновременно мы хотим обеспечить соблюдение закона сохранения релятивистской кинетической энергии при инерциальном движении тела:

.
В этом смысле уравнение Шредингера, сформулированное таким образом, чтобы определять состояние частицы на основе учета скрытой в трехмерном пространстве «инерциальной» силы и сил, действующих на нее внешним потенциальным полем, не может быть определено с помощью функций Гамильтона и Лагранжа, применяемых для описания движения тела, то есть в динамике, поскольку уравнение Шредингера предназначено для определения состояния в произвольно выбираемой точке, то есть в статике. В связи с этим необходимо констатировать, что уравнение Дирака

не является обобщением уравнения Шредингера для релятивистских скоростей по нескольким причинам.
Во-первых, мало того, что описание частицы в нем производится в состоянии динамики, так оно еще и основано на обязательном соблюдении противоречащего основаниям теоретической механики принципа лоренц-инвариантности энергии-импульса. Во-вторых, в данном уравнении используется оператор импульса, по своей сущности аналогичный лоренц-инвариантному механическому, а не квантовому импульсу, которые, как уже указывалось, принципиально отличаются друг от друга. Ну и, наконец, в-третьих, операторы импульса в этом уравнении определены в четырехмерном пространстве, в то время как волновая функция определена в трехмерном пространстве. Данное обстоятельство является удивительным математическим открытием, так как в трехмерном пространстве можно построить трехмерную проекцию четырехмерного вектора, но никак не сам вектор. Справедливости ради необходимо отметить, что в первоначальном уравнении Дирака, считающегося эквивалентной формой записи уравнения Шредингера, вместо оператора Лапласа при замене потенциальной энергии на энергию покоя использован оператор импульса:

. Причем оператор импульса задан для трехмерного пространства. Но в современной трактовке энергия покоя тела рассматривается как произведение скорости света на проекцию импульса движения тела по временной координате четырехмерного пространства. При этом ни определения независимого времени для этого пространства, ни преобразования волновой функции к виду, действительному для четырехмерного пространства, не производится. С учетом данных обстоятельств, для релятивистских скоростей использование в квантовой механике уравнения Шредингера в обобщенной форме (через гамильтониан) не представляется возможным. Сама же идея о формулировке выражения для волновой функции через дифференциальное уравнение первого, а не второго порядка, является очень заманчивой. Однако использовать для этого гипотезу Дирака о «линейных операторах над пространством биспиноров (матрицы Паули)», казалось бы, невозможно в принципе, поскольку они определены исходя из условия правомерности лоренц-инвариантной зависимости полной энергии и импульса. Хотя положительным моментом данной гипотезы и является то, что она ориентирована на определение импульса, принятое для корпускулярной, а не волновой механики. Повторим, что и для корпускулярной механики указанная лоренц-инвариантная зависимость, равно как и введенное через специальную теорию относительности понятие о полной энергии, являются ошибочными. В то же время, если мы определим для четырехмерного пространства специальной теории относительности четырехмерный импульс, компонентами которого для пространственных координат трехмерного пространства будут компоненты классического импульса

и выражение

, как компоненту импульса при движении по временной координате, то мы можем счигать правомерными как классическое определение уравнения Дирака, так и его указанное выше выражение в современном виде:

. Следует особо отметить, что компоненты данного импульса будут принципиально отличаться от известного из современной физической теории четырехмерного импульса, ошибочность определения которого нет даже необходимости обсуждать, имея ввиду ошибочность признания времени собственного независимым временем четырехмерного пространства и определения зависимости между полной энергией, импульсом и энергией покоя в форме, предложенной в специальной теории относительности. При этом необходимо иметь ввиду, что уравнения Шредингера и Дирака построены на принципиально разных понятиях о релятивистских энергии и импульсе. Уравнение Шредингера базируется на релятивистском выражении для кинетической энергии тела в трехмерном пространстве и выведенном на основе классических представлений выражении для квантового импульса. А уравнение Дирака базируется на особом релятивистском выражении для импульса в четырехмерном пространстве

и подобного определению Альбертом Эйнштейном зависимости между полной энергией и импульсом выражения для энергии тела в четырехмерном пространстве

. Такой особый вид импульса, сконструированный не на основе соблюдения принципа однородности пространства, может быть использован и в случае описания движения тела в трехмерном пространстве. В этом случае проекция четырехкомпонентного (не путать с четырехмерным) вектора на трехмерное пространство будет иметь вид:

.
И смешивать, а тем более обобщать, уравнения Шредингера и Дирака никак нельзя. Как нельзя также признать неправильным любое их них, просто при решении задач физики следует определиться, какое из релятивистских определений для кинетической энергии тела в трехмерном пространстве или импульса тела в четырехмерном пространстве (его проекции на трехмерное пространство) должно обязательно соблюдаться. Обратим внимание, что при всем различии трех указанных определений импульса их применение осуществляется совместно с фактически одним и тем же определением релятивистской кинетической энергии. Но только одно из этих трех определений импульса тела выводится с учетом соблюдения принципа однородности пространства. В то же время, вроде бы предопределенный однородностью пространства релятивистский механический импульс является самостоятельной сохраняющейся величиной, но только для «точечного» представления корпускулярного тела при обязательном условии описания физических процессов в четырехмерном пространстве с принятым в качестве независимого времени для этого пространства времени собственного. Причем последнее условие является необходимым для совместного соблюдения принципа однородности пространства и времени и принципа эквивалентности инерциальных систем координат, обязательным для которого является постоянство скорости света в этих системах.
Кроме указанных определений импульса и энергии тела в физике существуют еще и их определения через параметры волны – частоту и волновое число:

и

. Определение квантового импульса через волновое число позволяет соблюсти требование о представлении пространства в виде непрерывного континуума с условием о конечности размеров элементарных частиц, так как исчезает необходимость определения точного месторасположения центра масс частицы при ее описании в виде волны. Привязка же местоположения волны к координатной сетке в этом случае может определяться по реперной фазе (фронту волны) ее частоты. И в этом случае также соблюдается вышеуказанное требование об определении импульса через его проекции на координатные оси и направление движения тела. В этом смысле определение волны де Бройля через механический импульс тела позволяет однозначно судить о конкретном положении в пространстве данной волны, ориентируясь только на вектор импульса тела и реперную фазу волны.
Понятие о функции Лагранжа в рамках специальной теории относительности ограничено требованием о свободном инерциальном движении тела (материальной точки). В этом случае функция Лагранжа принципиально не может определяться с привлечением понятия о потенциальной энергии внешнего поля при условии ее зависимости от координат и/или времени. Но это ограничение никак не влияет на тот факт, что именно функцию Лагранжа возможно и следует использовать при описании поведения движущегося тела при условии конечности скорости света. Но в электродинамике использовать данную функцию для описания электромагнитного взаимодействия, а это не то же самое что и механическое движение электрически заряженных тел, невозможно – оно подчиняется системе уравнений Максвелла и определению обобщенной силы Лоренца, а также остальных законов для электрического и магнитного взаимодействия и законов для электрических токов. Аналогичные требования распространяются и на гравитационное взаимодействие, включая определение потенциалов этого поля для описания сил, хотя движение тел в гравитационном поле, описываемое с привлечением понятий энергии и импульса, должно быть основано на использовании функции Лагранжа. В точности такая же ситуация и в квантовой механике, где уравнения Шредингера и Дирака построены и существуют вне зависимости от понятия о функции Лагранжа, но вот при их решении могут и должны использоваться определения кинетической энергии тела в трехмерном пространстве и импульса тела в четырехмерном пространстве, полученные при использовании представления о функции Лагранжа для указанных видов пространства. Но в любом случае ни в одной из указанных областей, включая и квантовую механику, не может существовать ограничение скорости материальных объектов скоростью света.
В соответствии с изложенным, утверждение о том, что любая физическая теория и любые физические явления и процессы должны соответствовать принципу классической лоренц-ковариантности, является необоснованным и противоречащим реальным опытным данным. В то же время постулаты специальной теории относительности и вывод о замедлении времени процессов на движущемся объекте, точнее зависимости частоты излучения движущегося источника с точки зрения стороннего неподвижного наблюдателя, нет особой необходимости пересматривать. Но эти постулаты и выводы требуют только изменения математического аппарата специальной теории относительности, хотя она и основана на предположении о возможности не мысленного, а вполне реального существования «пустого» пространства и инерциальных систем координат. Само же существование сверхсветовой скорости для материальных объектов не является недопустимым с точки зрения теории, базирующейся на уточненном математическом аппарате.
Общая теория относительности определяет особую форму законов механики не только при условии конечности скорости света, но и при условии влияния на поведение и характеристики тел гравитационного взаимодействия. Для этого вводится понятие об искривленности пространства, причем сами законы механики описываются с привлечением постулатов специальной теории относительности.
В настоящее время наиболее признанным определением сущности искривленного пространства является выражение инвариантного времени собственного в виде:

Но если внимательно рассмотреть данное уравнение инвариантного интервала, можно найти два способа его объяснения – математический и физический. Первый основан на принципе искривления пространства и геометрических методах решения физических задач и полностью реализован в аппарате общей теории относительности и полевых теориях. А вот второй способ (физический), основанный на возможности изменения скорости света в присутствии гравитационных масс, по непонятным причинам полностью исключен из рассмотрения. Однако, именно второй способ имеет четкое физическое обоснование, поскольку в оптике широко известно явление преломления света, вызванное уменьшением скорости распространения электромагнитных волн в физической среде. А присутствие в выражении интервала масштабного фактора
a2(
t) может трактоваться и как реальное искривление пространства (вакуума) гравитационным полем, и как наличие у вакуума показателя преломления, величина которого в присутствии гравитационных масс отлична от величины этого параметра при отсутствии указанных масс. В принципе, в обоих случаях речь идет об одном и том же: «искривлении» пути движения фотона в пространстве. Но если в первом случае предполагается существование мировых (геодезических) линий в искривленном пространстве, то во втором случае предполагается наличие у вакуума свойств оптической среды.
Для того, чтобы сделать правильный выбор, какая из трактовок является удовлетворительной, необходимо разобраться, что является причиной искривления траектории движения фотона в пространстве – реальное физическое явление или результат математического описания взаимодействия электромагнитного излучения с вакуумом, как средой, находящейся под действием гравитационного поля.
Для этого необходимо, прежде всего, понять, о каком именно пространстве идет речь – о математическом (мысленная сущность), или о физическом (реальная сущность) гравитационном поле. То, что в уравнении поля Эйнштейна объединены физические и геометрические величины, еще не свидетельствует о физической природе искривления пространства, так как физические члены этого уравнения относятся не к собственно пространству, а к включенным в него источникам гравитационного поля. И корректным, с позиции сохранения непрерывности системы координат, на которой базируется формулировка геометрических членов уравнения поля (континуальности пространства), является условие отсутствия размеров у источников поля. Отметим, что данное условие является обязательным для
любого физического поля при его математическом описании известными на настоящий момент методами геометрического построения координатного пространства.
Если же источник поля имеет размеры, то начало связанной с ним системы координат оказывается внутри отличной от собственно поля физической сущности, то есть иного пространства. В этом случае возникает проблема
исключения из рассмотрения внутреннего пространства при сохранении свойства непрерывности при отображении внешнего пространства на все пространство. В общей теории относительности данная проблема проявляется при возникновении в решениях уравнения поля параметра

, указывающего на существование некоторого размера (радиуса),
внутри которого уравнения общей теории относительности вряд ли возможно применить. То есть сама же теория содержит внутреннее противоречие с принятыми при ее создании аксиомами о непрерывности геометрического пространства. И для того, чтобы хоть как-то обеспечить соответствие математической модели гравитационного поля физической реальности при сохранении свойства непрерывности пространства, в общей теории относительности введено представление о его «искривлении» гравитацией как способ отображения плоского пространства с «дырками» на непрерывную континуальную сущность. В этом случае искривленное пространство представляет собой некую адекватную реальности математическую модель гравитационного поля, но не физический вакуум. Таким образом, эффект искривления пространства возникает на этапе его математического определения, и, в принципе, этот эффект не предопределен физическими обоснованиями, так как является следствием принятых аксиом, а не свойств реальной физической сущности. Именно это обстоятельство подтверждается экспериментальными данными, свидетельствующими о том, что пространство в его видимой части является плоским [2].
Весьма показательна в этом смысле аналогия с наблюдателем, находящимся в свободно падающем лифте, иллюстрирующая принцип эквивалентности, являющийся одним из базовых для общей теории относительности. Считается, что наблюдатель в падающем лифте не может экспериментально обнаружить, падает ли его лифт, или находится в состоянии покоя. В соответствии с предложенной аналогией, мы имеем дело с двумя замкнутыми системами, ограниченными непрозрачными стенками. Первой является инерциальная (лабораторная) система координат, а второй – свободно падающая система. При этом свободно падающая система находится под воздействием гравитационного поля, но его влияние на внутреннюю неподвижную относительно лифта систему отсутствует, и наблюдатель в ней находится в невесомости. Считается, что в данной ситуации принцип эквивалентности свободно падающей в гравитационном поле системы координат и лабораторной системы координат, не подверженной действию гравитационного поля, может быть справедлив, если мы принимаем во внимание только точки бесконечно малой окрестности начал координат (для самих начал координат обеих систем указанный принцип безоговорочно справедлив). Однако, в указанных окрестностях мы имеем дело с искажениями, вносимыми в координатную сетку свободно падающей системы гравитационным полем, являющимся центральным. Кроме того, из-за эффекта геодезической девиации «две свободно падающие рядом частицы будут находиться в относительном движении, обнаруживающем наличие гравитационного поля с точки зрения наблюдателя, падающего вместе с ними» (с.166 [5]). И, следовательно, каждому положению в пространстве относительно центра гравитационного поля и каждому моменту времени будут соответствовать свои собственные условия эквивалентности свободно падающей и инерциальной систем координат. Поэтому вряд ли можно признать безупречными определения метрического тензора и аффинной связности, а также уравнения свободного падения (движения) в произвольном поле в произвольной системе координат через координаты касательного плоского пространства, определяемого как локально-инерциальное пространство, в виде:
Но, считается, что указанными обстоятельствами можно пренебречь и распространить действие принципа эквивалентности на бесконечно малые окрестности свободно падающей точки в любой момент времени ввиду несоразмерной малости вносимых гравитационным полем искажений по отношению к характерному размеру поля. Обратим внимание, что в привлечении
локально-инерциальных координат к описанию свободного падения тела вовсе
нет необходимости. Можно просто использовать тот факт, что при свободном падении тела изменение кинетической энергии целиком и полностью определяется изменением его потенциальной энергии – изменением места расположения тела в гравитационном поле.
В то же время существуют такие физические явления, которые, казалось бы, подтверждают существование реального искривления пространства – аномальное смещение периодов орбит небесных тел в гравитационном поле и смещение позиций небесных тел при их наблюдении вблизи Солнца. И с таким выводом можно было бы безоговорочно согласиться, если бы не существовало иных, чем искривление пространства, объяснений указанных явлений.
Указанные явления можно рассматривать как следствие существования некоторого характерного для любого физического объекта, обладающего массой, размера

, внутри которого гравитационное поле действует по иным законам, чем вне его. Этот размер, в принципе, можно считать равным радиусу сферы, плотно заполненной только веществом физического объекта без полевой фазы материи. В этом случае при решении физических задач мы имеем различные положения нуля системы координат. Для стандартной модели (непрерывное пространство) ноль базируется в центре масс физического объекта, а для системы координат, базирующейся только на полевой компоненте материи (пространство с исключенными дырками), этот ноль располагается на поверхности сферы с радиусом

, который можно определить как радиус вырождения вакуума и вычет в плоском пространстве. То есть мы имеем дело с «плавающим нулем». Такое свойство позволяет ограничить область действия известных законов гравитации, как описание взаимодействия поля и вещества, с помощью параметра «показателя преломления (сгущения) вакуума»:
Здесь
r – расстояние, измеряемое от центра стандартной евклидовой системы координат, то есть истинно пространственное расстояние. А

– расстояние в полевой системе координат, центр которой расположен на сфере с радиусом

. Возможны и иные формы записи данного показателя, например, по идее исключенного объема

. Но для простоты будем в дальнейшем рассматривать первоначально указанную форму записи показателя преломления вакуума.
Таким образом, не изменяя свойств собственно пространства (оно остается плоским), мы вводим систему координат, которая тождественна искривленному гравитацией пространству. Подчеркнем, что такой принцип позволяет совместить физические и математические основания, необходимые для корректного описания движения тел в пространстве, состоящем из двух принципиально различных типов пространств. При этом эффект существования показателя преломления вакуума можно отнести на величину скорости света, положив

, считая, что в гравитационном поле скорость света определяется произведением показателя преломления вакуума и скорости света в вакууме на бесконечном удалении от источника гравитационного поля. Данное предположение нельзя считать совсем уж беспочвенным, поскольку академиком Басовым с сотрудниками еще в 1965 году было официально объявлено об экспериментальном обнаружении факта, что величина скорости света в «инверсно заселенной среде» отличается от скорости света в вакууме в сторону ее увеличения. Конечно, опыт Басова свидетельствует о влиянии интенсивности электрического и магнитного полей на свойства физического вакуума, а не о влиянии гравитационного поля на свойства этого вакуума. Но кто гарантирует, что тяготение никак не сказывается на величинах электрической и магнитной проницаемости разреженной среды? Очень жалко, что в ходе данного эксперимента не было определено, каким именно образом изменяются частота и длина волны мощного импульса, имеющего скорость, превышающую скорость света в вакууме. Но именно «инверсная заселенность» среды, в которой распространяется луч лазера, позволяет использовать понятие об особом показателе преломления свободной от имеющих ненулевую массу покоя частиц среды, то есть одной из форм существования физического вакуума. Отметим, что в оптике принято иное правило определения изменения скорости света при переходе границы между двумя оптически прозрачными средами. Но ради удобства, если заранее не оговорено иное, будем использовать не дробные, меньшие единицы значения показателя преломления, а их обратную величину, оставляя все правила по использованию в оптике понятия о показателе преломления неизменными.
Примечательно, что на основе гипотезы о показателе преломления вакуума можно прийти к модели искривленного пространства, чтобы использовать хорошо развитый аппарат общей теории относительности. Для этого, прежде всего, следует эйнштейновский интервал между событиями записать с учетом уточненного определения времени собственного и зависимости65 скорости света от показателя преломления вакуума через выражение:

Поскольку речь идет о сравнении бесконечно малых перемещений в одном и том же месте, то:

Если описывается процесс на движущемся теле, находящемся достаточно далеко от критической точки

, то:

Подчеркнем, что время собственное является инвариантной величиной для сравниваемых систем координат только в том случае, если можно пренебречь различиями в оценке значений показателя преломления вакуума наблюдателями из разных систем координат.
Тогда выражение для времени собственного можно записать в виде:


Множитель

можно внести в тензор

и отнести тем самым все эффекты, связанные с изменением скорости света в зависимости от показателя преломления вакуума, на изменения пространственных координат (искривление пространства) в присутствии гравитационных масс. И теперь можно перейти к модели с искривленным пространством, используя выражения, основанные на применении метрического тензора общей теории относительности.
По определению метрический тензор:

Учитывая, что вещество во Вселенной всегда находится в состоянии свободного падения, а показатель преломления вакуума является функцией от времени, удобнее перейти к величине, обратной показателю преломления вакуума

.
В этом случае:

При таком определении становится очевидным выражение для времени собственного, основанное именно на принципе искривления пространства:

Обратим внимание, что использование в определении

тензора

(в виде

) является необходимым условием для применения соотношения времен в различных системах координат, полученного в специальной теории относительности. Тем самым можно реализовать принцип эквивалентности Эйнштейна о равноправии состояний покоя (инерциального движения) и невесомости при свободном падении.
В реальности же мы должны учитывать не только тот факт, что в природе нет абсолютно неподвижных объектов, но и то, что для определения времени собственного на наблюдаемом объекте мы вынуждены использовать часы удаленного лабораторного наблюдателя. И в этом случае скорость света будет определяться тем показателем преломления вакуума, который существует в точке расположения этого наблюдателя. К тому же, если речь идет о свободном падении наблюдаемого тела, то возникает дополнительная техническая проблема, так как необходимо искать общее для наблюдателя и указанного тела гравитационное поле. В ином случае движение наблюдаемого тела не может быть признано свободным падением.
Возвратившись к плоскому пространству и переменной скорости света, рассмотрим общеизвестные явления с учетом этих обстоятельств.
Для случая вращения Меркурия вокруг Солнца можно заметить, что мгновенные угловые скорости различны в стандартной и полевой системах координат, а их соотношение определяется зависимостью:
Здесь знаком штрих обозначен угол поворота в полевой системе координат.
Используя свойства эллипса легко найти выражение:
Здесь
a и – параметры эллипса.
Подстановка в предыдущее выражение и его интегрирование дают:
За один оборот вокруг Солнца угол между прямыми, проходящими через ноли стандартной и полевой систем координат соответственно и точку перигелия Меркурия, составит:

Это выражение с учетом результата ([5], с.213), полученного в ходе астрономических наблюдений за Меркурием

, позволяет определить радиус вырождения в виде:

Отклонение луча света вблизи гравитационных масс также можно объяснить движением фотона в среде с переменным показателем преломления. Но, чтобы не нарушать законы классической оптики, будем использовать определение показателя преломления в виде:

.
Переходу через границу между двумя оптически прозрачными средами в классической оптике соответствует выражение:
Поскольку фотон перемещается в среде с переменным показателем преломления вакуума, то:
А, так как в данных конкретных условиях , то:
Отклонение луча света Солнцем осуществляется как на пути от источника излучения до солнечного диска

, так и после него, вплоть до наблюдателя:
Первое слагаемое определяется из выражения:
, так как .
Следовательно:
Второе слагаемое, учитывая, что расстояние от Земли до Солнца

, будет:
Тогда отклонение луча света вблизи солнечного диска будет равно:
Полученное выражение в полтора раза превышает предсказание общей теории относительности (с.206, [5]), но очень хорошо согласуется с наибольшим измеренным углом отклонения луча света 2,73´´±0,31´´ (см. с.209 [5]).
Очевидно практически полное совпадение полученных результатов с опытными данными и неравное, хотя и близкое к результатам, предсказанным общей теорией относительности.
Гравитационное красное смещение объясняется в теории относительности как эффект изменения масштаба времени в зависимости от величины гравитационного потенциала. При этом за скобками остаются объяснения механизма изменения величины энергии кванта светового излучения при его перемещении в гравитационном поле. Но можно считать, что этот механизм объясняется именно изменением скорости света, и полагать, что скорость фотона при его удалении от источника гравитационного поля уменьшается, а в обратном направлении – возрастает, как если бы мы имели дело с обычным материальным объектом, на который действует гравитация.
Для любой точки реального физического пространства по определению справедливо уравнение электромагнитной волны:

Если скорость света является постоянной величиной, то длина и частота волны – обратно пропорциональные величины, но, если скорость света зависит от величины гравитационного потенциала (расстояния до источника гравитации), то есть, если

, то утверждение о пропорциональном изменении частоты и длины волны при изменении скорости света требует доказательств. Основой же для установления зависимости изменения частоты волны при изменении скорости света в гравитационном поле могут быть приняты эксперименты Паунда-Ребки по определению величины гравитационного красного смещения.
Для экспериментов типа Паунда-Ребки вовсе нет необходимости знать, каковой является скорость света для выбранных точек пространства. Достаточно определить соотношение частот одной и той же волны в двух заданных точках пространства с различными гравитационными потенциалами. Это легко сделать, если сравнивать замеряемые частоты с частотой того же самого излучения в отсутствии гравитационных масс:

Значения числителя и знаменателя дробного показателя степени преломления вакуума можно определить из информации [4] об эксперименте по подтверждению гравитационного красного смещения:
Здесь

– вертикальное расстояние между выбранными точками, а

– радиус Земли.
На основании данного выражения и с учетом определения радиуса вырождения вакуума по данным наблюдения за Меркурием зависимость значений частот от показателей преломления вакуума определяется из выражения

:
Тогда

.
Таким образом, при изменении скорости света изменение длины волны происходит пропорционально квадрату изменения частоты этого излучения при его прохождении между точками с разными гравитационными потенциалами.
Подчеркнем, что при установлении данных зависимостей не были использованы ни принцип эквивалентности Эйнштейна, ни релятивистские обоснования эффекта Доплера. Более того, гравитационное смещение и электромагнитный эффект Доплера являются самостоятельными феноменами и не могут быть определены как разные формы одного и того же явления. И именно их совместное действие определяет изменение показаний атомных часов на спутнике системы геопозиционирования, что учитывается при предустановке хода (частоты) этих часов до их запуска на орбиту.
Кроме гравитационного красного смещения в физике особое значение имеет явление, называемое космологическим красным смещением спектров звезд, меняющимся в зависимости от расстояния до них. Характеристикой данного типа смещения принято считать постоянную Хаббла, которая, по устоявшейся точке зрения, определяется не гравитационными эффектами, а связана с расширением пространства. По этой причине такой тип изменения длин волн от удаленных источников принято называть космологическим смещением.
Процесс красного космологического смещения описывается путем использования понятий единицы собственного объема, изменяющейся в зависимости от изменения размера Вселенной, и единицы координатного объема, остающейся неизменной в сопутствующей системе координат (см., например, §§ 2 и 3 главы 14, [5]). Введение этих понятий необходимо для обоснования утверждения, что «типичные галактики имеют постоянные координаты» и, следовательно, можно разделить переменные в уравнении:
Данное уравнение описывает движение фронта электромагнитной волны, и, если переменные разделяются, то мы получаем выражение для параметра красного смещения в виде:
В этом случае в ограниченном расширяющемся пространстве должно действительно наблюдаться красное космологическое смещение.
Однако, не все так просто, поскольку в соответствии со свойствами сопутствующей системы координат (§9 главы 6, [5]) невозможно обеспечить независимость геометрических координат от времени, а значит, и разделить переменные. Тем самым отнесение причин возникновения красного смещения только на зависимость масштабного фактора
R(
t) от времени, представляется весьма искусственным. Но ничего иного общая теория относительности не предлагает. Более того, прямая зависимость космологического красного смещения на расстояниях до 300 миллионов световых лет от постоянной Хаббла вообще не наблюдается. Да и на больших расстояниях эта зависимость является достаточно приблизительной. Но без привлечения постоянной Хаббла в рамках общей теории относительности невозможно объяснить ни существование собственно сдвига спектров излучений, ни существование микроволновогоизотропного фона. При этом последний считается абсолютно объективным подтверждением ограниченности (конечности) размеров Вселенной. Обратим внимание, что кроме микроволнового фона существует также изотропный рентгеновский фон, объяснение которого в рамках общей теории относительности отсутствует.
Если же мы используем понятие показателя преломления вакуума, как характеристику гравитационного взаимодействия, то можно найти и иное, чем предлагает общая теория относительности, объяснение, как красного космологического смещения и микроволнового изотропного излучения, так и изотропного рентгеновского фона.
Пусть

– параметры волны, испускаемой отдаленным источником в момент испускания. Если при прохождении волны до наблюдателя эти параметры меняются только в зависимости от расстояния до источника излучения, то можно записать выражения:

Последнее выражение является ожидаемым показателем преломления вакуума, определенным через расстояние

от источника до наблюдателя и радиус вырождения вакуума, рассчитанный по массе источника излучения:

Но если источник света достаточно удален, то можно предположить, что на излучение оказывает влияние не только масса излучающего источника, но и вся масса материи, включенной в сферу радиусом

– расстоянием от испущенного фотона до центра этой массы в любой выбранный момент времени.
Особенностью гравитационного взаимодействия тел является тот факт, что небесные тела находятся в состоянии свободного падения относительно друг друга и одновременно относительно разных по иерархии совокупностей этих тел (звезды, сгущения звезд в рукавах галактик, галактики, скопления галактик и т.д.). Очевидно, что фотон, испускаемый каким-либо отдельным небесным объектом, например звездой, находится в сфере действия гравитационного поля этой звезды (поле нижней иерархии). Когда же он выходит в область действия гравитационного поля более высокой иерархии, то на его движение влияет более высокая масса, что и определяет иной размер дырки (вычета в пространстве):


В соответствии с полученным для гравитационного красного смещения выражением:

Следовательно, на одном и том же расстоянии:


Указанное выражение полностью соответствует эффекту космологического красного смещения и определяет эффект, подобный эффекту разлета галактик за счет расширения пространства, но вызванный влиянием на фотон гравитационного поля не только его источника, а и суммарным воздействием иных масс. В этом случае эффект космологического красного смещения можно считать проявлением гравитационного смещения, рассчитываемого в наложенных друг на друга гравитационных полях. И, если всю массу, расположенную в пределах сферы с радиусом, равным расстоянию между наблюдателем и источником света, (см. с.444 [5]) считать единой массой, создающей центральное гравитационное поле, то эффектом «улетающего» движения фотона в таком поле как раз и будет гравитационное красное смещение. Необходимо подчеркнуть, что поскольку являющееся источником полей тяготения вещество распределено во вселенной неравномерно, микроволновой фон не может быть абсолютно изотропным. Кроме того, указанная неравномерность будет определять различные величины красного смещения спектров излучения объектов, находящихся в разных местах, но на одинаковом расстоянии от нас. И это действительно подтверждаемый экспериментально факт. В связи с чем постоянная Хаббла не более чем некая среднестатистическая величина, зависящая от направления наблюдения.
С помощью данного принципа можно оценить и границы видимости излучающих объектов в пространстве с постоянной плотностью. В этом случае из последней формулы, указанной выше, следует, что показатель красного смещения для всего видимого вещества Вселенной определяется как:


Это дает нам значение предельного радиуса видимости:

ратим внимание, что классическое выражение для красного космологического смещения в пространстве с однородной плотностью распределения вещества определено выражением:

В этом случае значение предельного радиуса видимости:

е указанные зависимости количественно мало отличаются друг от друга.
Так, при плотности барионной компоненты вещества во Вселенной порядка 4,5 процентов от критической плотности радиус предельной видимости, рассчитанный по первой зависимости, составил бы

световых лет, что практически равно времени жизни Вселенной после Большого взрыва. А при критической плотности материи данная величина была бы равна

световых лет. В принципе, эффект Ольбертса может быть объяснен именно конечной величиной радиуса предельной видимости. Но в этом случае не существует объективной причины появления изотропного микроволнового фона, а вот жесткое излучение не имело бы ограничений по уровню энергии. В то же время реально наблюдаемый микроволновой фон соответствует некоторому конечному значению параметра красного смещения. Этот эффект объясняется тем, что распределение спектральной плотности энергетической светимости тел подчиняется определению функции Кирхгофа. И в этом смысле удаленные объекты за счет красного смещения становятся попросту невидимыми. Кроме того, величина радиуса реальной предельной видимости и космологического смещения зависит от оптической прозрачности, так как возможно перекрытие потоков излучения небесными телами. Не менее существенным фактором для определения радиуса предельной видимости (длины волны микроволнового фона) является и то, что с увеличением масштаба уменьшается возможность выявления структурной неоднородности материи и, начиная с какого-то предела, распределение материи можно считать однородным. Следовательно, будет иметь предельное значение и показатель преломления вакуума.
Обратим внимание, что наблюдатель, расположенный в любой точке Вселенной, всегда находится в центре сферы с радиусом, определяемым величиной длины волны микроволнового изотропного фона. Тем самым, снимается проблема единственности выделенной системы координат, которая строится с привязкой к радиусу микроволнового фона. Таких систем будет неопределенное множество, а их центры будут всегда привязаны к месту расположения наблюдателя.
Есть еще один момент, который сопутствует космологическому красному смещению длин волн в спектрах излучений удаленных объектов – это изменение частоты излучения этих объектов. Это является прямым следствием зависимости величины скорости света от показателя преломления вакуума. Таким образом, должно наблюдаться не только красное космологическое увеличение длины волны электромагнитного излучения, но и аномальное для классического определения изменение частоты этого излучения, но не в сторону ее уменьшения, а наоборот – в сторону ее увеличения. Последнее обстоятельство может быть вполне убедительным объяснением существования изотропного рентгеновского фона.
Действительно, наблюдаемое микроволновое излучение имеет температуру

, что соответствует длине волны

м в максимуме потока излучения.
Если считать, что самыми удаленными еще обнаруживаемыми объектами являются объекты с температурой Солнца, то источники наблюдаемого микроволнового излучения имеют максимум потока при длине

м.
Тогда наблюдаемая частота излучения самых удаленных источников:

Указанные частоты относятся именно к рентгеновскому излучению, соответствующего превышению скорости света в вакууме при отсутствии гравитационного поля примерно на четыре порядка.
Изотропный рентгеновский фон определяется, как правило, по энергии (частоте) вторичного излучения, зависящего от эффективной энергии первичного (внешнего) излучения. В то же время микроволновой фон определяется по длине волны максимума энергии (температуре) в спектре равновесного излучения с помощью спектрального анализа «реликтового» излучения. И из-за различия в скоростях света у сигнала и на приемном устройстве возникает желание рассматривать две резонансные частоты (две длины волны) у одного и того же сигнала. При этом различие между ними столь велико, что изотропный рентгеновский фон и реликтовое излучение воспринимаются как два самостоятельных физических явления. В то же время чувствительность современных физических приборов позволяет [9] с уверенностью обнаружить только уширение линий спектров поглощения и излучения для далеких звезд, а не разделение одной линии на две самостоятельные для еще более далеких звезд. Да, собственно, такую задачу никто никогда и не ставил. Но вот уширение спектральных линий в зависимости от лоренцева эффекта в известной степени нивелируется ростом скорости света и изменения показателя преломления вакуума по мере увеличения расстояния до источника света. Однако данный эффект должен был бы проявляться значительно более заметно, если бы мы имели дело с космологическим «расширением пространства». Приходится еще раз обращать внимание на тот факт, что используемое в физике понятие пространства представляет собой нематериальную сущность, которая не может быть «искривлена», и ее надо отличать от математического понятия о некоторой системе параметров (координат), позволяющей адекватно описывать явления, события и эффекты реально существующего физического многообразия, то есть материи. Следовательно, представление о расширении (сжатии), тем более «инфляционном расширении» пространства не более чем уловка для объяснения физического (материального!) процесса с помощью вовсе не материального понятия.
Интересно, что, поскольку радиус предельной видимости зависит от величины плотности материи, могут существовать отдельно взятые объекты, размеры которых меньше или равны радиусу вырождения вакуума, который можно считать радиусом предельной видимости, то есть черные дыры. Минимальную массу такого объекта можно оценить следующим образом.
Прежде всего, отметим, что интерес для такой оценки представляют объекты, в которых вещество имеет конечные размеры и плотность, а не является сингулярным образованием. В этом случае можно считать содержимое объекта сжатым сгустком нейтронов. Данное предположение совершенно условно и необходимо только для того, чтобы определить возможность несингулярного состояния материи внутри черной дыры. Тогда можно записать очевидные соотношения:

сли расстояние между соседними нейтронами равно их радиусу и составляет

м, минимальная масса, при которой образуется черная дыра, составит

кг, а радиус

км. Эти величины вполне соответствуют современным представлениям о размерах и массе черных дыр. Статическое давление в центре такой дыры составляет

, то есть равно давлению в центре масс протона.
Рассмотрим падение в трехмерном пространстве некоторой массы на черную дыру в условиях отсутствия влияния на ее падение каких-либо иных взаимодействий, кроме гравитационного. Но прежде, чем приступить к рассмотрению, обратим внимание на следующее.
Функцию Лагранжа принято считать равной разности кинетической и потенциальной энергий тела. В классической механике это е обеспечивает закон сохранения полной энергии тела, равной сумме указанных энергий, при движении тела в потенциальном поле. Однако данное условие не может быть применено к формулировке функции Лагранжа для релятивистских скоростей, в чем можно легко убедиться, если подставить разность кинетической и потенциальной энергий вместо функции Лагранжа в выражение

. В этом случае в качестве сохраняющейся величины мы будем иметь выражение

. Движение тела в стационарном центральном потенциальном поле можно рассматривать как его свободное падение по тангенциальному и радиальному направлениям. При тангенциальном свободном падении скорость тела по модулю не меняет своего значения, чего не скажешь о радиальном свободном падении. То есть, в последнем случае либо потенциальная энергия зависит от скорости падения тела (что невозможно по определению), либо полная энергия замкнутой системы будет зависеть от внутренней скорости движения тела, а это уже прямой путь к созданию вечного двигателя. Таким образом, определение функции Лагранжа при релятивистском движении как разности кинетической и потенциальной энергии является неправомерным и при рассмотрении падения тела на черную дыру следует руководствоваться принципом сохранения полной энергии падающего тела вне зависимости от скорости его движения.
Во время свободного падения тела изменение его кинетической энергии происходит только за счет изменения его положения по отношению к источнику гравитации, то есть за счет изменения потенциала гравитационного поля. Тогда, с учетом граничных условий, будут справедливы выражения:






.
Скорость падения тела будет определяться из выражения:

Отсюда:

Таким образом, на расстоянии

, а

тело приобретет скорость

, а на расстоянии, равном гравитационному радиусу

скорость падения будет равна

.
А это значит, что кинетическая энергия и импульс падающего тела будут иметь вполне приемлемые конечные значения. При дальнейшем падении кинетическая энергия тела безгранично возрастает. И, если бы все вещество внутри черной дыры было стянуто в не имеющую размеров точку, то падение даже одной элементарной частицы разрушило бы саму черную дыру. Однако этого в астрономии не наблюдается, а значит, вещество внутри черной дыры сжато не до бесконечной плотности и скорость падения тела на его поверхность не является бесконечно большой. Последнее условие и не приводит к неожиданным «скачкам» или взрывам черных дыр.
При расчете размера минимально возможной черной дыры было принято условие, что она является плотно сжатым сгустком нейтронов, расстояние между которыми по всему телу черной дыры равно их радиусу. Но такая модель не учитывает, что нейтрон, равно как и протон не является абсолютно несжимаемым, так как содержит керн с размером порядка одного ферми и глюон-мезонную оболочку с размером порядка 2,5-3 ферми. И разумно предположить, что по мере погружения вглубь черной дыры расстояние между кернами и образующими их кварками будет сокращаться, в то время как глюон-мезонная среда будет вытесняться к поверхности черной дыры. В этом случае черная дыра минимальной массы может представлять собой твердое тело, окруженное глюон-мезонной оболочкой. И именно по размерам внешней границы глюон-мезонной оболочки черной дыры следует определять величину радиуса ее горизонта видимости. Тогда, если считать, что масса черной дыры полностью сосредоточена в твердом теле, становится понятным, почему радиус вырождения вакуума, равный радиусу горизонта видимости, будет превышать в 3 раза гравитационный радиус. Увеличение массы черной дыры приведет к тому, что керны и составляющие их кварки придут в состояние их непосредственного соприкосновения. Это состояние будет определять новый уровень Ферми для вакуума, при котором минимально возможной величиной стабильного имеющего массу лептона будет масса мюона. При дальнейшем увеличении массы черной дыры внутри нее наступят условия фазового перехода кварков с меньшей энергетической массой в кварки с большей энергетической массой. Поэтому, в принципе, можно предположить, что черные дыры по своей структуре представляют набор вложенных слоев материи различных состояний (поколений). И в каждый слой будет характеризоваться имеющими разную энергетическую массу бозонами. При этом для того, чтобы глюон-мезонная оболочка на поверхности черной дыры не утоньшалась с ростом ее массы, необходимо уменьшение плотности нижележащих слоев после перехода к новому уровню Ферми. Уменьшение плотности нижележащих слоев возможно только до тех пор, пока она не будет являться отрицательной величиной. То есть должен существовать предел роста массы собственного для своего уровня Ферми стабильного лептона, а значит и предел массы черной дыры. Уменьшение с иным темпом или увеличение плотности нижележащих слоев приводит к уменьшению относительной толщины глюон-мезонной оболочки, но это будет сказываться только на величине радиуса горизонта видимости, а не на многослойности внутренней структуры черной дыры. В этих случаях отличительной особенностью массивных и сверхмассивных черных дыр будет являться величина скорости падающего тела на границе горизонта видимости. Так, при

скорость падения будет равна

, а при

, скорость падения составит

, при этом принято условие, что радиус горизонта видимости равен радиусу вырождения вакуума.
Кроме того, если черная дыра вращается с достаточно большой угловой скоростью, то в области ее полюсов образуются «окна» в тонкой корке замерзших нейтронов, через которые происходит выброс в окружающую среду струй вещества, возникающих в результате внутренних реакций и фазовых превращений, при взаимодействии с внешней средой. Но главное – это то, что черная дыра не может излучать свет, так как на ее поверхности просто нет частиц, которые могут быть определены как свободные осцилляторы, а оптически прозрачной она не является. А вот вещество, в принципе, может улетать за пределы горизонта видимости через полярные окна. И именно черные дыры могут быть источниками, ответственными за поддержание преимущественного присутствия водорода и гелия в составе вещества Вселенной.
Обратим внимание, что задача прохождения светом горизонта видимости черной дыры внешне является совпадающей с задачей описания дисперсии света в оптически прозрачной среде. При решении указанной задачи методами квантовой механики индивидуальным параметром излучающего тела была принята его температура. В нашем же случае таким параметром является радиус вырождения вакуума. При этом известно, что для слабых гравитационных полей из-за эффекта гравитационного красного смещения изменение частоты излучения прямо пропорционально изменению ньютоновского потенциала. В этой связи можно найти учитывающее указанные обстоятельства решение для описания красного смещения в зависимости от ньютоновского потенциала и массы тела, не приводящее к разрыву производной при

:

–

Множитель

введен для учета перехода к новому уровню Ферми для вакуума.
Исходя из известных данных для источников гравитации

. Тогда

на расстоянии, равном радиусу вырождения вакуума. А на достаточно большом удалении (

) выражение для этого смещения совпадает с классическим определением смещения в слабых гравитационных полях:

В этом случае

и при

максимальное значение скорости света не будет превышать

.
Приведенная общая зависимость не имеет ни разрыва производной, ни бесконечных значений, ни отрицательных величин в области ее определения. Но квантовая теория дисперсии света относится к распределению интенсивности по частотам в потоке интегрального излучения тела, размерами которого можно пренебречь, в то время как гравитационная зависимость частоты излучения относится к монохромной волне при ее определении по всему пространству, а не в одной единственной точке.
Резюмируя вышеизложенное, необходимо отметить следующее.
Постулаты специальной теории относительности пересмотру не подлежат, а ее действие распространяется только на связанные с механическим движением физические явления и процессы, объяснение и описание которых невозможно без учета конечности скорости света. Использование приемлемой формы выражения инвариантного времени собственного позволяет адекватно объяснить экспериментальные данные о сверхсветовой скорости выбросов из нейтронной звезды GW170817.
Утверждение об общности принципа лоренц-ковариантности как закона природы прямо противоречит базовым принципам специальной теории относительности, механики и электродинамики. А введение понятия о лоренц-инвариантных величинах является необоснованным и избыточным для теоретической физики.
Пространство не является материальной сущностью, поэтому представление о том, что оно искривляется под действием гравитации, является ошибочным. Но математический прием, при котором пространство искривляется в присутствии гравитационного поля, вполне допустим. Аналогично этому понятие о «релятивистском замедлении времени» является удобным физическим сленгом, так как время само по себе нельзя ни замедлить, ни ускорить – это можно сделать только по отношению к вполне материальным физическим процессам.
Взаимодействие света с гравитационным полем достаточно хорошо определяется зависимостью величины скорости света от показателя преломления вакуума. И математическая модель, основанная на данном принципе, также допустима, как и модель искривленного пространства.
Обе модели, искривленного пространства и зависимой величины скорости света, не являются антагонистичными и могут переходить друг в друга. Но модель искривленного пространства требует обязательного применения принципа эквивалентности Эйнштейна, в то время как модель с зависимой от показателя преломления вакуума скоростью света свободна от такого требования.
Наблюдатель в любой свободно падающей системе координат имеет право считать себя находящимся в центре Вселенной. Но проблема выделенной системы координат при этом не возникает из-за глобальной универсальности законов природы и их справедливости для каждой лабораторной системы координат. И для каждого лабораторного наблюдателя Вселенная будет иметь свой индивидуальный вид. При сравнении разных свободно падающих систем необходимо учитывать не только их относительные скорости, но и взаимное положение этих систем и источника гравитационного поля.
Изменения масштабов (единиц измерения) времени и длины при свободном падении не по эквипотенциальным траекториям или при изменяющихся относительно центра гравитационного поля положениях тела и при инерциальном движении принципиально различны. В движущейся инерциальной системе координат для стороннего неподвижного наблюдателя имеет место эффект увеличения единиц измерения времени и длины пройденного вдоль скорости движения пути с соблюдением неизменности отношения этих единиц, то есть скорости света. В свободно падающей не по эквипотенциальной траектории системе координат для стороннего неподвижного наблюдателя действует эффект зависимости длины и частоты волны электромагнитного излучения от расстояния до центра источника гравитационного поля. И своего минимального значения скорость света достигает на бесконечном удалении от источника гравитации.
Космологическое (красное) и гравитационное смещения спектров электромагнитных волн имеют одну и ту же природу. Микроволновой и изотропный рентгеновский фоны являются следствиями конечности мощности светящихся объектов и достаточной равномерности их распределения в пространстве.
Черные дыры не являются сингулярными объектами, а их существование в качестве имеющих конечные размеры многослойных объектов объясняется на основе гипотезы о существовании состояний материи, характеризуемых стабильными для своего состояния видами лептонов, различающихся по массе покоя.
Анализ вопроса о сущности Вселенной, происхождение которой в настоящее время трактуется то ли как Большой взрыв с последующими инфляционными процессами, то ли как столкновение бран, должен быть дополнен также и предположением об ограничении наблюдаемости в непрерывном и бесконечном пространстве, что не требует привлечения теории Большого взрыва. Безусловно, в этом случае необходимо осознавать, что мы меняем сложную проблему о том, что было до Большого взрыва, на не менее сложную проблему – каким образом звездам и галактикам удается, изменяясь и умирая, существовать бесконечно долго. Но на вопрос: «Кто от кого убегает, и убегает ли вообще?», хотя бы из любопытства, найти ответ все же необходимо.
Литература
(только цитируемая)
K.P.Mooley et al, Superluminal motion of a relativistic jet in the neutron-star merger GW170817, Nature 561, 355-359 (1018)
J.L.Sievers and others, Cosmological parameters from cosmic background imager observations and comparisons with boomerang, DASI and Maxima, The Astrophysical Journal, 591:599-622, 2003 July 10
dic.academic.ru, Лоренц-инвариантность
ru.wikipedia.org, Эксперимент Паунда и Ребки
С.Вейнберг, Гравитация и космология, 2000
А.А.Детлаф, М.Б.Яворский, Курс физики, 2000
Л.Д.Ландау, Е.М.Лифшиц, Теоретическая физика. Механика. Т.1., Наука, изд.7, 1988
Л.Д.Ландау, Е.М.Лифшиц, Теоретическая физика. Теория поля. Т.II., Наука, изд.7, 1988
C.S.Beals, On the Interpretation of Interstellar Lines, Monthly Notices of the Royal Astronomical Society, Vol.96, p.661
Последние комментарии
11 часов 10 минут назад
11 часов 20 минут назад
11 часов 33 минут назад
11 часов 41 минут назад
12 часов 23 минут назад
12 часов 39 минут назад