Прыжок
Чем обладает прыгун на высоте, и что он обретает после отделения от помоста, кроме незабываемых эмоций?
Энергия. Высота обеспечивает запас потенциальной энергии. И часть её с каждым мгновением падения преобразуется в кинетическую.
Чем дольше падение, тем больше значение кинетической энергии, прыгун получает импульс.
В состоянии свободного падения на человека действуют две основные силы: сила притяжения Земли и сила сопротивления окружающей среды – воздуха.
С определенного момента для остановки падения прыгуна добавляется действие системы уменьшения приобретенного импульса.
Способы остановки падения
Торможение свободного падения может происходить двумя способами, действующими одновременно или раздельно.
Первый способ состоит во взаимодействии с окружающей средой объекта торможения – в нашем случае с воздухом. Второй способ в переводе кинетической энергии объекта в потенциальную энергию сопряженных с ним элементов, причем как упругими деформациями, так и трением.
Первый способ в большей мере применим для парашютного спорта, прыжков в воду.
Второй способ одной из возможностей приводит нас к созданию веревочных систем остановки падения, давших начало экстремальному виду спорта – прыжкам с верёвкой или роупджампингу.
Комбинированный метод изучения
Решение задач действия непостоянных во времени сил (упругих деформаций и аэродинамических сопротивлений) принципиально может быть получено через решение систем дифференциальных уравнений. Общий вывод и анализ этих решений сложен как в научном, так и в практическом рассмотрении.
Именно этим определялось предыдущее плачевное состояние в теории и, как следствие, в безопасности.
Поэтому за основу был принят комбинированный подход. Аналитические данные в этой сфере получаются, в большинстве случаев, симбиозом двух методов: численного математического моделирования и частными физико-математическими решениями с упрощающими ограничениями.
Главным образом, модель создаётся из рассмотрения системы материальных точек во взаимодействии, в соответствии с законами Ньютона. А после выполняется численное интегрирование. Результаты представляются как в графическом, так и численном виде.
Импульс
До принятия решения о параметрах необходимой системы торможения следует определить, каким импульсом будет обладать прыгун в начале остановки.
Здесь на первое место выходит противоборство силы тяжести и силы аэродинамического сопротивления воздуха.
Экспериментально установлено, что сила сопротивления зависит от скорости движения: чем больше скорость, тем больше сила. При движении в воздухе эта сила пропорциональна квадрату скорости с некоторым коэффициентом сопротивления, который зависит от различных параметров:

Поскольку, для высот до
250 метров спортсмен не развивает равновесной скорости падения, определение значения скорости свободного падения происходит методом математического моделирования. На высотах от
15 до
300 метров она в диапазоне от
12 м/с до
50 м/с. Ниже данные моделирования для прыгуна массой
100 кг, показывающие достижение скорости свободного падения после пролёта определённой высоты:

Произведение массы тела на скорость и представляет собой импульс, а половина произведения массы на квадрат скорости – кинетическую энергию, которые нуждаются в «гашении».
Чем длительнее будет его «гашение», тем меньше будет сила торможения (в соответствии с импульсной формулировкой Второго закона Ньютона), а, значит, и нагрузки: как на систему, так и на человека.
Оценить длительность торможения без специального оборудования сложнее, чем выполнить оценку длины траектории торможения.
Работа системы по остановке падения
A определяется как интеграл скалярного произведения вектора равнодействующей сил торможения в точке траектории
F(S) на вектор бесконечно малого перемещения
dS в этой точке.
A = ∫ dA = ∫ F(S)*dS.
Чем длиннее будет траектория основного действия сил, тем меньшими их значениями
может быть выполнена работа. Следует отметить, что при определённых условиях, главное действие сил может быть осуществлено на коротком участке общей траектории остановки падения, а на основном участке пути почти отсутствовать. И тогда силы торможения останутся велики даже при длинной траектории.
Глубина остановки и максимальная перегрузка в линейной системе
Рассмотрим идеальный случай остановки падения веревкой, жестко закреплённой одним концом, а другим концом подсоединённой к прыгуну – торможение линейной системой. Пусть остановка происходит только за счет упругой деформации, изменяющейся по закону Гука и без учёта сопротивления воздуха.
Сила по ходу торможения не постоянна, она возрастает по мере растяжения упругого элемента с коэффициентом жесткости
k, и, очевидно, будет максимальной
Fм при максимальном растяжении
Xм.
Рассчитаем, какая максимальная перегрузка возникает при таком торможении.
По закону сохранения энергии работа силы упругости по остановке падения равна сумме двух энергий: приобретённой прыгуном кинетической энергии до начала остановки падения плюс запасу потенциальной энергии спортсмена от высоты начала торможения до высоты его завершения:

Отсюда, по Второму закону Ньютона, максимальное ускорение равно:

Теперь найдем максимальный коэффициент жёсткости
k для максимально допустимого ускорения
Aм в точке остановки падения:

Для альпинистской практики комиссия УИАА пределом таких нагрузок дает порог не выше
400 кгс :=:
3920 Н, даже при наличии комбинированной системы обвязки. Что при массе
m=100 кг дает значение
40 м/с2 (а при массе
m = 70 кг, соответственно,
56 м/с2 ) .
Например, для скорости
20 м/с коэффициент жёсткости
k будет равен:
k = (9,81²)*100/(20²)*((40/9,81-1)²-1)=204 Н/м.
Значение максимальной перегрузки
G равно отношению максимальной силы торможения, приложенной к прыгуну, к весу прыгуна:

Таким образом, есть два важных вывода. Первый – это минимальное значение перегрузки для любой линейной системы равно
2. Второй вывод говорит об обратной нелинейной зависимости перегрузки от массы прыгуна
m, при определённой достигнутой скорости
v до начала торможения: чем больше масса, тем меньше перегрузка.
Значение максимальной перегрузки, которое наиболее часто используется как критерий предельного внешнего воздействия, является необходимым, но не достаточным условием для определения безопасной нагрузки на спортсмена. Практика также доказывает этот факт при сравнении разных систем остановки свободного падения или сравнении систем одного типа, спроектированных для разных высот прыжка на одинаковые значения максимальных перегрузок.
Объяснение этого связано с рассмотрением торможения как быстрого неравноускоренного взаимодействия страховочной системы и человека, которое включает
биомеханику ударного контакта. Для анализа такого процесса требуются более сложные механические параметры, чем просто максимальное ускорение. В дальнейшем это явление будет разобрано как углублённое исследование критерия безопасного торможения.
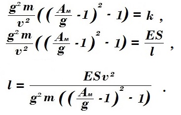
Оценка длины тормозящей верёвки линейной системы
Закон Гука через модуль Юнга имеет такой вид:

.
Коэффициент жёсткости
k при таком написании вычисляется как:

.
Подставив в уравнение максимального коэффициента жёсткости
k для максимально допустимого ускорения
Aм, получим:

Предположим торможение динамической веревкой, жестко закреплённой одним концом, без учета сопротивления воздуха.
Установим параметры для динамической веревки
10 мм:
E = 200 МПа,
S = 0, 00008 кв м.
Определим, какова должна быть длина этой веревки
l при заданном значении максимального тормозящего ускорения
Aм=40 м/с². Для остановки падения прыгуна массой
m=100 кг со скорости
v=20 м/с понадобится такая минимальная длина одинарной динамической верёвки:

Сводная таблица основных параметров линейной системы
Для практического применения, после выбора веревки торможения, удобно представить расчетные данные в общей таблице. Они позволят правильно на конкретном объекте построить систему остановки падения.
Во всех системах канатного доступа для работы на высоте используется принцип дублирования, и прыжки с верёвкой не исключение. Поэтому человек должен быть подсоединён к прыжковой системе двумя верёвками. Штатное торможение осуществляется двумя верёвками. Но в случае выхода из строя одной, торможение будет выполнено с помощью оставшейся другой верёвки. Что обязательно принимать в рассмотрение для построения системы остановки падения.
Таким образом, введём параметры: полная глубина падения и предельная глубина торможения. Полная глубина падения (штатная) получается из суммирования глубины свободного падения и расчётной глубины торможения
X2S. Предельная глубина торможения (аварийная) определяется из суммирования глубины свободного падения и расчётной глубины торможения
XS для одной верёвки вместо двух.

Выразим в формуле максимального растяжения
Xм коэффициент жёсткости
k через модуль Юнга:

Одна верёвка вместо двух соответствует уменьшению площади
S в два раза. Поэтому подставим в формулу максимального растяжения
Xм значения площадей
S и
2S:

Из формулы максимальное растяжение для меньшей площади сечения увеличится в соответствии с пропорцией:

.
Возьмем, для примера, двойную динамическую веревку
10 мм. Один конец пары верёвок жёстко закреплён.
E = 200 МПа,
S = 2*0, 00008 = 0,00016 кв м, – двойная.
Масса прыгуна
m = 100 кг.
Максимальная сила перегрузки
Fм =
3920 H.
Итак, для заданных параметров рассчитаем длину требуемой двойной верёвки торможения
l при разных достигнутых скоростях и соответствующих им глубинах завершения свободного падения без учёта сопротивления воздуха в процессе торможения. Далее определим глубины торможения: штатную
X2S и аварийную
XS. И, наконец, получим предельную расчётную глубину торможения
Hпредельная. Полученные данные представим в таблице.

Определение глубины падения для объекта при линейной системе
Чтобы определить, с какой высоты должен быть выполнен прыжок для получения определённой глубины падения, надо сложить желаемую глубину падения с предельной глубиной торможения (на случай обрыва одной из веревок) и умножить эту сумму на технический коэффициент запаса
(Kзап = от
1,2 до
1,33):
Пример: для глубины падения
Hсвоб = 12,1 метра получаем искомую высоту объекта:
Hобъекта = Hпредельная * Kзап.
Hобъекта = 30,7 * 1,2 = 36,8 метров, и длину двойной верёвки торможения надо использовать не менее
91,8 метров.
Такой расчет выполняют реже, лишь для достижения спортивных целей. Скажем, подобрать объект, чтобы совершить акробатический трюк.
Самой важной задачей представляется другая. Определить на имеющемся объекте максимальную безопасную глубину падения и количество тормозящей верёвки.
Итак, измерив высоту объекта, находим
Hпредельная = Hобъекта / Kзап.
А затем получаем подбором по таблице:
Hсвоб и l двойная.
Пример: для объекта высотой
Hобъекта = 38 метров и
Kзап = 1,2 имеем:
Hпредельная = 38 / 1,2 =
31,7 метра. По таблице определяем ближайшее меньшее
Hпредельная = 30,7 метра, а также для неё глубину падения
Hсвоб = 12,1 метра и количество двойной динамической верёвки
l двойная = 91,8 метров.
Перпендикулярная амортизация
Расчётные данные для стандартных динамических верёвок показывают значительную длину амортизирующей верёвки, которая обеспечивает безопасную глубину торможения.
Предлагается расположить фрагмент растяжения в перпендикулярном направлении и использовать свойство V-образного разложения сил.
Желаемое свойство состоит в следующем. Нагрузка на плечи V-образного натяжения при угле между плечами более
120 градусов всегда больше силы оттяжки. Таким образом, амортизирующее растяжение располагают по V-плечам, сохраняя направление перемещения соединения, в процессе торможения, перпендикулярно линии крепления плеч.
.

Это позволяет наиболее эффективно получить максимальное поглощение энергии при торможении за счет перемещения центрального узла плеч на начальном этапе амортизации.
Важным геометрическим свойством V-систем является тот факт, что приращению (деформации) длины плеч
2*Δl соответствует более значительное перемещение точки соединения плеч.
Длиннее траектория в диапазоне изменения силы при деформации.
Рассмотрим предельный для использования в амортизации угол между плечами V-системы равный
120 градусам. Это наиболее просто увидеть, воспользовавшись тригонометрическими пропорциями в прямоугольном треугольнике с углом 60 градусов.

Тогда относительное удлинение каждого плеча равно (
Δl /
l) = 1 / (sin (120⁰/2)) – 1 = 0,155.
Суммарное относительное удлинение V-системы составит:
2 * (Δl /
l) = 2*0,155 = 0,31.
А относительное перемещение точки V-плеч равно:
cos (120⁰/2) = 0,5.
Таким образом, даже предельное для использования перемещение соединения V-плеч преодолевает расстояние в
0,5 / 0,31 = 1,61 раза больше, чем сама деформация верёвки.
Ниже представлена таблица преимущества перемещения точки соединения V-плеч для непредельных углов перпендикулярной амортизации:

Описание комбинированной системы
В соответствии со свойствами соединения упругих систем, их последовательное соединение увеличивает мягкость системы, а параллельное увеличивает жесткость.
Размещаем последовательно две системы для комбинации их свойств в направлении возрастания мягкости. Первая система представляет собой V-образную амортизацию натянутой верёвкой (одинарной или двойной – по принципу дублирования), закреплённой на противоположных концах. Вторая – это линейная амортизация верёвкой (также, одинарной или двойной), которая закреплена одним концом в середине V-образной, а второй свободный конец подсоединён к прыгуну.
Параметры комбинированной системы

Введём обозначения. Пусть расстояние между закреплёнными точками верёвки для V-системы равно
2*l. Оно складывается из фрагмента верёвки
2*l1 плюс расстояние её предварительного растяжения
2*X0 под действием силы

Тогда получим выражение для значения
X0, предварительного растяжения плеча, и длины фрагмента
l1:

Длина второй, линейной, системы, закреплённой одним концом в середине V-системы, равна
l2. При выполнении натяжения за свободный конец линейной системы (в нашем случае под действием силы тяжести
mg) по 3-му закону Ньютона векторная сумма сил натяжения плеч равна силе натяжения линейной системы:

Выполнив проецирование на вертикальную ось
0Y, получаем:

Теперь подставим в это равенство известные параметры
X0 и выражение для
cos α:

Получаем:

Итак, для каждого значения растяжения одной системы
X1
поставлено в однозначное соответствие значение растяжения второй системы
X2
.
Также по этим значениям определяется полная глубина удлинения вдоль второй системы. Она состоит из перемещения точки соединения V-плеч (вычисляется по теореме Пифагора) и растяжения второй системы:
Расчет основных параметров комбинированной системы
Для альпинистской практики комиссия УИАА пределом нагрузок дает порог не выше
400 кгс
:=: 3920 Н, даже при наличии комбинированной системы обвязки.
Соответственно, значение
F2 должно быть не более
3920 Н.
После выбора обоих верёвок торможения, расстояния
2*l для V-системы, начального натяжения
F0 с предварительным растяжением
X0 одного V-плеча, следует представить расчетные данные в общей таблице. Они позволят определить граничные условия для системы остановки падения. Удобно выполнить её в виде Excel-файла, чтобы, меняя параметры, подбирать оптимальный результат.
Таблица комбинированной системы включает в себя следующие данные:
X1 – растяжение амортизации одного V-плеча первой системы, м;
X2 – растяжение амортизации второй системы, м;
Xполн – полное удлинение комбинированной системы (вдоль второй, линейной), м;
F2 – сила натяжения в линейной системе, прикреплённой к прыгуну, Н;
F1 – сила натяжения в анкерных точках V-системы, Н;
A1 – работа по амортизации V-системы, Дж;
A2 – работа по амортизации линейной системы, Дж;
A – полная работа по амортизации комбинированной системы, Дж;
mV²/2 – кинетическая энергия прыгуна до начала амортизации, Дж;
mgXполн – запас потенциальной энергии прыгуна от начала торможения, Дж;
G – максимальная перегрузка вдоль линейной системы;
2α – угол между плечами V-системы, град.
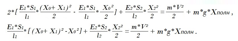
По закону сохранения энергии работа сил упругости по остановке падения равна сумме приобретённой прыгуном кинетической энергии и запасу потенциальной энергии от высоты начала торможения до высоты его завершения. В математическом виде это выглядит так:

Задавшись массой прыгуна
m
, глубиной падения, методом математического моделирования, определяем скорость
V
до начала торможения. И получаем соответствующее ей значение кинетической энергии прыгуна
mV²/2
, которой он обладает в этот момент. Для каждого расчётного значения
X
полн
будет определяться потенциальная энергия
mgX
полн
прыгуна. Просуммированная с кинетической, она даёт значение полной энергии, которая должна быть амортизирована. В таблице находим ближайшую строчку, где значение полной работы торможения
A
больше полной энергии прыгуна.

Применение таблицы комбинированной системы
В примере представлена комбинированная система с использованием двойной динамической верёвки
10 мм. Расстояние между анкерными точками V-образной амортизации
2*l = 46 метров, её натяжение
2000 Н. Длина второй линейной части системы
l2 = 35 метров.
Для скорости
15 м/с и массы прыгуна
70 кг находим по таблице максимальную силу натяжения второй системы
F2 =
3211 H. Что удовлетворяет нормативам безопасности. Максимальная перегрузка
G =
4,68. Глубина торможения
Xполное =
12,514 метра. Максимальная сила натяжения V-системы
F1 = 4434 H. Что соответствует
2217 Н на одну верёвку – допустимая рабочая нагрузка для динамической верёвки
10 мм. Вывод – такая комбинированная система может применяться для безопасной остановки падения при данных условиях.
Это важный ответ. Но нет ответа об оптимальности распределения длин между подсистемами.
Для выяснения этого вопроса на базе выше рассмотренного примера, сохраняя суммарную расчетную длину обоих подсистем, просчитаем при различных соотношениях и определим по таблице, когда перегрузка минимальна.
При соотношении длин двойных верёвок между подсистемами, соответственно, V-системы (с параметром
l1) и линейной (с параметром
l2):

Вывод из данной зависимости означает, что для комбинированной системы распределение веревки между подсистемами V-образной амортизации и линейной практически не влияет на значение максимальной перегрузки.
Однако. Чем большая часть верёвки сосредоточена в перпендикулярной V-системе, тем большей будет траектория торможения, по сравнению с линейной системой. Это плюс в пользу меньшей нагрузки на спортсмена при интегрировании работы по поглощению его энергии.
Следующий важный момент комбинированной амортизации состоит в уменьшении зависимости значения перегрузки от массы прыгуна. Введение подсистемы V-плеч позволяет уменьшить диапазон перегрузок для разных масс спортсменов, по сравнению с линейной системой, где зависимость перегрузки от массы в соответствие с формулой:

.
Вот расчетное подтверждение.
При одинаковой суммарной длине аналогичной верёвки, что в рассчитанной выше комбинированной системе, линейная система будет останавливать падение прыгуна с такими максимальными перегрузками:
при массе
50 кг:
G=5,45;
при массе
70 кг (соответствует примеру):
G=4,80,
Хм=8,19 м (глубина остановки);
при массе
100 кг:
G=4,23.
Соотношение перегрузок
G(50) / G (100)=1,29.
Для сравнения с этими данными ниже приведена таблица комбинированной системы для масс:
50 кг,
70 кг и
100 кг.

Полиспаст
Полиспаст – система подвижных и неподвижных блоков, соединенных гибкой связью, применяемая для увеличения силы – силовой полиспаст или скорости – скоростной полиспаст. Подвижным блоком называют такой блок, ось которого перемещается в пространстве, а неподвижным блоком, блок, у которого ось закреплена.
У силовых полиспастов грузовое усилие прикладывается к подвижному блоку, а рабочее усилие – к свободному концу.
Скоростные полиспасты отличаются от полиспастов силовых тем, что в них рабочее усилие прикладывается к подвижному блоку (обойме), а груз подвешивается к свободному концу. Следовательно, они являются как бы обратными по отношению к силовым полиспастам. Скоростные полиспасты позволяют получить увеличенные перемещения груза при малых перемещениях рабочего (приводного) элемента.
В решении задачи остановки падения для уменьшения перегрузок следует увеличивать длину перемещения груза при торможении за счет запасания энергии в более нагружаемом упругом рабочем элементе. Этой цели, по определению, подходит скоростной полиспаст.
Блочная комбинированная система

Рассмотрим применение для остановки падения V-образной амортизации в качестве рабочего элемента двукратного скоростного полиспаста. В отличие от простой комбинированной амортизации, к середине V-системы присоединена ось блока, а конец второй, линейной, системы, противоположный прыгуну, подсоединён к анкерной точке. Параметр
l2 равен длине второй не натянутой системы от стопорной анкерной точки до прыгуна через блок-ролик.
При расположении линий натяжения линейной системы как на рисунке блок даёт выигрыш в силе в два раза, без учета трения.
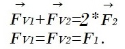
При выполнении натяжения за свободный конец второй системы по 3-му закону Ньютона векторная сумма сил натяжения плеч равна удвоенной силе натяжения свободной верёвки:

Выполнив проецирование на вертикальную ось
0Y, получаем:

Если принять во внимание силу трения в блоке, например, с коэффициентом полезного действия блока
80%, то это выражение примет вид:

Для сравнительного анализа систем рассмотрим идеальный блок-ролик с нулевым трением. Выполняя аналогичные вычисления, как в комбинированном амортизаторе, получаем:

Каждому значению растяжения одной системы
X1 поставлено в однозначное соответствие значение растяжения второй системы
X2.
По этим значениям определяется полная глубина удлинения вдоль второй системы. Её значение отличается от глубины торможения в простой комбинированной амортизации. Она состоит из растяжения второй системы плюс удвоенное перемещение соединения V-плеч вдоль неё (в соответствии с механическим свойством скоростного полиспаста):

Для идеального блок-ролика это удлинение
Xполное равно глубине падения
Sполное.

Геометрически это видно на рисунке схемы. Здесь следующие новые обозначения:
S1 – перемещение по вертикали оси блок-ролика от положения в начале торможения;
S2 – координата груза по вертикали, меняющаяся от начала до завершения торможения;
Sstop – координата стопорной анкерной точки линейного демпфера;
S2нач – координата груза в начале торможения.
Таким образом:
Расчет основных параметров блочной комбинированной системы
Как и в линейной комбинированной системе, применяется ограничение: значение
F2 должно быть не более
3920 Н.
После выбора обоих верёвок торможения, расстояния
2*l для V-системы с её начальным натяжением
F0, расчетные данные блочной системы представляются в аналогичной общей таблице. Выполняют её тоже в виде Excel-файла, где меняя параметры, подбирается оптимальный результат.
Отличается файл от расчетной таблицы линейной комбинированной амортизации только вычислением
X2 и
Xполн.
Применение для определения параметров системы аналогично. Определив массу прыгуна
m и задав глубину падения, методом математического моделирования, определяем скорость
V до начала торможения. Далее фиксируем значение кинетической энергии прыгуна
mV²/2. Для каждого расчётного значения
Xполн будет определяться потенциальная энергия
mgXполн прыгуна. Просуммированная с кинетической, она даёт значение полной энергии, которая должна быть амортизирована. В таблице находим ближайшую строчку, где значение полной работы амортизации
A больше полной энергии прыгуна.

Применение таблицы блочной комбинированной системы
В примере представлена блочная комбинированная система с использованием двойной динамической верёвкой
10 мм, у которой:
расстояние между анкерными точками V-образной амортизации
2*l=46 метров,
длина второй, линейной, части системы
l2=35 метров. Для скорости
15 м/с и массы прыгуна
70 кг находим максимальную силу натяжения второй системы
F2=2680 H. Что удовлетворяет нормативам безопасности. Максимальная перегрузка
G=3,90. Глубина торможения
Xполное=26,076 метра. Максимальная сила натяжения V-системы
F1=5974 H. Что соответствует
2987 Н на одну верёвку – допустимая рабочая нагрузка для динамической верёвки
10 мм. Вывод – блочная комбинированная система может применяться для безопасной остановки падения при данных условиях. И обеспечивает меньшее значение перегрузки для прыгуна при тех же длинах подсистем, как в комбинированной системе. Как следствие, больше глубина торможения.
Проанализируем оптимальность распределения длин между подсистемами.
Для выяснения этого вопроса, сохраняя суммарную расчетную длину обоих подсистем, просчитаем при различных соотношениях и определим по таблице, когда перегрузка минимальна.
При соотношении длин двойных верёвок между подсистемами V-системы и линейной:

Итак, данные свидетельствуют, что блочная комбинированная система останавливает торможение с минимальными значениями перегрузок. Вывод из данной зависимости означает, что и для блочной комбинированной системы использование веревки в подсистеме V-образной амортизации эффективнее, чем в линейной подсистеме. Таким образом, предпочтительнее максимизация использования V-образной подсистемы для остановки падения в составе блочной комбинированной.
Аналогично простой комбинированной системе, блочная комбинированная амортизация уменьшает, причём ещё более, зависимость значения максимальной перегрузки от массы прыгуна.
Расположенные ниже данные подтверждают это.
При одинаковой суммарной длине аналогичной верёвки, что в рассчитанной выше блочной комбинированной системе, линейная система будет останавливать падение с такими уже ранее посчитанными максимальными перегрузками:
при массе
50 кг:
G=5,45;
при массе
70 кг (соответствует примеру):
G=4,80,
Хм=8,19 м (глубина остановки);
при массе
100 кг:
G=4,23.
Соотношение перегрузок
G(50) / G (100)=1,29.
Теперь составим таблицу максимальных перегрузок блочной комбинированной системы для масс
50,
70 и
100 кг:

Предельная глубина торможения комбинированных систем
Важнейший параметр безопасности прыжковых систем – предельная глубина торможения. Представляет собой глубину остановки в аварийной ситуации торможения одним контуром. Значение получается подстановкой в расчётную формулу для вычисления полной глубины торможения
Xполное значений площади сечения одинарных верёвок. При тех же входных параметрах массы и скорости прыгуна. Результатом становится значение
Xпредельное, которое и даёт предельную глубину остановки падения.
В примере представлена ранее рассмотренная блочная комбинированная система с теми же параметрами прыжка при массе прыгуна
70 кг. Глубина торможения
Xполное=26,076 метра. Соответствующий ей параметр предельной глубины торможения равен
Xпредельное = 36,611 метра.

В этом примере раскрывается один важный момент в проектировании систем остановки падения. Значение параметра
Xпредельное превышает физическое ограничение заданной длины линейной подсистемы
l2=35 метров, что не позволит организовать размещение анкерных точек для реализации аварийной остановки, несмотря на удовлетворительные значения сил и перегрузок. Мы имеем
сигнал на изменение проекта.
Таким образом, при фиксированной суммарной длине верёвок, следует пересмотреть их соотношение в пользу уменьшения перпендикулярной V-подсистемы. Пусть
l=18 метров, а
l2= 45 метров, сохраняя все остальные параметры прыжка.

Для прыгуна массой
70 кг
Xполное=22,258 метра, а
Xпредельное=31,469 метра.
Сделав расчёт также при массе прыгуна
100 кг, получили
Xполное=26,647 метра, а
Xпредельное=37,906 метра. Разница значительная, поэтому в оценке предельного удлинения следует использовать значение максимально возможной массы спортсмена. При разных массах соотношения
Xполное / Xпредельное составляют, соответственно,
41,4 % и
42,3 %. Зависимость от массы незначительная. И пропорция увеличения аварийной глубины падения не такая уж и большая, по отношению к двойному уменьшению количества рабочих верёвок.
Общий набор демпферов
Рассмотренный набор амортизирующих элементов следует считать полным комплектом структурных элементов поглощения кинетической энергии прыгуна, которые могут быть использованы в системе остановки падения.
Перечисление соответствует возрастанию сложности.
1. Линейная система, наиболее часто представляемая собственно фрагментом верёвки. Она располагается вдоль линии действия силы торможения.
2. Перпендикулярная система V- плеч, которая монтируется поперёк направления действующего торможения. Создаёт амортизацию парой сил, суммирующий вектор которых располагается вдоль силы торможения.
3. Комбинированная система с последовательным объединением перпендикулярной и линейной систем.
4. Блочная (полиспастная) комбинированная система с объединением перпендикулярной и линейной систем посредством блок-роликов, которые образуют скоростной полиспаст.
Параметры элементов подбираются, чаще всего, на основе стандартной альпинистской продукции в соответствии с геометрическими ограничениями реальных объектов. Но они могут быть созданы индивидуально, скажем, для увеличенных нагрузок или большей долговечности. А материалом для их изготовления могут послужить не только синтетические канаты.
Опасные факторы при размещении анкерных устройств
Деятельность на высоте с применением систем канатного доступа обуславливает совокупность факторов опасности, которые следует принимать во внимание при размещении анкерных устройств. Фактор отсутствия запаса высоты, фактор маятника и фактор падения.
Фактор падения – это характеристика высоты возможного падения спортсмена, определяемая отношением значения высоты падения прыгуна до начала срабатывания амортизатора к суммарной длине соединительных элементов страховочной системы. Значение фактора падения зависит от места выбора анкерного устройства и суммарной длины соединительных элементов страховочной системы.
Фактор отсутствия запаса высоты связан напрямую с запасом потенциальной энергии перед прыжком и непосредственно системой остановки падения, которая должна обеспечивать некий минимальный размер свободного пространства, остающегося до нижележащей поверхности в состоянии максимальной амортизации остановки падения.
Фактор маятника при падении возникает при таком выборе местоположения анкерного устройства относительно расположения спортсмена, когда падение прыгуна сопровождается маятниковым движением.
Фактор маятника
Фактор маятника рассматривает возможность не только вертикальных, но и горизонтальных перемещений в процессе остановки падения.
Расположение анкерных устройств в системах остановки падения должно выбираться таким образом, чтобы исключить или минимизировать
неконтролируемую маятниковую траекторию прыгуна, а также исключить перемещение стропа по кромке из-за возможности его обрыва в результате трения.
Этот момент построения систем следует пояснить отдельно. Как было объяснено в разделе об импульсе прыгуна, чем длиннее траектория остановки падения, тем проще выполнить систему с меньшей нагрузкой на спортсмена. Поэтому создание траектории торможения прыгуна с горизонтальными перемещениями – с
контролируемым маятниковым движением – может применяться разработчиками для остановки падения.

Размещение анкерных устройств может быть стационарным или динамическим.
Стационарно установленные страховочные анкерные устройства соответствуют совпадению геометрического места оси (осей в общем случае) маятниковой траектории и физическому месту крепления анкеров. Например, на балке конструкции сооружения. Для таких расположений границы зоны маятника наиболее стабильны.
Динамическое размещение анкерного устройства страховочной системы прыгуна, на практике наиболее частое, имеет разделение по степени перемещения.
Зафиксированные на гибких анкерных линиях страховочные анкерные устройства прыгуна будут обуславливать фиксированное динамическое расположение, где динамика оси маятника определяется амортизацией линий, а диапазон маятниковых движений шире, чем у стационарной установки.
Установленные на гибких анкерных линиях роликовые анкерные устройства будут обеспечивать троллейное динамическое расположение, которое имеет максимальную степень свободы для маятниковых движений.

Методология выбора завешивающих анкерных устройств
Для организации безопасного прыжка с объекта в первую очередь рассматривается возможность завешивания на максимально доступной высоте. Преимущество в этом всегда у стационарных анкерных устройств, поскольку амортизация осуществляется без потери высоты завешивающих устройств, а также здесь наиболее контролируемый маятник.
Когда такая возможность отсутствует, следует размещать анкерные устройства на гибких линиях. Совместно с пристрахованным прыгуном они представляют собой комбинированный демпфер, для которого дальность вывешивания от края линии уменьшает нагрузку на спортсмена. А размещение устройства желательно выполнять ближе к середине перпендикулярной амортизации.
Однако безопасно остановить падение только перпендикулярной амортизацией не просто: оптимальная зона расположена далеко. Это подтверждается результатами моделирования.
Для двух гибких линий из статической веревки
10 мм, натянутых с усилием по
1000 Н, и массы прыгуна
100 кг расстояние V-плеча и глубина амортизации сведены в таблицу для разных скоростей падения и максимальной перегрузки
4g. Моделирование проведено с учетом сопротивления воздуха. Эта таблица дает понять, что при отделении прыгуна желаемая удалённость размещения
в несколько раз больше свободного падения, если амортизировать только гибкими линиями (V-амортизация). Лишь на больших высотах оптимальное размещение анкерных устройств приближается к равенству с глубиной падения.

Выбор между фиксированным или троллейным динамическим устройством в первую очередь определяется фактором маятника. На больших высотах предпочтительной возможностью выступает фиксированное динамическое размещение из-за меньшего диапазона маятника: как из-за конструкции анкерных устройств, так и значительных аэродинамических сопротивлений. На малых высотах аэродинамическое сопротивление прыгуна мало, и оно не составляет существенного торможения качанию. Поэтому здесь использование троллейных устройств позволяет откатить по гибким линиям маятник подальше от возможных препятствий и поближе к зоне оптимального V-плеча.
Следует отметить, что вне зависимости от вида размещения завешивающих анкерных устройств на роликовые устройства накладывается одно важное ограничение: максимальная линейная скорость. На стандартных роликовых устройствах предел составляет
20 м/с под полной нагрузкой, а эта скорость достигается прыгуном уже с
22 метров свободного падения. Таким образом, при выборе устройств, следует оценить линейную скорость вращения роликов под нагрузкой, чтобы приобрести или изготовить на заказ изделия, удовлетворяющие максимальному значению.
Композиция структурных демпферов
Осуществление выбора завешивающих анкерных устройств позволяет перейти к главной части создания системы остановки падения. Работа системы демпферов принципиально может быть построена или на одновременной работе демпферов, или на последовательном задействовании элементов в процесс амортизации. Преимущество чередующегося введения элементов в процесс остановки падения состоит в способности системы изменить направление амортизации. Одновременное (параллельное) включение в амортизацию демпферов позволяет распределить общую нагрузку по элементам системы. Не следует путать термины задействование и соединение демпферов.
Для описания порядка соединения введем понятие: направление демпфера. Демпфер имеет два конца, и от одного к другому, вдоль него, действует сила упругости. Конец, от которого действует сила, – это вход. А тот, к которому действует – это выход.
Соединение указывает на вид механической связи между элементами: последовательно – это когда выход одного демпфера прикреплён ко входу другого; параллельное соединение – это когда входы элементов скреплены между собой, и выходы этих демпферов соединены аналогично.

Задействование же раскрывает временной момент вступления демпферов в амортизацию: последовательно – это один элемент после другого; параллельно – это одновременно.
Понятие комплексной композиции
После реализации системы остановки свободного падения зачастую выявляется какое-нибудь одно наиболее удачное свойство, а другие далеко не всегда выдающиеся. Например, большая упругость или значительный маятник, малая перегрузка или удобство спуска. И для нового решения подход к организации торможения прыгуна возможен с заранее заложенным набором таких свойств. Что наиболее просто выполнимо, если объединять системы целиком, и использовать их как готовые структурные демпферы в общем наборе амортизаторов. Этот метод создания называется комплексной композицией систем.
В качестве примера такого создания предлагается комплексная троллейная система. В ней объединена троллейная комбинированная система и перпендикулярная система V-плеч. Удачным свойством троллейной системы принимается быстрая «доставка» анкерногоустройства страховочной системы в оптимальную зону перпендикулярной амортизации. Особенно, при значительных углах наклона и слабом значении предварительного натяжения. Перпендикулярный демпфер ценен своей подвижностью, особенно на небольших отклонениях от предварительного натяжения.


Объединение производится через внедрение троллея в верхнюю часть наклонного перпендикулярного демпфера. Для сохранения упругих свойств подсистемы перпендикулярной амортизации верхняя часть комплексной системы, объединяющая троллей и верхний фрагмент линии перпендикулярной амортизации, должна иметь модуль продольной упругости (Юнга) равный значению одинарного нижнего фрагмента перпендикулярной амортизации.
Технически, если одну линию надо заменить на две таких же, не меняя общую жёсткость фрагмента, следует в два раза увеличить их длины, а вместо анкерной точки замещаемого фрагмента установить блок-ролики. С одновременным созданием анкерных точек после роликов на удалении, равном заменяемому фрагменту. Подобная операция называется
расщеплением жёсткости.

Выполним расщепление жёсткости верхнего фрагмента демпфера перпендикулярной амортизации. Нижнюю линию организуем в качестве троллейной комбинированной системы. Теперь нижняя анкерная точка наклонного троллея имеет фиксированное динамическое размещение. Причём, в точке оптимальной перпендикулярной амортизации V-подсистемы. И пусть все расстановки удовлетворяют безопасности по факторам запаса высоты и маятника. Соотношения длин, масс и коэффициентов упругости подсистем будут обеспечивать апериодический переходный процесс (когда не будет «подскакивания» выше уровня предварительного натяжения ни ролика, ни опорной точки второй анкерной линии во время съезда).

Общее рассмотрение динамики новой системы указывает на бОльшие амортизационные свойства, чем в каждой из объединяемых систем отдельно. Троллейная система становится «мягче» на анкерной линии с уменьшенной жёсткостью. А перпендикулярная V-система создаёт «плавающее» основание для троллея, что дополнительно увеличивает глубину остановки падения и «смягчает» остановку ролика. Этот пример обосновывает целесообразность комплексного проектирования.
Анализ ударного воздействия
Явление удара возникает при взаимодействии макроскопических тел с быстрым изменением скорости за очень короткий промежуток времени. Вследствие значительного изменения скорости от ударяемого тела к ударяющим передаются большие ускорения, направленные противоположно ударяемому телу. Как следствие, передаются и большие силы инерции, вызывающие существенные напряжения во взаимодействующих телах.
С точки зрения биомеханики человек представляет собой звеньевую систему. Периферические звенья, в общей массе, приблизительно равны массе центральных звеньев – туловища. Когда система остановки падения через страховочную обвязку, сблокированную на центральных звеньях, воздействует на прыгуна, центральные звенья сжимаются обвязкой, а периферические звенья увлекаются вслед упругими связями сухожилий и мышц. Чем быстрее ускоряется центр масс, тем сильнее нагружаются связи, вследствие инертности звеньев. Существуют предельные переносимые человеком значения растяжений и сдавливаний в связях. Чем меньшие силы инерции возникают в человеке, тем «мягче» он ощущает торможение, воспринимая его только через увеличение собственного веса (перегрузку) без разрушающих биомеханическую конструкцию внутренних напряжений.
Само описание траекторий движения звеньев и сил между ними сложно из-за существенного вклада внутренних колебательных степеней свободы. Поэтому в решении инженерных задач широко используются обобщённые энергетические характеристики взаимодействия. Для этого удобно использовать понятие механической мощности.
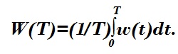
Когда на движущееся тело действует сила, то она совершает работу. Скалярное произведение вектора силы на вектор скорости характеризует скорость совершения работы этой силой и является мощностью
N:

,
где
α – угол между векторами силы
F и скорости
v.
В анализе движения различают мгновенную
w(t) и среднюю
W(T) мощность.
Мгновенная мощность в текущий момент времени отображает состояние развития воздействия через точку приложения силы и равна:

Средняя мощность вычисляется отношением интеграла мгновенной мощности за характерный промежуток времени
T к величине этого промежутка:

Определим переменные для вычисления мощности нагрузки на прыжковую систему.

В соответствии с Третьим законом Ньютона, сила нагрузки
F(t) численно равна силе натяжения линейного демпфера, подсоединённого к прыгуну, и противоположно направлена ей. По закону Гука сила упругости противоположно направлена деформации, а значит, и скорости её изменения. Следовательно, нагрузка сонаправлена скорости деформации. Таким образом, косинус
α равен значению
1.
Параметр
v(t) равен скорости изменения длины линейного демпфера.
Поэтому когда значение мгновенной мощности
w(t) положительно – это отображается нарастание воздействия прыгуна на систему остановки падения и, одновременно, нарастание реакции системы на спортсмена.

На рисунке изображён смоделированный расчет мгновенной мощности воздействия прыгуна на комбинированную блочную систему для объекта высотой 88 метров. Суммарный вклад ударной нагрузки вносят только
положительные значения мгновенной мощности: только значения

Анализ взаимодействия осуществляется через нахождение средней ударной мощности на положительных интервалах значений
w(t) в течение остановки падения.
При наличии нескольких интервалов сперва выполняют усреднение мощности в течение каждого интервала для уменьшения осцилляций итоговой кривой при анализе.

А потом, используя проведённое преобразование, последовательно усредняют результат в течение всего интервала торможения
T
.

Получившаяся кривая средней мощности W(T) характеризует степень ударного воздействия через крутизну наклона. Чем быстрее нарастает кривая – тем сильнее ударное воздействие. Более пологая кривая указывает на меньшие внутренние напряжения у спортсмена при остановке падения. Не вдаваясь в математические методы оценки, графическое представление позволяет просто сравнивать прыжковые системы, если отобразить их кривые средней мощности на одной координатной плоскости в одинаковом масштабе.
Пример на рисунке показывает, что торможение блочной комбинированной системой с высоты
88 метров будет «мягче» восприниматься человеком по сравнению с установленной подобной системой на объекте высотой
40 метров вследствие бОльшей пологости кривой средней мощности нагрузки. При том, что значение максимальной перегрузки в обоих случаях составило
40 м/с².

Необходимость исследования спроектированных прыжковых систем
Как и во всяком инженерном строительном решении, при создании новой прыжковой системы изначально требуется выполнить технический расчёт. Затем осуществляется предварительное проектирование, результатом которого становится первообразное решение задачи остановки падения. Оно представляет собой готовый к монтажу вариант системы в полностью описанных элементах, включающих массогабаритные характеристики.
Полное аналитическое описание торможения верёвками громоздко и сложно к применению в практическом смысле. Поэтому предлагается комбинированный подход с использованием упрощённого описания элементов. Для них принимаются во внимание только главные свойства, причём набор этих качеств может отличаться в зависимости от размеров и условий эксплуатации оригинала.
С одной стороны, надо принимать во внимание девиацию (разброс параметров) реальных характеристик элементов, а также возможность значительного влияния неучтённых качеств. С другой стороны нахождение в системе человека, как самого ценного и непредсказуемого элемента. И, собственно, сама стоимость оборудования имеет не малую величину. Поэтому моделирование первообразной системы, а затем исследование модели и систематизация данных о её «поведении» представляет собой важнейший этап на пути профессионального разработчика.
С учётом полученных данных корректируется исходный проект. Или вносятся изменения в модель. Или регистрируется достаточность соответствия, что дает проекту путёвку на тестовое создание оригинала.
Технология моделирования включает в себя более двух десятков разновидностей. Применительно к роупджампингу, мы посчитали достаточными для проектирования три вида. Компьютерное моделирование с численным и графическим выводом, формальное информационное моделирование на базе таблиц Excel и физическое моделирование.
Компьютерное моделирование на примере комбинированной двукратной полиспастной прыжковой системы
Исследование достаточности упрощённого описания в компьютерном моделировании проводили на действующей прыжковой системе. Комбинированная двукратная полиспастная система предполагает фиксированное размещение одинарных блоков на гибких анкерных линиях. Через них пропущен линейный демпфер – двойная верёвка. Одним концом верёвки соединены с прыгуном, другим концом – с анкерными точками. Линейный демпфер представляет собой одновременно и поводок, и стопор.
Для упрощения аналитического описания, прыжковая система была представлена набором материальных точек, связанных между собой линейными структурными демпферами с постоянными значениями модулей продольной упругости. Также было принято решение о рассмотрении двумерной модели, ибо самые важные вопросы исследования мы связывали с высотами, скоростями, силами натяжений и перегрузками. Коридор маятника на этом этапе был исключен из рассмотрения.
В программе моделирования производится непрерывное численное интегрирование координат двух материальных точек, соответствующих прыгуну и креплениям блоков-роликов. При этом учитывается аэродинамическое сопротивление роупджампера по значению текущей скорости и положению в пространстве.
В расчете ускорений определяющими, кроме ускорения свободного падения, выступают, во-первых, силы упругости, возникающие при удлинении демпферов (двойных верёвок). А во-вторых, значения массы, сосредоточенные в материальных точках. Предполагалось также, что для высот до
100 метров инерция верёвок не потребует усложнённой сегментной реализации в модели.

Рисунок представляет собой кадр из видео-ролика отображения работы модели. Цвета означают силы натяжения: чем краснее, тем сильнее. Результат моделирования, после сравнения с реальной системой, подтвердил достаточность упрощения.
Таким образом, появилась возможность исследования параметров прыжковой системы. И, наконец, позволило определить оптимальные диапазоны сил натяжения анкерных линий, геометрические размеры и размещения элементов, предельные нагрузки и глубины падения. А также эта модель использовалась для определения меры ударного индикатора нагрузки.
Формальное информационное моделирование
Составление компьютерной модели имеет дело с мгновенными характеристиками амортизации прыжка: силами, координатами, скоростями, углами. По трудоёмкости значительно, а по анализу сложно: нужно сравнивать большое множество получаемых данных, которые надо выводить в графической и цифровой форме одновременно.
Поэтому. Для оценки разнонаправленных неоднородных процессов, особенно в потенциальных полях сил (коими являются как сила тяжести, так и силы упругости) применяется энергетический метод. Суть его состоит в том, что, с некоторыми ограничениями, сумма потенциальной и кинетической энергии остаётся неизменной.
Итак, зафиксировав конструкцию системы, математически находят взаимно однозначное соответствие между растяжениями демпферов системы. Потом создают таблицу эксперимента, где для каждого набора упругих деформаций рассчитаны силы и работы, обеспечивающие данное состояние системы. А также рассчитана суммарная работа элементов и перегрузка в демпфере прыгуна.
Определив массу прыгуна и задав глубину падения, определяем скорость до начала торможения (здесь один раз, предварительно, составляется таблица методом математического моделирования: масса – глубина падения – скорость). Далее фиксируем значение кинетической энергии прыгуна в начале торможения. В таблице находим ближайшую строчку, где значение полной работы амортизации больше полной энергии прыгуна. Это процедура и есть испытание формального информационного эксперимента. Именно таким образом мы в нашей книге исследовали базовые структурные демпферы.
Строчка эксперимента сразу показывает деформации, силы и распределение энергий в элементах, которые образуются в точке остановки падения. Таким образом, становится ограниченным для исследователя диапазон изменения системы. А при допустимых значениях сил и перегрузки можно переходить к анализу фактора маятника.
Физическое моделирование
Кинематическая сложность траектории объектов при действии не постоянных во времени и по направлению сил ни у кого не вызывает сомнения. Поэтому создание компьютерной модели для оценки маятниковых движений обоснованно занимает значительный промежуток времени. Если рассматривать эффективность разработки системы, то, при полученных удовлетворительных результатах информационного моделирования, гораздо проще и быстрее воспользоваться методом физического моделирования. В нашем случае он состоит в эксперименте на уменьшенном оборудовании с последующим воспроизведением записанного процесса в, соответствующем уменьшению размеров, отмасштабированном временном виде. Задача состоит в том, чтобы наблюдать траекторию груза в модели как реальный процесс: временные рамки прохождения траектории в модели и оригинале должны совпадать. Уменьшив в модели высоту и жёсткость демпферов, следует соответственно уменьшить и массу груза модели. Вывод этого коэффициента преобразования разберём на примере.
Пусть моделирование проведём на тонкой одинарной верёвке диаметром
2 мм, эквивалентной сбросу тестового груза на одинарной верёвке диаметром
10 мм. Условно предположим для обеих верёвок одинаковые модули Юнга. Соотношение площадей сечения одной
10 мм верёвки и одной мм верёвки, в таком случае, будет равно коэффициенту уменьшения жёсткости
Kж, пропорциональному уменьшению площадей сечения.
Kж = (10*10) / (2*2) = 25. А масштаб уменьшения по высоте возьмем, для примера,
Kh = 10.
По закону сохранения энергии, без учета сопротивления воздуха, приобретённая грузом кинетическая энергия равна потенциальной энергии запаса высоты до начала торможения:

Таким образом, приобретённая скорость
V связана зависимостью квадратного корня от высоты пролёта груза
h

Поэтому уменьшение высоты
h в модели в
Kh раз изменит приобретённую скорость
Vмодели:

Итак, коэффициент уменьшения приобретённой скорости
Kскорости составляет:

Система до начала торможения находится в покое и получает кинетическую энергию груза на амортизацию. Под её воздействием система деформируется, поглощая и её, и нарастающую потенциальную энергию груза до остановки. Уравнение закона сохранения энергии для системы выглядит так:

где
Xполное – это глубина падения груза от начала взаимодействия до момента остановки падения;
Xмакс₁,
Xмакс₂,
… – максимальные деформации линейных фрагментов системы в момент остановки;
k₁,
k₂, … – коэффициенты жесткости линейных фрагментов системы.
Изменение в модели приобретённой грузом скорости в
Kскорости раз для сохранения равенства должно привести к изменению с одинаковым коэффициентом каждого слагаемого уравнения закона сохранения энергии:


Учтём уменьшение в модели жёсткости в
Kж раз. Аналогично требуется деление каждого слагаемого уравнения системы этот коэффициент:

Параметры
Vмодели, Xполное модели и все
Xмакс модели все стали меньше с одинаковым коэффициентом:

Далее в получившемся уравнении сохранения энергии заменим массу груза на массу модели, используя коэффициент массы уменьшения
Kмассы у слагаемого потенциальной энергии:

Для модели с такими параметрами запишем получившееся уравнение закона сохранения энергии:

Итак, в граничном положении остановки падения модель будет геометрически подобна первообразной системе, поскольку и деформации элементов подобны, и глубина падения, и потенциальная энергия в момент остановки падения подобны оригиналу. А вот кинетическая энергия модели в момент остановки будет для такой массы увеличена в
Kскорости раз от подобного значения оригинала. Поэтому для анализа кинематики движения нужно уменьшение масштаба времени в соответствующее число
Kскорости раз. Это можно выполнить либо увеличив массу в
Kскорости раз – но такие растяжения не выдержат верёвки модели. Либо, записав на видео процесс, с помощью программ обработки видео, а затем воспроизвести его замедленно.
В нашем примере высота была уменьшена в
Kh = 10 раз, соответственно, воспроизведение надо замедлить в
Kскорости = 3,16 раза.
Также рассчитаем в примере коэффициент уменьшения массы
Kмассы, который в соответствии с преобразованиями равен произведению коэффициента уменьшения жёсткости демпферов на коэффициент уменьшения скорости
Kскорости:
Kмассы = 25* sqrt (10) = 79 раз. Это, для моделирования сброса нашего тестового груза
140 кг, дает массу груза модели
Mмодели:
Mмодели = 140 / 79 = 1,77 кг.
Что касается значений сил упругости в модели, то, по закону Гука, они изменятся в соответствии с изменением коэффициента уменьшения жесткости
Kж:
F модели = (k/
Kж) * x = (k*x) / Kж = F /
Kж.
В том числе должны быть изменены силы предварительного натяжения. Их в модели нашего примера следует уменьшить в
Kж = 25 раз.
Послесловие
Мы – это команда единомышленников
«PROПрыжки» (vk.com/prorj), осуществляющая прыжки с верёвкой в Санкт-Петербурге. Написание нами этой книги, в первую очередь, было направлено на популяризацию роупджампинга как технологичного вида спорта.
Здесь создание цельного понятия прыжковой системы объединяет базовые аспекты технического исполнения с положениями безопасности. Рассмотренный подход позволяет проанализировать как применяемые системы, так и создавать новые. Это, по нашему мнению, организует встречное движение доверия между прыгунами и организаторами, поскольку для одних снимается завеса непонятного, а для других возникает дополнительная возможность проверить и, возможно, исправить себя.
Выбор верёвок в примерах (тип, размер, длина) не является конкретным фрагментом какой-нибудь реально смонтированной системы, а определён последовательностью рассмотрения. Но их параметры для расчетов близки к настоящим значениям и получены были путём усреднения нескольких измерений. Что касается выбора оборудования, то заниматься проектированием и навеской прыжковой системы должны специалисты по работам на высоте с применением систем канатного доступа, которые, в соответствии с профессией, имеют необходимые навыки, а описанный подход предлагается для них комплектом универсальных инструментов.
Оглавление
Прыжок
Способы остановки падения
Комбинированный метод изучения
Импульс
Глубина остановки и максимальная перегрузка в линейной системе
Оценка длины тормозящей верёвки линейной системы
Сводная таблица основных параметров линейной системы
Определение глубины падения для объекта при линейной системе
Перпендикулярная амортизация
Описание комбинированной системы
Параметры комбинированной системы
Расчет основных параметров комбинированной системы
Применение таблицы комбинированной системы
Полиспаст
Блочная комбинированная система
Расчет основных параметров блочной комбинированной системы
Применение таблицы блочной комбинированной системы
Предельная глубина торможения комбинированных систем
Общий набор демпферов
Опасные факторы при размещении анкерных устройств
Фактор маятника
Методология выбора завешивающих анкерных устройств
Композиция структурных демпферов
Анализ ударного воздействия
Необходимость исследования спроектированных прыжковых систем
Компьютерное моделирование на примере комбинированной двукратной полиспастной прыжковой системы
Формальное информационное моделирование
Физическое моделирование
Послесловие
Последние комментарии
4 дней 30 минут назад
4 дней 12 часов назад
4 дней 13 часов назад
5 дней 53 минут назад
5 дней 18 часов назад
6 дней 8 часов назад