Днищенко В.А
«500 схем для радиолюбителей. Дистанционное управление моделями»
Серия "Радиолюбитель"
Введение
Моделирование — само по себе очень увлекательное занятие, но наибольший интерес представляет изготовление подвижных, особенно управляемых на расстоянии моделей.
Для оперативного (в режиме реального времени) изменения кинетических параметров, например направления и скорости движения, не обойтись без специальной аппаратуры. Самостоятельному изготовлению такой аппаратуры и посвящена данная книга: разумеется, приобретение готового комплекта (модели и системы управления), при всей его дороговизне, не подарит столько положительных эмоций…
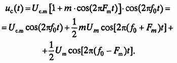
В книге рассмотрены характеристики систем дискретного (передача разовых команд) и пропорционального управления, возможные каналы передачи команд (индукционный, инфракрасный, лазерный и радиочастотный).
В качестве
основного канала передачи команд управления выбран
радиочастотный как наиболее универсальный. Рассмотрены особенности построения, достоинства и недостатки передатчиков, приемников амплитудно- и частотно-модулированных сигналов. Для сверхрегенеративных приемников, традиционно входящих в состав систем дистанционного управления, приведено детальное описание самого принципа сверхрегенеративного приема (что должно облегчить настройку аппаратуры и поиск неисправностей) и разработанные автором конструкции сверхрегенераторов с внешней суперизацией.
Предложен и альтернативный вариант — приемник прямого преобразования, сочетающий простоту устройства с высокими характеристиками. Приведены принципиальные схемы таких приемников.
Особое внимание уделено специфическим узлам аппаратуры дистанционного управления: шифраторам и дешифраторам команд, сервоусилителям рулевых машинок и регуляторам хода.
Функциональные блоки унифицированы, что позволяет заменить любой из них аналогичным по назначению, без каких-либо дополнительных согласований по входу и выходу. Иными словами, из этих блоков, как из кубиков, можно конструировать различные варианты систем управления.
Все рассмотренные схемы выполнены на современной элементной базе и сопровождаются подробным описанием принципа работы, рисунками печатных плат, рекомендациями по настройке.
Специально для данной книги разработана конструкция радиоуправляемой модели автомобиля: следуя авторским рекомендациям, читатели могут приобрести опыт изготовления не только аппаратуры дистанционного управления, но и кинематических узлов (привода ходовой части и рулевого механизма), подарить детям оригинальную игрушку, а себе — замечательное хобби!
Глава 1
ПРИНЦИПЫ УПРАВЛЕНИЯ МОДЕЛЯМИ НА РАССТОЯНИИ
В данной главе рассматриваются общие принципы построения систем дистанционного управления моделями. Автор знакомит читателя со способами кодирования и передачи команд, их восстановления «на борту», исполнительными устройствами.
1.1. Структурная схема командной линии управления
Необходимость использования систем дистанционного управления объектами возникает в различных областях техники — соответствующие устройства постоянно совершенствуются.
Различают автономные, неавтономные и комбинированные системы, особенности каждой из них подробно рассмотрены, например в [1]. Применяемая моделистами всего мира аппаратура относится к классу неавтономных систем командного управления. Рассмотрим общие
принципы функционирования таких систем с помощью структурной схемы (рис. 1.1).
Рис. 1.1. Структурная схема командной линии управления
Моделист получает информацию о параметрах движения модели, как правило, за счет визуального наблюдения. На основе анализа этой информации принимается решение о требуемом наборе команд, подлежащих передаче. Ввод команд осуществляется с помощью соответствующих
датчиков, входящих в состав пульта управления.
При дистанционном управлении моделями возникает необходимость в передаче на их борт команд двух типов. Во-первых, это разовые команды, предназначенные для включения или выключения различных
исполнительных устройств (ИУ). Такие команды называют
дискретными; соответствующая им аппаратура используются в простейших моделях или как составная часть в более сложных.
Датчиком обычно служит
кнопка, нажатие которой инициирует передачу команды. Разделение каналов передачи дискретных команд реализуется посредством выбора для каждого из них различных модулирующих частот либо применением импульсно-цифрового кодирования.
Второй тип команд предполагает возможность плавного изменения какого-либо параметра движения модели пропорционально углу отклонения соответствующего органа управления на пульте передатчика, обеспечивая большую степень подобия управляемой модели ее реальному прототипу. Для передачи таких команд служит
аппаратура пропорционального управления.
Набор команд, подлежащих передаче на борт модели, зависит от типа модели и от конкретной текущей ситуации в процессе управления, при этом необходимо обеспечить однозначную идентификацию команд на приемной стороне.
Очевидно, каждая команда должна иметь какой-либо признак, отличающий ее от остальных. Кроме того, команды, вводимые с помощью датчиков, должны представлять собой электрические сигналы. Для решения этих двух задач служит
шифратор (кодирующее устройство). Получаемая на его выходе электрическая величина (ток или напряжение) называется
командным сигналом. При одновременной передаче нескольких команд шифратор должен обеспечивать еще и уплотнение передаваемой информации. Подробнее эта процедура будет рассмотрена в
разделе 1.2.2 настоящей книги.
Последнее устройство, входящее в состав пульта управления, называется
передатчиком команд. Он предназначен для преобразования командного сигнала в вид, удобный для его дистанционной передачи на управляемую модель. Передатчик, среду распространения сигнала и приемник, находящийся на борту управляемой модели, принято называть
каналом связи. В зависимости от среды распространения и используемых сигналов, каналы связи подразделяются на группы:
♦ проводные;
♦ индукционные;
♦ инфракрасные;
♦ оптические;
♦ радиочастотные.
Все они, за исключением проводных, будут рассмотрены в этой книге.
Приемник обычно выполняет три функции:
♦ во-первых, обеспечивает выделение полезного сигнала на фоне множества посторонних, как правило, присутствующих в среде распространения;
♦ во-вторых, сигнал в среде распространения существенно затухает, и требуется его усиление, часто весьма значительное;
♦ в-третьих, в приемнике производится преобразование принятого сигнала опять в командный, аналогичный тому, который имел место на выходе шифратора.
Декодирующее устройство, на основе отличительных признаков принятого командного сигнала, направляет его в соответствующее
исполнительное устройство. В качестве такового, в случае передачи дискретной команды, выступают электромеханические и электронные реле. При пропорциональном управлении это регуляторы хода или рулевые машинки, назначение и устройство которых подробно описано в
главе 4. Максимальное количество исполнительных устройств, устанавливаемых на одну модель, обычно не превышает 8—10.
В заключение отмечу, что весьма заманчиво установить на управляемую модель миниатюрную телекамеру с передатчиком. Такие устройства широко представлены в торговой сети в составе различных охранных систем. В этом случае управление производится по экрану монитора, что создает практически полную иллюзию нахождения внутри управляемой модели.
1.2. Способы кодирования и передачи команд
1.2.1. Дискретное управление
Как отмечалось выше, дискретная команда задается в простейшем случае нажатием кнопки на пульте управления, т. е. замыканием (или размыканием) какой-либо электрической цепи.
Шифратор такого типа принято называть
одноканальным.
Несмотря на простоту, аналогичное устройство можно использовать и для кодирования нескольких различных команд. Каждой команде (каналу) при этом соответствует различное количество нажатий кнопки за определенный фиксированный промежуток времени. Командный сигнал, в этом случае, представляет совокупность нескольких импульсов.
В декодирующем устройстве решение о значении принятой команды принимается по результатам подсчета количества импульсов за этот фиксированный промежуток. Долгое время такой принцип кодирования был основным в арсенале моделистов, разрабатывались даже устройства пропорционального управления, но последние были крайне неудобны в использовании.
Следующим этапом развития многоканальной аппаратуры стало применение
частотного кодирования. Различным командам при этом соответствуют кнопки с различными номерами (названиями). Вырабатываемый шифратором командный сигнал для каждого из каналов представляет собой низкочастотное колебание определенной частоты.
Дешифратор на приемной стороне представляет собой набор узкополосных фильтров, настроенных на соответствующие частоты. Входы этих фильтров соединены параллельно. По номеру фильтра, на выходе которого появился сигнал, и судят о назначении переданной команды. Аппаратура дискретного управления в таком варианте может иметь до десяти независимых каналов с возможностью одновременной работы на трех из них.
При выборе значений кодовых частот для многоканальной аппаратуры необходимо учитывать два момента:
♦ во-первых, ширина спектра излучаемого сигнала
Δfс, например при амплитудной модуляции, равна удвоенному значению модулирующей частоты
FM, т. е.
Δ
fс= 2
FM
Регламентирующие документы требуют, чтобы ширина спектра не превышала 20 кГц. Очевидно, максимальная модулирующая частота не должна превышать 10 кГц;
♦ во-вторых, командный сигнал на выходе приемника часто представляет собой сильно искаженное гармоническое колебание, а то и вовсе прямоугольные импульсы (меандр).
В этих случаях в спектре командного сигнала помимо основной гармоники присутствуют так называемые
высшие (кратные) гармоники — колебания, частоты которых в целое число раз превышают основную частоту. Подробнее понятие спектра рассмотрено в
разделе 4.4.1.
Очевидно, кодовые частоты должны быть распределены таким образом, чтобы кратные частоты низкочастотных каналов не совпадали с частотами последующих каналов. В противном случае возможны ложные срабатывания дешифраторов. Примерное распределение частот (в килогерцах) для десятиканальной аппаратуры может представлять ряд
0,75; 0,9; 1,08; 1,32; 1,61; 1,97; 2,4; 2,94; 3,58; 4,37.
Дешифратор на приемной стороне (рис. 1.1) должен содержать фильтры, настроенные на эти частоты, являющиеся достаточно низкими. Катушки индуктивности и конденсаторы фильтров в этом случае имеют значительные величины, а значит и геометрические размеры, что является существенным недостатком частотного способа кодирования команд. Несколько лучшие массогабаритные характеристики имеют активные фильтры на базе операционных усилителей.
С развитием цифровой техники появилась возможность модификации первого из рассмотренных способов кодирования.
Новый вариант получил название
импульсного шифратора. При нажатии одной из кнопок на пульте управления такой шифратор автоматически формирует соответствующее количество импульсов. Отличительным признаком команды, позволяющим однозначно определить ее на приемной стороне, является количество импульсов, содержащихся в передаваемой посылке.
Наиболее совершенным способом кодирования дискретных команд является
кодово-импульсное кодирование. Широко для этой цели используется
двоичный код. При передаче конкретной команды ей в соответствие ставится двоичное число. В простейшем случае это число просто совпадает с номером команды.
Если максимальное количество команд, например не превышает 10 (двоичный код 1010), то для их передачи достаточно четырех разрядов. Процедура формирования кодовой посылки для этого случая поясняется графиками на рис. 1.2.
Для однозначной дешифрации двоичного числа необходимо знать, прием какого разряда производится в данный момент времени. Поэтому при формировании командного сигнала каждому разряду двоичного числа отводится фиксированный
временной интервал τр. Границы соседних интервалов определяются тактовыми импульсами (рис. 1.2,
а). Вся кодовая посылка при этом будет иметь длительность
Tк =
n·
τр
где
n — количество разрядов двоичного числа.
Распознавание номера разряда на приемной стороне можно организовать
двумя способами.
В первом случае в момент прихода начала кодовой посылки в дешифраторе запускается тактовый генератор, аналогичный генератору шифратора. Номер тактового импульса, подсчитываемый, например с помощью счетчика, и будет определять номер последующего разряда, подлежащего дешифрации. Разумеется, необходимо обеспечить одинаковую продолжительность разрядных интервалов в обоих генераторах. Для кодовых посылок значительной продолжительности эта задача достаточно сложна.
Во втором случае информацию о границах разрядных интервалов извлекают из самой кодовой посылки. Если в соседних разрядах кодовой посылки присутствуют разные цифры, то границу можно легко выделить как по положительному (между нулем и единицей), так и по отрицательному (между единицей и нулем) перепадам в командном сигнале.
На рис. 1.2,
б командный сигнал отображает кодовую комбинацию 1100. В этом случае границу между разрядами на приемной стороне определить будет невозможно. В практических конструкциях используют модифицированный командный сигнал (рис. 1.2,
в), получаемый путем смешивания исходного командного сигнала и тактовых импульсов.
Рис. 1.2.
Структура командной посылки:
а — тактовые импульсы; б — командный сигнал; в — модифицированный командный сигнал
Как видно из рисунка, граница между разрядами, содержащими нули, просто индицируется тактовым импульсом, а граница между соседними единицами — специальными врезками, представляющими инверсии тактовых импульсов. В
главе 5 будет показано, что из модифицированного командного сигнала при помощи простых схемотехнических решений можно легко восстановить тактовые импульсы, необходимые для правильной дешифрации команды.
В качестве дешифраторов кодово-импульсных команд используются стандартные микросхемы цифровых дешифраторов.
1.2.2. Пропорциональное управление
Параметры, подлежащие регулировке
При использовании пропорционального управления моделью регулировке подлежат следующие параметры:
♦ скорость вращения электродвигателя (например тягового в модели автомобиля);
♦ угол отклонения рулевого устройства (передние колеса автомобиля, руль высоты у авиамодели и т. п.).
Принцип формирования команд управления здесь одинаков, однако исполнительные устройства существенно отличаются друг от друга. В первом случае такое устройство называется регулятором хода и, как правило, должно обеспечивать только плавное изменение величины и полярности напряжения, питающего двигатель. Во втором случае применяются рулевые машинки, двигатели которых работают кратковременно (только в период установки рулевого устройства в новое положение), обеспечивая пропорциональную зависимость между текущими положениями ручки управления на пульте передатчика и углом поворота рулевого устройства.
Определение. Управляющим сигналом называют отклонение ручки управления на пульте передатчика, а командным сигналом — соответствующую ему электрическую величину [как правило, напряжение u(t)]. Параметр движения модели, подлежащий управлению, — регулируемой величиной.
Принцип дискретной передачи непрерывного управляющего воздействия
Рассмотрим принцип дискретной передачи непрерывного управляющего воздействия. В случае пропорционального управления регулируемая величина может принимать любые значения в заданном интервале. Например угол поворота передних колес автомобиля должен иметь возможность плавно изменяться в пределах ±60°. Очевидно, управляющий сигнал должен вести себя аналогичным образом — последовательно принимая все возможные значения в определенном диапазоне.
Это, в свою очередь, означает, что и передаваемый командный сигнал должен быть величиной непрерывной. При необходимости управления двумя и более регулируемыми величинами возникает проблема параллельной передачи нескольких командных сигналов.
Известны
два способа решения этой задачи. В первом случае каждому из командных сигналов выделяется свой канал связи, и тогда возможна одновременная передача всех команд. При использовании радиосвязи рабочие частоты каналов необходимо разносить для исключения их взаимного влияния. Передатчики и приемники такой аппаратуры должны быть многочастотными, поэтому в эфире потребуется относительно широкая полоса частот.
Устройства получаются громоздкими и дорогостоящими. Такой способ называется
частотным уплотнением каналов и применяется в профессиональной аппаратуре специального назначения.
Второй способ —
временное уплотнение — предполагает последовательную во времени передачу командных сигналов различных каналов. Очевидно, в этом случае сигналы уже не могут быть непрерывными во времени, но это оказывается и не обязательным. Известно, что подвижное изображение на экране телевизора создается путем проецирования на него 25 неподвижных картинок в секунду. Другими словами, непрерывный процесс, например движения автомобиля, заменяется последовательностью его неподвижных изображений через небольшие промежутки времени.
Если правильно выбрать величину этих промежутков, то дискретность изображения ощущаться не будет. Подобным образом, непрерывный командный сигнал
u(
t) можно заменить передачей его значений U1, U2, U3 и т. д. в отдельные моменты времени (рис. 1.3,
а).
Рис. 1.3. Принцип дискретизации сигналов:
а — аналоговый командный сигнал; б — дискретный командный сигнал
Такие значения называют
отсчетами сигнала. Чем резче меняется во времени командный сигнал, тем чаще должны следовать отсчеты. Теорема Котельникова дает точный рецепт по выбору максимально возможного промежутка времени Δ
t, при котором не нарушается плавность изменения регулируемой величины:
Δ
t =< 1/2
fв,
где
fв— наибольшая частота в спектре командного сигнала.
Эта величина зависит от максимально необходимой скорости изменения регулируемой величины управляемой модели и для большинства из них не превышает 25 Гц (соответствующее максимальное значение Δ
t = 20 мс). Таким образом,
период обновления информации о значении управляющего сигнала (
Тп) каждого канала может быть выбран равным 20 мс. Именно такое значение используется в большинстве образцов аппаратуры пропорционального управления как промышленного производства, так и самодельной.
Выбор параметров дискретного управляющего сигнала
Значение отсчета, полученное в момент времени
t1, необходимо передать на управляемую модель до момента очередного отсчета
t2. Сделать это можно разными способами. В аппаратуре управления моделями обычно передается прямоугольный импульс, длительность которого (
τ) пропорциональна значению отсчета Выбор параметров дискретного управляющего сигнала(рис. 13,
б, где «к» — коэффициент пропорциональности).
Способа кодирования, иллюстрированного рис. 1.3, было бы достаточно в случае однополярного командного сигнала. Реальный сигнал должен нести информацию не только о величине отклонения ручки управления на пульте, но и направлении этого отклонения. Поэтому окончательно командный сигнал представляет собой последовательность импульсов, называемых
канальными, опорная длительность которых, соответствующая нейтральному положению ручки управления, выбирается равной
τ0 = 1,5 мс,
а отклонение ручки либо в одну, либо в другую сторону учитывается соответственно увеличением или уменьшением длительности в пределах Δ
τ = ±0,5 мс. Результирующая длительность канального импульса (
τк), очевидно, может лежать в пределах
τк = 1–2 мс.
В этом случае не длительность, а ее отклонение (от опорного значения — Δ
τ) пропорционально команде.
Период обновления команды для одного канала был выбран равным 20 мс. Нетрудно подсчитать, что за один период можно передать, в принципе, командные сигналы десяти каналов. На практике последние четыре миллисекунды каждого периода используются для передачи
специального синхронизирующего импульса, индицирующего границу между соседними периодами. Таким образом, максимальное число каналов уменьшается до восьми.
Приведенные значения являются стандартными для промышленной и любительской аппаратуры, однако совсем не обязательны: придерживаться их имеет смысл в том случае, когда требуется обеспечить совместимость самодельных и покупных узлов. Принципиальными же ограничениями на параметры командных импульсов являются, с одной стороны, желаемая плавность изменения регулируемой величины, а с другой — допустимая ширина канала связи.
Сформированные вышеописанным способом канальные импульсы далее управляют работой передатчиков.
Восстановление передаваемого командного сигнала
В конечном счете, последовательность импульсов каждого из каналов на выходе приемника бортовой части аппаратуры выглядит так же, как и передаваемые канальные импульсы (рис. 1.3,
б).
Рассмотрим процедуры их дальнейшей обработки для управления регуляторами хода и рулевыми машинками.
Канал регулятора хода
На рис. 1.4,
а изображены два соседних периода канальных импульсов. Поскольку скорость изменения передаваемой команды невелика по сравнению с частотой следования импульсов, их длительность в соседних периодах отличается незначительно.
Пусть для определенности длительность канального импульса больше опорной (
τк >
τ0). Так как информация о длительности передаваемой команды содержится в разности Δ
τ =
τк — τ0, в первую очередь ее и необходимо восстановить.
Для этой цели передним фронтом принятого канального импульса запускают
местный опорный генератор, работающий в ждущем режиме. Длительность вырабатываемых им импульсов должна быть равной
τ0 = 1,5 мс (рис. 1.4,
б). Далее производится вычитание этих импульсов с получением разностных (рис. 1.4,
в).
Рис. 1.4. Принцип восстановления командного сигнала:
а — канальные импульсы; б — опорные импульсы; в — разностные импульсы; г — напряжение, подаваемое на двигатель
Очевидно, что при отклонении ручки управления от нейтрального положения до крайнего, длительность разностных импульсов будет меняться в пределах Δ
τ = 0–0,5 мс. Период их следования (
Тп) по-прежнему равен 20 мс. Непосредственно эти импульсы подавать на двигатель регулятора хода нельзя. Дело в том, что электродвигатель, инерционность ротора которого велика, при питании импульсами напряжения, следующими с частотой 50 Гц, будет играть роль механического фильтра нижних частот. Скорость вращения его ротора будет определяться средним значением напряжения за период следования импульсов, которое можно определить по формуле
Uср =
Uп·
τ/
Tп (1.1)
Легко подсчитать, что при амплитуде импульсов, равной напряжению питания (например
Uп = 12 В), среднее значение напряжения окажется равным
Uср = 1225·0,5/20 = 0,3 В даже при максимальном отклонении ручки управления.
По этой причине разностные импульсы в канале регулятора хода необходимо удлинять до величины т
у, причем с сохранением пропорциональности удлиненных импульсов углу отклонения ручки управления. Другими словами, необходимо обеспечить равенство
τу =
Ку·Δ
τ
Если коэффициент удлинения
Ку выбрать равным 40, то изменение разностного импульса в пределах Δ
τ = 0–0,5 мс вызовет изменение удлиненных импульсов в диапазоне
τу = 0 — 20 мс (рис. 1.4,
г). Соответственно среднее значение напряжения, подаваемого на двигатель, определяемое теперь формулой
Uср =
Uп·
τу/
Tп (1.2)
будет меняться от нуля до, примерно,
Uп = 12 В. Так работают каналы практически всех регуляторов хода.
Помимо удлинения импульсов, в регуляторе хода еще должна быть решена задача распознавания знака передаваемой команды, определяющего направление вращения исполнительного двигателя.
Канал рулевой машинки
Рассмотрим
логику работы рулевой машинки. Пусть ручка управления передними колесами модели и сами передние колеса находятся в нейтральном положении. Длительность канального импульса при этом равна
τк =
τ0 = 1,5 мс.
Длительность
Δτ = 0 (см. рис. 1.4,
а, б, в). Двигатель рулевой машинки не вращается.
При отклонении ручки управления от нейтрального положения, длительность канального импульса становится больше
τ0(например
τк = 1,7 мс). Удлиненный разностный импульс приводит двигатель во вращение. Механизм поворота, помимо колес, вращает и регулятор длительности опорного импульса, вырабатываемого бортовым генератором. Двигатель остановится в тот момент, когда Δ
τ станет равным нулю. В новом установившемся положении длительность опорного импульса опять будет равна длительности командного (в нашем примере
τк =
τ0 = 1,7 мс.)
Вывод. Канал рулевой машинки отличается от канала регулятора хода наличием связи между текущим положением рулевого механизма и длительностью опорных импульсов.
Полезно отметить, что длительность разностного импульса теперь зависит от скорости отклонения ручки управления и, в свою очередь, определяет скорость вращения двигателя рулевой машинки на этапе отработки команды. На эту скорость также влияет коэффициент удлинения импульсов
Ку, определяющий, в конечном счете, величину напряжения, питающего двигатель рулевой машинки. Аналогично предыдущему случаю, канал должен содержать устройство распознавания знака разностного импульса, несущего информацию о требуемом направлении вращения исполнительного двигателя.
Вывод. Как видно из приведенных рассуждений, у каналов регулятора хода и рулевой машинки отличается логика работы только исполнительных частей, формирование же командного сигнала и способ получения разностных импульсов полностью идентичны. По этой причине в многоканальной аппаратуре выходы каналов делаются универсальными, и к каждому из них имеется возможность подключать либо регулятор хода, либо рулевую машинку.
Формирование командной посылки
Перед рассмотрением структурной схемы необходимо уточнить еще один момент. Поскольку командные сигналы каждого канала представляют собой прямоугольные импульсы, то при их непосредственной последовательной передаче результирующая командная посылка представляла бы один импульс суммарной длины, что исключило бы возможность разделения каналов на приемной стороне. По этой причине необходимо принимать меры по индикации границы между импульсами соседних каналов.
Определение. Командная посылка — один период передачи команд всех каналов.
В простейшей двухканальной аппаратуре устройство формирования канальных импульсов обычно представляет собой автоколебательный мультивибратор, положительный импульс которого используется для передачи управляющего сигнала первого канала, а отрицательный — для передачи второго (рис. 1.5,
а). Предусмотрев раздельную регулировку длительностей этих импульсов соответствующими ручками управления, обеспечивают независимое формирование двух канальных импульсов. Индикацией границы между каналами здесь является смена полярности импульсов, что можно легко использовать на приемной стороне для разделения каналов.
Однако такой способ имеет один очень существенный
недостаток: между каналами возникает взаимная связь. Период следования импульсов на выходе каждого канала в приемнике (рис. 1.5,
б, в) зависит от длительности как собственного канального импульса, так и от длительности командного импульса соседнего канала.
Рис. 1.5. Командная посылка двухканальной аппаратуры:
а — командный сигнал с выхода шифратора; б и в — командные сигналы на выходах первого и второго каналов дешифратора соответственно
Поскольку период следования входит в выражение для среднего значения удлиненных импульсов (1.2), скорость вращения исполнительных двигателей каждого канала будет зависеть от длительности командного импульса в соседнем канале.
Даже если длительность соседнего канального импульса не меняется, то изменение собственного канального импульса будет влиять на среднее значение напряжения дважды:
♦ собственно через
τу;
♦ через меняющийся период повторения, равный в этом случае
τп =
τy1 +
τу2.
Вывод. Зависимость между углом отклонения ручки управления и регулируемой величиной уже не будет прямопропорциональной (см. формулу 1.2), что не всегда приемлемо на практике: в канале рулевой машинки это приведет лишь к изменению скорости отработки рулевого устройства без ошибки передачи величины управляющего сигнала, а вот в канале регулятора хода изменение среднего значения напряжения прямо повлияет на скорость модели.
На рис. 1.6 изображены зависимости напряжения
Ucp для одного канала от длительности разностного импульса этого канала (Δ
τ1) при различных значениях разностного импульса (Δ
τ2) в другом канале. Кривые построены по формуле 1.2. Сплошные линии соответствуют одинаковой исходной длительности канальных импульсов
τ10 =
τ20 = 1,5 мс, период повторения при этом равен
Тп0 = 3 мс (в отсутствие команд в обоих каналах). Пунктирные линии отражают зависимость при введении асимметрии между импульсами (
τ10 = 1,5 мс,
τ20 = 8,5 мс), период повторения
Тп0 в этом случае взят равным 10 мс.
Рис. 1.6. Иллюстрация взаимного влияния каналов
Пусть первый командный импульс (
τ1) управляет скоростью движения модели, а второй (
τ2) — углом поворота передних колес. Напряжение питания выберем равным 12 В. Из графиков видно, что при одинаковой исходной длительности канальных импульсов и повороте направо (Δ
τ2 = +0,5 мс) напряжение на тяговом двигателе
Ucp, при полном отклонении рукоятки управления вперед (Δ
τ1 = +0,5 мс), будет равно 6 В.
Перевод передних колес в крайнее левое положение (Δ
τ2 = -0,5 мс) вызовет возрастание
Ucp до 8 В. Если при этом включить еще и задний ход (Δ
τ1 = -0,5 мс), то на тяговый двигатель будет подано уже 12 В. Очевидно, столь существенная связь между каналами создает неудобства при управлении моделью.
Введение асимметрии между канальными импульсами улучшает ситуацию. Для рассмотренных в примере исходных параметров командных импульсов (пунктирные линии на графике), среднее напряжение на двигателе, при тех же изменениях положения ручки управления, меняется уже лишь в пределах 10–12 В.
Можно оставлять исходные длительности одинаковыми, но увеличивать их абсолютные значения. При этом будет расти период повторения (безболезненно его можно увеличивать до 20 мс), и, как это явствует из формулы 1.2, относительное влияние каналов будет уменьшаться. Имеется в виду, что максимальное значение
Δτ в каждом канале остается при этом неизменным и равным 0,5 мс.
Для полного исключения взаимного влияния каналов целесообразно
стабилизировать период повторения: командная посылка для двух и более каналов должна выглядеть в соответствии с рис. 1.7,
г. На рис. 1.7,
а, б, в показаны импульсы первого, второго и восьмого каналов, следующие с периодом повторения
Тп. Между окончанием импульса последнего канала и началом очередного периода передачи должен оставаться временной промежуток, называемый
синхропаузой τсп, с помощью которой на приемной стороне будет обнаруживаться начало очередного цикла передачи командной посылки.
Рис. 1.7. Командная посылка с фиксированным периодом повторения:
а, б, в — командные сигналы 1-го, 2-го и 8-го каналов; г — результирующая командная посылка
В моменты времени, соответствующие границам между канальным импульсами, формируются короткие (граничные) импульсы длительностью
τг. Длительность канальных импульсов теперь закодирована в расстоянии между фронтами соседних граничных. В таком виде командную посылку можно отправлять в канал связи.
Несколько слов о
параметрах импульсов командной посылки. Для уверенного разделения соседних граничных импульсов на выходе приемника (где их форма будет далеко не идеальной) их длительность не должна превышать половины минимальной длительности канального импульса, т. е.
τг =< 0,5 мс. С другой стороны, уменьшение длительности, как известно, увеличивает ширину спектра импульсов Δ
fc ~= 1/
τг. Если используется радиоканал, то при амплитудной модуляции ширина спектра радиосигнала дополнительно увеличится вдвое.
Выше говорилось, что полоса излучаемого сигнала не должна превышать 20 кГц. В этом случае минимально возможная длительность определится формулой
τг >= 1/10 = 0,1 мс. При частотной модуляции той же полосе частот будет соответствовать более протяженный сигнал.
Необходимо учесть еще тот факт, что чем короче импульс, тем меньше его энергия, а значит и дальность действия радиолинии. С учетом приведенных рассуждений целесообразно выбрать
τг = 0,5 мс.
При выбранном периоде повторения и максимальной длительности всех восьми импульсов, минимальная длительность синхропаузы будет равна 4 мс (в два раза длиннее любого канального импульса), чего вполне достаточно для ее уверенного выделения на приемной стороне.
Структурная схема передающей части
После того, как рассмотрены все процедуры, необходимые для формирования командной посылки, легко составить структурную схему устройства передачи команд дистанционного управления (рис. 1.8).
Рис. 1.8. Структурная схема передатчика команд
Во-первых, необходим тактовый генератор (ТГ), определяющий период повторения командной посылки
Тп. Задним фронтом тактовых импульсов запускается формирователь первого канального импульса (ФКИ1), длительность которого изменяется потенциометром R1, механически связанным с соответствующей ручкой управления. Задним фронтом ФКИ1 запускается ФКИ2, и так далее (рис. 1.7,
а, б, в).
Импульсы с выхода тактового генератора и канальные импульсы с выходов всех формирователей поступают на дифференцирующие цепи ДЦ1—ДЦ9. С их выходов короткие положительные всплески, соответствующие задним фронтам, проходят через разделительные диоды на запуск формирующего устройства (ФУ), обеспечивающего получение нормированных по длительности и амплитуде граничных импульсов (рис. 1.7,
г).
Сформированной таким образом кодовой посылкой управляется передатчик (ПРД) соответствующего канала связи.
При желании можно использовать любое меньшее количество каналов, отбрасывая лишние ФКИ, ДЦ и диоды, начиная с последних. Период повторения
Тп при этом можно оставить прежним, либо уменьшить на величину 2
n мс, где
n — количество отброшенных каналов.
Уменьшение
Тп упрощает реализацию удлинителей импульсов в приемной части аппаратуры.
Структурная схема приемной части
Каким бы ни был приемник (позиция 1 на рис. 1.9), принятый и продетектированный сигнал на его выходе будет представлять достаточно искаженное подобие переданной кодовой посылки на фоне шумов. На рис. 1.10 импульсы кодовой посылки в выходном напряжении
U1 изображены отрицательными. Для устранения шумов и восстановления прямоугольной формы граничных импульсов (напряжение
U2 на рис. 1.10), с одновременной нормировкой их амплитуды, используется компаратор напряжения (2), порог которого
Uпор устанавливается ниже максимального уровня шумовых выбросов.
Рис. 1.9. Структурная схема приемной части
Рис. 1.10.
Эпюры напряжений в характерных точках приемной части
Прямоугольные граничные импульсы стандартной амплитуды поступают в канальный распределитель (3), где из них и формируются канальные импульсы с первого по восьмой, поступающие далее каждый на свой выход. Схема выделения синхропаузы, используя граничные импульсы, формирует для канального распределителя сигнал начала очередной кодовой посылки.
Канальные импульсы на выходах распределителя (
τк1 -
τк8) имеют такой же вид, что и на рис. 1.7,
а, б и являются универсальными по отношению к исполнительным устройствам. Другими словами, к любому из выходов можно подключать как регулятор хода, так и рулевую машинку. Совместно работающие канальный распределитель и схема выделения синхропаузы называются дешифратором канальных импульсов.
Структурная схема регулятора хода и рулевой машинки
Регулятор хода отличается от рулевой машинки (рис. 1.11) отсутствием механической связи между исполнительным двигателем (6) и потенциометром обратной связи
Roc, определяющим длительность опорных импульсов
τ0.
Рис. 1.11.
Структурная схема исполнительных устройств
Рассмотрим принципы функционирования регулятора хода. Канальный импульс, длительность которого
τк может находиться в пределах 1–2 мс, с выхода распределителя подается на один из входов временного различителя (2). Кроме того, своим передним фронтом он запускает генератор опорного сигнала (1), работающий в ждущем режиме.
Вырабатываемый этим устройством опорный импульс длительностью
τ0 = 1,5 мс подается на второй вход различителя. Последний работает таким образом, что при
τк >
τ0 разностный сигнал Ат появляется на верхнем, по схеме, выходе, а при
τк <
τ0 — соответственно на нижнем. Вид разностного сигнала показан на рис. 1.4,
в.
Пропорционально растянутые с помощью удлинителей (3) или (4) и усиленные по мощности ключевым усилителем (5) импульсы подаются на тяговый двигатель (6). Направление его вращения будет определяться тем, по какому из входов (
а или
б) поступают удлиненные импульсы, а скорость вращения — средним значением их напряжения, определяемым формулой 1.2.
Отличие рулевой машинки заключается в том, что двигатель (6) приводит в действие механизм поворота рулевого устройства и изменяет сопротивление резистора
Rос, связанного с этим устройством. Резистор, в свою очередь, определяет длительность опорных импульсов
τ0, подаваемых на временной различитель.
Обращаю внимание на то, что разностные импульсы на выходе временного различителя теперь будут существовать только в течение короткого промежутка времени, требуемого на поворот рулевого устройства в новое устойчивое положение, при котором длительности канального и опорного импульсов выравниваются. Причем по мере подхода рулевого устройства к новому заданному положению, длительность разностных импульсов, а значит и напряжение
Uср, питающее двигатель, будут уменьшаться.
Поскольку двигателю для вращения даже с минимальной скоростью требуется некоторое пороговое напряжение
Unop, то он остановится при
Uср <
Unop, когда разностный импульс еще не обратиться в нуль.
По этой же причине двигатель не сразу начнет поворачивать рулевое устройство после очередного отклонения ручки управления, а только когда разность
τк —
τ0 станет такой, что соответствующее ей напряжение
Ucp превысит напряжение трогания двигателя.
Это означает, что команда управления рулевым устройством всегда будет выполняться с ошибкой. Ошибку можно уменьшать, с одной стороны, выбирая более качественные исполнительные двигатели с малым напряжением трогания. С другой стороны — повышая коэффициент удлинения разностных импульсов, таким образом, чтобы даже при малой их длительности двигатель получал питающее напряжение значительной величины. Именно так и решается эта задача в практических конструкциях.
Ранее отмечалось, что для приведенных параметров командной посылки коэффициент удлинения (
Ку) в канале регулятора хода выбирается равным примерно 40. Это обеспечивает пропорциональное изменение среднего значения напряжения, подаваемого на тяговый двигатель в пределах 0 —
Uп при изменении разностного импульса в максимальном интервале Δ
τ = 0–0,5 мс.
Для канала рулевой машинки значение
Ку берут в три-пять раз больше, что обеспечивает подачу на двигатель практически всего питающего напряжения в течение большей части переходного процесса перекладки рулевого устройства. И только на завершающем этапе процесса регулирования, когда длительность разностных импульсов уменьшаетсяпримерно до 0,1 мс, питающее напряжение начинает пропорционально зависеть от Δ
τ и уменьшается, обеспечивая плавный подход рулевого устройства к новому положению равновесия.
Если инерционность двигателя велика или
Ку выбран чрезмерно большим, может возникнуть колебательный процесс рулевого устройства вокруг положения равновесия. По этой причине в реальных схемах, как правило, предусматривается возможность регулировки величины коэффициента удлинения. Кроме того, для рулевых машинок следует выбирать малоинерционные двигатели, например с полым ротором из серии ДПР.
Глава 2
ФОРМИРОВАТЕЛИ КОМАНД
Глава посвящена шифраторам — устройствам формирования команд. Основное внимание уделено схемотехнике шифраторов (систем дискретного и пропорционального управления). Каждая схема сопровождается описанием, инструкцией по сборке, настройке и рисунком печатной платы.
2.1. Предварительные замечания
Шифраторы для аппаратуры с частотным кодированием изначально строились на базе генераторов гармонических колебаний [2]. В предыдущей главе отмечалось, что кодовые частоты должны иметь небольшие значения, а это требует применения в колебательных контурах катушек индуктивности значительной величины. В описываемом в [2] генераторе по схеме Колпитца, например для самого низкочастотного канала требуется индуктивность в 0,44 Гн.
Конструктивно ее можно реализовать либо на броневом, либо на кольцевом сердечнике из феррита. Катушка при этом должна содержать 450–500 витков; чтобы их можно было разместить на сердечнике, внешний диаметр кольца должен иметь минимум 16–20 мм. Даже четырехканальный шифратор будет иметь уже значительные размеры.
Кроме того, за счет разброса параметров сердечников невозможно точно реализовать расчетную индуктивность и приходится подбирать число витков для каждой катушки индивидуально, что весьма неудобно при изготовлении. С учетом этих особенностей оказалось более целесообразным выполнять генераторы колебаний прямоугольной формы (меандр) с последующим (при необходимости) сглаживанием фронтов импульсов для сужения ширины спектра. Частотозадающими элементами таких генераторов являются RC-цепи, что существенно снижает их габариты и упрощает подстройку частоты.
Таким образом, все формирователи или шифраторы, как их еще называют, по каким бы схемам они не строились, призваны формировать прямоугольные импульсы, длительность или расстояние между которыми изменяются в процессе управления.
В основе работы большинства устройств, генерирующих прямоугольные импульсы, лежат процессы заряда или разряда конденсатора через некоторое сопротивление. Познакомимся с этими процессами подробнее.
Известно, что если конденсатор емкостью
С подключить к источнику напряжением
U через резистор сопротивлением
R в некоторый момент
t0, то напряжение на конденсаторе будет нарастать во времени
u(
t) по экспоненциальному закону
u(
t) =
U(1 —
е-t/τ). График этой зависимости для
τ =
τ1 изображен на рис. 2.1 (кривая 1).
Рис. 2.1.
Кривые заряда конденсатора
Скорость нарастания экспоненты будет определяться так называемой постоянной времени цепи заряда
τ =
RC (в секундах). Считается, что конденсатор практически полностью зарядится до напряжения питания через время, равное 3
τ.
Схемы генераторов импульсов строятся таким образом, что в момент
t0 с помощью электронного ключа к конденсатору подключается зарядная цепь. Этот момент соответствует началу формирования импульса. Полезно отметить, что ток заряда конденсатора в первый момент времени
t0 максимален и равен величине
U/
R, так как разряженный конденсатор для скачка тока не представляет никакого сопротивления (его можно считать короткозамкнутым). По мере заряда ток убывает по экспоненциальному закону. Нарастающее на конденсаторе напряжение сравнивают с некоторым пороговым напряжением
Uпop. В момент их равенства специальная схема обрывает формируемый импульс.
Таким образом, длительность полученного импульса (рис. 2.1) будет определяться как уровнем порогового напряжения, так и наклоном экспоненты, зависящим от постоянной времени
τ. В целях иллюстрации последнего утверждения кривая
3 построена для
τ3 = 3
τ1. Отметим, что длительность импульса определятся еще и напряжением, от которого заряжается конденсатор.
Кривые
1 и
2 соответствуют одной и той же
τ1, но построены для разных напряжений источника. Длительностью вырабатываемых импульсов можно управлять, изменяя следующие параметры:
♦ напряжение, от которого заряжается конденсатор (
U);
♦ уровень порогового напряжения (
Unop);
♦ постоянную времени цепи заряда
τ =
RC.
В последнем случае несложно реализовать плавное изменение
τ с помощью переменного резистора, что и делается в большинстве конструкций.
Подобно заряду, разряд конденсатора происходит также по экспоненте, только теперь она убывает:
u(
t) =
U∙
е-(t/τ).
Генераторы импульсов могут строиться как на использовании фазы заряда, так и фазы разряда конденсатора.
При любом способе управления длительностью (для обеспечения пропорциональности между варьируемым параметром и длительностью получаемых импульсов) необходимо использовать как можно более линейный участок кривой, т. е. самое начало экспоненты. Так как обычно имеются серьезные аргументы в пользу выбора значительной величины напряжения порога, необходимо использовать либо цепи с большими постоянными времени, либо увеличивать напряжения, питающие зарядно-разрядные цепи.
Последнее достигается применением на стадии формирования импульса режима перезаряда конденсатора. В самом деле, если конденсатор предварительно зарядить до напряжения
U (рис. 2.2,
а), а затем, поменяв местами его выводы, подключить к этому же источнику, то перезаряд будет происходить под действием удвоенного напряжения (рис. 2.2,
б, кривая
2). Изложенные соображения полезно помнить при рассмотрении принципов действия конкретных формирователей, описанных ниже.
Рис. 2.2.
Перезаряд конденсатора: а — заряд, б — перезаряд
И, в заключение, еще об одной функции конденсатора: обладая даже незначительной емкостью, он способен практически без изменения передавать через себя скачки напряжения. Механизм этого явления поясняется рис. 2.3.
Рис. 2.3. Передача конденсатором скачков напряжения
Если к входу изображенной цепи достаточно долго приложено напряжение
U0, то за счет зарядного тока
I конденсатор, через время, равное 3
τ, зарядится до этого напряжения.
Протекание тока через конденсатор и резистор прекратится, и выходное напряжение будет равно нулю. Если теперь входное напряжение скачком увеличится (уменьшится) на величину Δ
U (момент
I,), то возникнет ток, заряжающий конденсатор до нового значения
U0 + Δ
U. В первый момент этот ток максимален и, протекая через резистор
R, создаст на выходе точно такой же скачок напряжения Δ
U (рис. 2.3).
По мере заряда конденсатора ток будет уменьшаться по экспоненциальному закону, по такому же закону уменьшится и выходное напряжение. Процесс закончится, когда конденсатор зарядится до нового значения. Выходное напряжение опять станет равным нулю.
Если в момент
t2 входное напряжение вернется к исходному значению, то конденсатор
С также будет разряжаться до этого значения. Разрядный ток в первый момент будет максимальным и потечет от положительной обкладки конденсатора через внутреннее сопротивление источника входного сигнала (на рисунке не показано) и через резистор
R — снизу вверх на правую обкладку конденсатора. Протекая через резистор
R, ток создаст на нем падение напряжения точно такой же формы, что и в момент
t1, но противоположного знака. Рассмотренную цепь часто называют дифференцирующей, если длительность выходных всплесков напряжения существенно меньше длительности входного импульса.
2.2. Шифраторы для аппаратуры дискретного управления
2.2.1. Четырехканальный шифратор с частотным кодированием на транзисторах
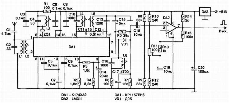
Принципиальная схема
На рис. 2.4 приведен классический вариант автоколебательного мультивибратора на транзисторах. С принципом действия такого устройства можно познакомиться в
разделе 2.3.2. В силу симметрии плеч мультивибратора, последний вырабатывает практически прямоугольные колебания (меандр), частота следования которых определяется переключаемыми резисторами R3—R6 и емкостями конденсаторов С2, С3.
Рис. 2.4. Принципиальная схема шифратора
Для повышения стабильности вырабатываемых частот напряжение питания мультивибратора стабилизировано микросхемой DA1. При указанных на схеме номиналах канальных резисторов обеспечивается генерация частот 0,9; 1,32; 1,61 и 2,4 кГц.
Транзистор VT3 представляет собой электронный ключ, через который в коллекторную цепь включается нагрузка, например задающий генератор передатчика. Амплитуда выходных импульсов +5 В, отдаваемый ток — до 200 мА в импульсе, что необходимо учитывать при «стыковке» шифратора с передатчиками команд.
Детали и конструкция
Транзисторы VT1, VT2 могут быть заменены любыми маломощными обратной проводимости, a VT3 — прямой.
Стабилизатор напряжения заменяется на полный импортный аналог 78L05 или отечественные КР1157ЕН501А(Б), КР1157ЕН5А. Необходимо только учесть, что цоколевка, а в последнем случае и корпус стабилизаторов, отличаются от примененных в схеме.
Частотозадающие конденсаторы С2, С3 лучше взять пленочные, например типа К73-17. Если применяются керамические, то обязательно с низким ТКЕ (температурным коэффициентом емкости), в противном случае возможны непозволительные «уходы» канальных частот.
Возможный вариант печатной платы приведен на рис. 2.5. Показан вид со стороны печатных проводников.
Рис. 2.5.
Рисунок печатной платы
Настройка
Для точной установки частот, вместо соответствующего канального резистора, целесообразно временно включить подстроечный: подобрав частоту, измерить тестером значение его сопротивления и установить постоянный резистор соответствующего номинала. Еще лучше подстроечные резисторы установить прямо на печатную плату, что лишь немного увеличит ее размеры.
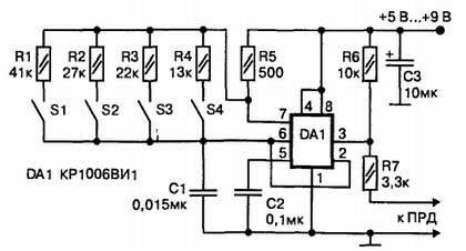
2.2.2. Четырехканальный шифратор с частотным кодированием на таймере КР1006ВИ1
Принципиальная схема
Универсальность микросхемы таймера позволяет построить на ее базе автоколебательный мультивибратор. Принципиальная схема такого устройства приведена на рис. 2.6.
Рис. 2.6. Принципиальная схема шифратора на КР1006ВИ1
Известно, что длительность положительных импульсов на выводе
3 микросхемы определяется, например при замкнутом S1, выражением
τи = 0,685(R1 + R5)C1.
Длительность паузы между ними — формулой
τп = 0.685R1C1.
Если обеспечить условие R5 << R1, то вырабатываемую последовательность можно считать меандром с периодом повторения
Тп =
τи +
τп = 0,685(
R5 + 2
R1)
C.
Очевидно, что частоту колебаний можно менять переключением резисторов R1—R4. На схеме указаны номиналы, обеспечивающие генерацию частот 0,9; 1,32; 1,61 и 2,4 кГц. Точную настройку частоты производят так же, как и в предыдущей схеме.
Конденсатор С1 должен быть пленочным или металлобумажным.
Амплитуда выходных импульсов практически равна напряжению питания. Нагрузку необходимо выбирать так, чтобы выходной ток не превышал 10 мА.
Детали и конструкция
Микросхему можно заменить импортным аналогом — таймером 555 с любым буквенным префиксом (например NE555), несущем информацию лишь о фирме-производителе.
Печатная плата изображена на рис. 2.7 и никаких особенностей не имеет. Контакты
1–5 предназначены для подключения кнопок управления S1—S4.
Рис. 2.7. Печатная плата
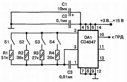
2.2.3. Четырехканальный шифратор с частотным кодированием на микросхеме CD4047
Принципиальная схема
Несложен и шифратор, выполненный на микросхеме CD4047 (отечественный аналог отсутствует). Здесь требуется минимум навесных элементов (рис. 2.8). Микросхема содержит автоколебательный мультивибратор, частота работы которого определяется постоянной времени цепи RC, подключаемой к выводам
1–3.
Рис. 2.8.
Принципиальная схема шифратора на CD4047
Генерируемая последовательность может не иметь скважность [отношение периода следования (повторения) электрических импульсов к их длительности], равную двум, поэтому внутри микросхемы имеется делитель на два, реализованный на синхронном триггере, что обеспечивает на выводе 10 практически идеальный меандр.
Период следования выходных импульсов, с учетом внутреннего делителя и разброса параметров микросхем, определяется выражением
Тп = (2,2–2,31)
RС. Напряжение питания может лежать в пределах 3—15 В, период повторения при этом изменяется не более, чем на 2 %.
Детали и конструкция
Номиналы резисторов указаны для частот 0,9; 1,32; 1,61 и 2,4 кГц. Конденсатор С3 обязательно пленочный или металлобумажный. Точная подгонка осуществляется аналогично описанной в предыдущих вариантах шифраторов. Амплитуда выходных импульсов равна напряжению питания, выходной ток не должен превышать 10 мА. Печатная плата шифратора приведена на рис. 2.9. К контактам
1–8 подключаются кнопки управления S1—S4. При желании количество команд во всех приведенных шифраторах можно увеличить до десяти, дополнив их соответствующими резисторами и кнопками.
Рис. 2.9. Печатная плата
2.2.4. Импульсный шифратор на счетчике К561ИЕ8
Принципиальная схема
Ранее (
раздел 1.2.1) отмечалось, что в импульсных шифраторах информация о номере команды заключена в количестве передаваемых импульсов. В радиолюбительской литературе встречаются различные варианты схемной реализации таких шифраторов. Ниже приводится наиболее компактный вариант, позаимствованный из [3]. Принципиальная схема устройства приведена на рис. 2.10.
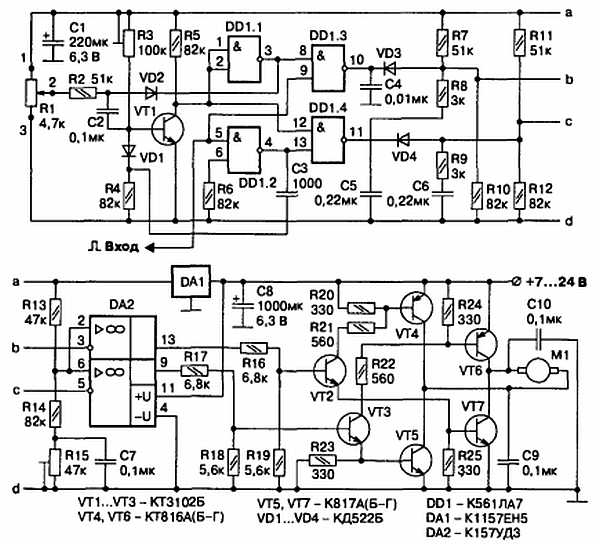
Рис. 2.10. Принципиальная схема импульсного шифратора
Логика работы шифратора предполагает его совместное использование с вариантом дешифратора, описанным в
разделе 6.1.2.
Девятиканальная аппаратура позволяет включать и выключать исполнительные устройства модели в любой последовательности, а также включать некоторые команды на длительное время с возможностью оперирования в это время другими командами. В шифраторе предусмотрена кнопка оперативного сброса дешифратора приемника и выключения ложной команды, если произошло срабатывание дешифратора по случайной помехе.
Передатчиком команд управляет ключевой транзистор VT1, в базу которого подаются импульсы с выхода тактового генератора, собранного на элементах DD1.2 и DD1.3. Генератор вырабатывает импульсы только при наличии на выводе 2 DD1.2 логической единицы.
Схема работает следующим образом. При включении напряжения питания выключателем SA1 короткий положительный импульс с выхода дифференцирующей цепочки C4R3 поступает на вход сброса «R» счетчика DD2, обнуляя его. На выходе «О» счетчика устанавливается уровень логической единицы, на остальных выходах — логические нули (рис. 2.11,
г — ж, интервал времени 0—
t1 на графиках).
Если ни одна из кнопок не нажата, то этот единичный уровень (через нормальнозамкнутые контакты всех кнопок) поступает на вход инвертора DD1.1. На выходе (вывод
11) последнего устанавливается логический нуль, запрещающий работу тактового генератора (рис. 2.11,
а). Электронный ключ VT1 разомкнут, команды не передаются.
При нажатии любой кнопки, например SB3, на вход инвертора DD1.1 подается уровень логического нуля с выхода 3 DD2. На выходе инвертора устанавливается единичный уровень, разрешая работу тактового генератора (момент
t, на рис. 2.11,
а). Положительные импульсы с его выхода начинают поступать на базу электронного ключа, приводя в действие передатчик команд (рис. 2.11,
б). Через инвертор DD1.4 импульсы поступают и на вход счетчика (рис. 2.11,
в). Счет ведется по положительным перепадам этих импульсов, поэтому положительный перепад на выходе
3 DD2 появляется по окончании формирования третьего импульса (рис. 2.11,
ж).
Кнопка SB3 должна удерживаться в нажатом положении до выполнения команды моделью (момент
t3 на рис. 2.11). Поэтому в момент
t2 положительный перепад с выходе
3 DD2, проинвертированный элементом DD1.1, запретит работу тактового генератора. Формирование кодовой посылки из трех импульсов закончится. К моменту отпускания кнопки
t3 на выходе
0 счетчика присутствует логический нуль (рис. 2.11,
г). Следовательно, в этот момент на выводе
2 DD1.2 появится логическая единица, снова разрешив генерацию. Продолжится счет импульсов на выходах DD2 до 10, после чего появившаяся на выходе
0 DD2 логическая единица оборвет генерацию окончательно.
Рис. 2.11. Графики, поясняющие работу шифратора
Количество генерируемых импульсов после отпускания командной кнопки всегда будет дополнять количество командных импульсов до 10. Это необходимо для сброса переданной команды (обнуления аналогичного счетчика) в дешифраторе модели. Начиная с момента
t4 шифратор готов к передаче очередной команды. Период следования импульсов тактового генератора примерно равен 40 мс.
Следовательно, время передачи самой длинной команды из девяти импульсов не будет превышать 0,4 с. В дешифраторе предусмотрена выдержка в 0,5 с, препятствующая прохождению информации с выхода дешифратора в процессе работы счетчика. По истечении этого времени работа счетчика будет гарантированно закончена, и не возникнет неоднозначности в приеме команды.
Кнопка S10 предназначена для общего сброса всех команд и установки счетчика дешифратора в исходное состояние. Для правильного восприятия импульса сброса его длительность должна превышать 0,6 с.
Детали и конструкция
Микросхемы DD1 и DD2 можно заменить импортными аналогами CD4011 и CD4017 соответственно. Транзистор VT1 — любой маломощный обратной проводимости. Времязадающий конденсатор С2 должен быть пленочным, остальные — любых типов.
Печатная плата шифратора приведена на рис. 2.12 и никаких особенностей не имеет.
Рис. 2.12. Печатная плата импульсного шифратора
Настройка
Настройка заключается в установке периода следования импульсов задающего генератора. Для этой цели вход элемента DD1.1 временно отключают от кнопки SB9 и соединяют с корпусом. Генератор в этом случае работает в непрерывном режиме. Подключив осциллограф к выводу 4 DD1.3, подбором сопротивления R1 устанавливают период равным 40 мс.
При желании можно существенно увеличить темп передачи команд, уменьшив пропорционально величину постоянной времени R1C2. Такое изменение обязательно нужно будет учесть при настройке параметров дешифратора.
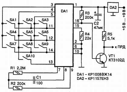
2.2.5. Импульсный шифратор на микросхеме КР1008ВЖ14
Принципиальная схема
Если не нужна высокая оперативность передачи команд, десятиканальный шифратор можно реализовать на специализированной микросхеме телефонного номеронабирателя. Выпускается достаточно широкий ассортимент как отечественных, так и импортных микросхем для телефонных аппаратов. Отличительной особенностью таких микросхем является низкое напряжение питания и малый ток потребления. Для используемого экземпляра это 1,5–4,5 В и 150 мкА соответственно.
Принципиальная схема шифратора (рис. 2.13) практически полностью повторяет стандартную схему включения.
Рис. 2.13. Шифратор на КР1008ВЖ14
Обычно частота следования выходных импульсов микросхем не превышает 10 Гц. Изменением номиналов частотозадающих элементов R2, С1, по сравнению с рекомендуемыми, автору удалось повысить частоту лишь в три раза. Дальнейшее уменьшение постоянной времени приводит к завалу фронтов импульсов тактового генератора (вывод
9 DA1) и, как следствие, к уменьшению их амплитуды. Большая инерционность микросхемы, очевидно, является платой за малую мощность потребления.
На выходе электронного ключа VT1 при нажатии на какую либо из командных кнопок появляется соответствующее количество прямоугольных импульсов амплитудой 5 В.
Детали и конструкция
Микросхему DA1 можно поменять на КР1008ВЖ10,11 с любым цифровым индексом в конце обозначения с соответствующей корректировкой печатной платы. Подойдут на тех же условиях импортные аналоги WE9192B, KS5805A, KS5851 и т. п. Транзистор VT1 может быть любым маломощным структуры
n-р-n. Стабилизатор напряжения DA2 на 3 В заменяется любым импортным аналогом, например 78L03. В качестве командных кнопок SA1—SA10 удобно использовать стандартную клавиатуру от телефонных аппаратов. В этом случае SA10 на клавиатуре соответствует кнопка «0».
Печатная плата выполнена из одностороннего стеклотекстолита. Ее топология приведена на рис. 2.14.
Рис. 2.14.
Печатная плата
2.2.6. Кодово-импульсный шифратор
Принцип действия
Основное преимущество кодово-импульсной модуляции перед импульсной заключается в существенно большем числе передаваемых команд при том же количестве импульсов в кодовой посылке. Если в только что рассмотренном шифраторе десятью импульсами можно передать лишь десять разных команд, то при использовании десятипозиционного двоичного кода — 2
10 = 1024 команды.
Такой тип кодирования широко используется в различных системах охранной сигнализации, для которых выпускаются специализированные микросхемы кодеров и декодеров. Часто одна и та же микросхема выполняет обе эти функции и называется кодеком.
Как правило, в них заложена возможность генерации сотен тысяч кодов, но программирование конкретного варианта производится однократно, и оперативная перестройка не предусматривается. Это затрудняет их использование в качестве многоканальных шифраторов, да и такое количество кодов при дистанционном управлении не требуется.
Кроме того, пульты управления моделями не настолько миниатюрны, чтобы отказаться от построения шифраторов на более доступных универсальных цифровых микросхемах. Именно такой вариант исполнения шифратора и рассмотрен ниже.
Принципиальная схема
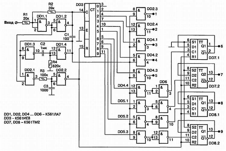
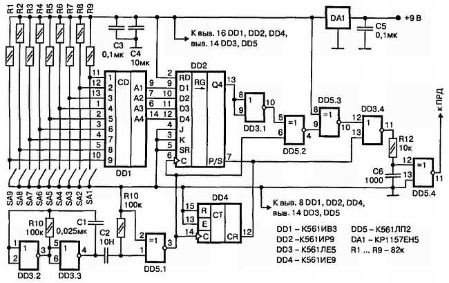
Принципиальная схема девятиканального шифратора приведена на рис. 2.15.
Рис. 2.15. Принципиальная схема импульсно-кодового шифратора
Логика функционирования и технические характеристики устройства предполагают его использование совместно с дешифратором, описанным в
разделе 6.1.3.
Рассмотрим принцип действия шифратора. Заявленное количество каналов требует использования четырехразрядного двоичного кода. Принцип формирования модифицированной кодовой посылки проиллюстрирован ранее (рис. 1.2). Из рисунка видно, что вначале необходимо сформировать последовательность тактовых импульсов, расстояние между которыми будет определять интервал времени, отводимый на передачу одного разряда двоичного числа.
Эта задача решается с помощью тактового генератора, представляющего собой автоколебательный мультивибратор, реализованный на элементах DD3.2, DD3.3. Величина разрядного интервала
τр определяется постоянной времени R10, С1 и выбрана равной 5 мс.
Как известно, мультивибратор на логических элементах вырабатывает последовательность прямоугольных импульсов, близкую по форме к меандру. Для формирования узких тактовых импульсов последовательность пропускается через укорачивающее устройство, реализованное на базе дифференцирующей цепи С2, R11 и элемента DD5.1.
Принцип укорачивания импульсов иллюстрирует рис. 2.16, на котором приведены результаты моделирования узла с помощью программы Micro-Cap 8.
Рис. 2.16. Эпюры напряжений в характерных точках тактового генератора:
a — импульсы на выходе мультивибратора (вывод 4 DD3.3); б — импульсы на выходе дифференцирующей цепи (вывод 1 DD5.1); в — выходные импульсы формирователя
Величина, обозначенная как
Uср, представляет собой напряжение срабатывания логического элемента DD5.1 и для микросхем КМОП соответствует примерно половине напряжения питания (2,5 В). Постоянная времени дифференцирующей цепи выбрана так, чтобы длительность выходных импульсов (
τв) была равна 0,5 мс.
Двоичное число, представляющее код команды, формируется на выходах А1—А4 шифратора DD1 при нажатии одной из командных кнопок SA1—SA9. Это число подается на входы параллельной записи D1—D4 регистра DD2. Запись числа в регистр производится при наличии высокого потенциала на переключающем входе «Р/S» микросхемы. При подаче на этот вход низкого потенциала производится последовательный вывод разрядов двоичного числа (через выход «Q3» регистра) по передним фронтам тактовых импульсов, подаваемых на вход «С» микросхемы. Для полного вывода числа, очевидно, требуется четыре тактовых импульса.
Управление переключением режимов параллельной записи и последовательного вывода производится с помощью служебных импульсов, вырабатываемых счетчиком DD4 из тактовой последовательности, подаваемой на его вход «С». Счетчик в течение четырех тактов обеспечивает на своем выходе
12 высокий потенциал, необходимый для режима записи, а в течение следующих четырех — низкий переключающий регистр в режим последовательного вывода.
Элементы DD3.1, DD5.2, DD5.3 и DD3.4 обеспечивают формирование модифицированной кодовой посылки в форме, изображенной на рис. 1.2,
в. Читатели, желающие разобраться с процедурой формирования подробней, могут получить графики сигналов в характерных точках, моделируя работу шифратора в упомянутой выше программе.
Интегрирующая цепь R12-C6, совместно с элементом DD5.4 устраняет короткие всплески («иголки») в начале и конце формируемых импульсов, возникающие из-за неточного временного совпадения импульсов на входах логических элементов. При отсутствии такой цепи на приемной стороне возникали бы ошибки при дешифрации команд.
Детали и конструкция
Указанные на схеме цифровые элементы могут быть заменены импортными аналогами:
♦ КР1564ИВЗ — 74НС147;
♦ К561ИР9 — CD4035B;
♦ К561ИЕ9 — CD4022;
♦ К561ЛЕ5 — CD4001;
♦ К561ЛП2 — CD4030.
Конденсаторы С1 и С2 должны быть пленочными или металлобумажными, например К73-17.
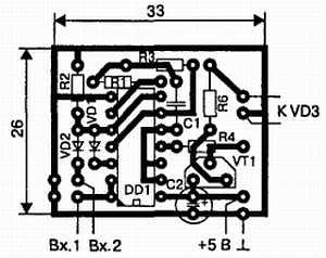
Печатная плата устройства приведена на рис. 2.17.
Рис. 2.17. Печатная плата шифратора
Настройка
Настройка устройства заключается в установке периода следования импульсов на выводе
4 элемента DD3.3 равным 5 мс (контролируется на экране осциллографа). Для этого подбирается величина резистора R10. Далее щуп осциллографа переносят на вывод
3 DD5.1, и подбором величины резистора R11 устанавливают длительность тактовых импульсов равной 0,5 мс.
При исправных деталях и аккуратном монтаже на выходе шифратора должна наблюдаться картина, аналогичная изображенной на рис. 1.2,
в. Двоичное число (младший разряд справа) соответствует номеру нажатой командной кнопки. Кодовая посылка будет повторяться с периодом 40 мс все время, пока будет нажата командная кнопка. Если ни одна из кнопок не нажата, при включенном питании шифратор все время вырабатывает кодовую комбинацию 0000.
2.2.7. Шифратор на специализированной микросхеме
Принципиальная схема
Фирма «Pericon Technology inc.» выпускает комплект микросхем РТ8А977В и РТ8А978В, представляющих собой пару «кодер — декодер» для дискретного дистанционного управления.
Комплект позволяет поочередно или параллельно передавать до пяти различных команд, чего вполне достаточно для управления большинством моделей. На рис. 2.18 приведена типовая схема включения кодера в качестве дискретного шифратора.
Рис. 2.18. Принципиальна» схема шифратора на РТ8А977ВР
Микросхема содержит тактовый генератор, частота которого определяется величиной резистора R1 (в рассматриваемой схеме равна 128 кГц). При отжатых кнопках схема находится в дежурном режиме и потребляет очень малый ток (около 5 мкА). При передаче команды (кнопки SB1—SB5) ток возрастает до 100 мкА, и на выходе «SО» формируется кодово-импульсная посылка, готовая для подачи на вход модулятора.
При использовании ИК-передатчика (передатчика, работающего в инфракрасном диапазоне) используется выход «SC», на котором кодовые импульсы заполняются поднесущей частотой, что необходимо для нормальной работы ИК-приемника. Частота заполнения равна половине тактовой. При желании ее можно довести до 30 кГц подбором резистора R1. На выходе «РС» на все время передачи команды появляется единичный уровень напряжения, что можно использовать для включения питания передатчика.
Детали и конструкция
Печатная плата достаточно проста и поэтому здесь не приводится.
2.3. Шифраторы для аппаратуры пропорционального управления
2.3.1. Простой шифратор на транзисторах
Принципиальная схема
В
разделе 1.2.2 отмечались недостатки двухканального шифратора, выполненного на базе автоколебательного мультивибратора. Однако в целом ряде случаев (например для простейших моделей-игрушек) взаимной связью между каналами можно пренебречь. Если модель находится в поле зрения оператора, то несложно отработать поправку на эту связь в процессе управления. Положительным же качеством такого шифратора является его простота.
Принципиальная схема шифратора приведена на рис. 2.19.
Рис. 2.19. Принципиальная схема шифратора
Он реализован на транзисторах VT1,VT2 по схеме автоколебательного мультивибратора с коллекторно-базовыми связями.
Транзистор VT3 играет роль электронного ключа, с помощью которого можно управлять работой передатчика (ПРД). В открытом состоянии транзистора сопротивление между точкой 1 и корпусом не превышает 30–50 Ом.
Если используется передатчик с частотной модуляцией, то между точкой «1» и плюсом источника необходимо включить резистор сопротивлением 3–5 кОм. Импульсы с выхода VT3 в этом случае необходимо подавать на варикап задающего генератора ПРД. Транзистор VT3 помимо функции электронного ключа выполняет еще и роль развязывающего устройства, исключающего влияние подключаемого к его коллекторной цепи каскада на параметры вырабатываемых импульсов.
Детали и конструкция
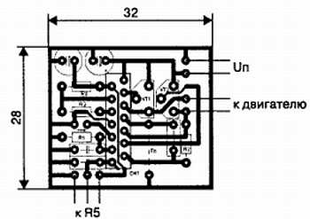
Печатная плата шифратора выполняется из одностороннего стеклотекстолита и никаких особенностей не имеет. Ее чертеж со стороны печатных проводников приведен на рис. 2.20.
Рис. 2.20. Печатная плата шифратора
Потенциометры R2 и R6, механически связанные с ручками управления, располагаются за пределами платы и соединяются с ней шестью проводниками. Для обеспечения большого срока службы эти потенциометры желательно выбрать с высокой степенью износостойкости, например типа СП4-1, СПЗ-33-32 (25000 циклов) или еще лучше РП1-46д (100000 циклов).
Транзисторы подойдут КТ315 либо КТ3102 с любым буквенным индексом. Времязадающие конденсаторы С1 и С2 должны иметь низкий ТКЕ, лучше всего использовать пленочные типа К73-16 или аналогичные. Конденсатор С3 должен быть керамическим, например типа КМ6. В качестве DA1 можно использовать любой малогабаритный стабилизатор напряжения на 5–6 В.
Постоянные резисторы — любого типа.
Настройка
Настройка сводится к установке требуемых исходных длительностей положительных и отрицательных импульсов на коллекторе транзистора VT2 и пределов их изменения при отклонении ручек управления. Без осциллографа здесь не обойтись. Его щуп подключается к коллектору транзистора VT2. Выше отмечалось, что длительности импульсов определяются как величиной базовых резисторов R3, R4, так и текущими напряжениями на движках потенциометров. Существенной является еще и емкость конденсаторов С1 и С2, однако их номиналы процессе настройки менять нецелесообразно.
Можно начать с длительности положительных импульсов. Для ее регулировки вместо резистора R4 с помощью коротких проводников временно подпаиваются последовательно соединенные потенциометр и постоянный резистор номиналами 100 кОм и 82 кОм, соответственно. Вместо R1 — потенциометр на 6,8—10 кОм.
Движок потенциометра R2 устанавливается в нижнее (по схеме) положение.
Рекомендуется затем повернуть его обратно на 5—72°, так как в крайних положениях контакт ползунка с токоведущим слоем не всегда надежен. Закрепить на оси потенциометра ручку управления таким образом, чтобы ее положение соответствовало максимальному рабочему углу отклонения.
Вращением вспомогательного потенциометра (100 кОм) установить длительность положительного импульса равной 2 мс.
Ручку управления перевести в другое крайнее положение (обычно полный угол поворота выбирается 60–90°), длительность импульса должна уменьшиться.
С помощью потенциометра, замещающего резистор R1, установить длительность импульса равной 1 мс. Вернуть ручку управления в первоначальное положение. Если длительность импульса стала существенно отличаться от 2 мс, скорректировать ее потенциометром базовой цепи. Установить заново ручку управления в положение минимальной длительности и, при необходимости, подстроить ее до 1 мс эквивалентом R1.
Необходимо добиться изменения длительности импульса в пределах 1–2 мс, неоднократно проделав вышеописанные манипуляции. Далее тестером измеряются текущие значения сопротивлений вспомогательных потенциометров, и на их место припаиваются ближайшие по номиналу постоянные резисторы. Следует убедиться, что в среднем положении ручки управления длительность импульса соответствует исходному значению —1,5 мс.
Аналогично устанавливаются границы изменения длительности отрицательного импульса, с той лишь разницей, что используются резисторы R3, R5 и потенциометр R6.
Временно включив между выходом шифратора (коллектор VT3) и плюсом источника питания резистор номиналом 1–3 кОм, необходимо убедиться (с помощью осциллографа) в наличии на выходе проинвертированных импульсов амплитудой, примерно равной напряжению источника питания. Отсутствовать они могут только при неисправности транзистора VT3 или ошибках, допущенных во время монтажа.
В заключение можно отметить, что ток, потребляемый шифратором от стабилизатора напряжения, не превышает 3,5 мА.
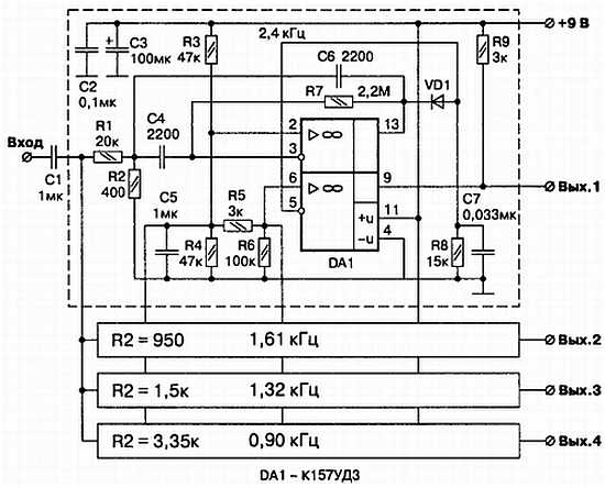
2.3.2. Двухканальный формирователь на таймере КР1006ВИ1
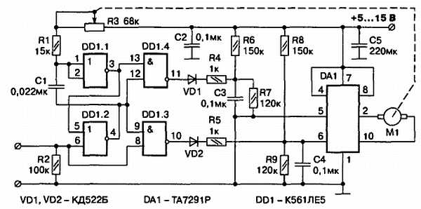
Принцип действия
При рассмотрении общих принципов пропорционального управления отмечалось, что в простейших устройствах на базе мультивибраторов взаимное влияние каналов весьма существенно. Было показано, что введение асимметрии между канальными импульсами улучшает ситуацию. Можно, кроме того, оставлять исходные длительности одинаковыми, но увеличивать их абсолютные значения. При этом будет расти период повторения (безболезненно его можно увеличивать до 20 мс) и уменьшаться относительное влияние каналов. Имеется в виду, что максимальное значение Δ
τ в каждом канале остается при этом неизменным и равным 0,5 мс.
Увеличение периода повторения, помимо положительного эффекта, все же усложняет задачу построения канальных удлинителей импульсов в приемной части аппаратуры. В предлагаемой конструкции применен компромиссный вариант с увеличением периода повторения до 10 мс за счет использования асимметричных канальных импульсов (рис. 2.21) с параметрами:
τ1о = 1,5 мс;
τ2о = 8,5 мс;
Тпо = 10 мс;
Δ
τ = ±0,5 мс.
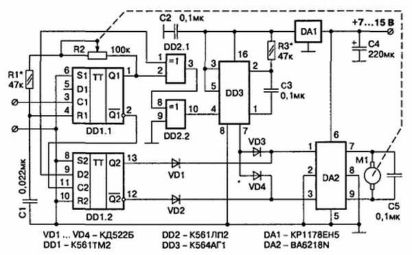
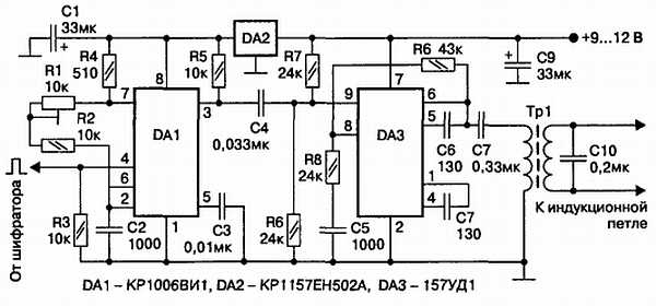
Формирователь построен на базе таймера КР1006ВИ1 по схеме автоколебательного мультивибратора с раздельной регулировкой длительностей положительного и отрицательного импульсов.
Рис. 2.21. Асиметричные канальные импульсы
Принципиальная схема
Принципиальная схема формирователя приведена на рис. 2.22.
Рис. 2.22. Принципиальная схема формирователя
Длительность положительных импульсов определяется постоянной времени заряда конденсатора С1 через диод VD1 и регулируется в пределах
τ1 = 1–2 мс переменным резистором R2, связанным механически с ручкой управления моделью. По окончании стадии формирования импульса конденсатор разряжается через открывающийся ключевой транзистор микросхемы, коллектор которого соединен с выводом
7.
Длительность отрицательного импульса, формируемого при этом на выходе микросхемы (вывод
3), устанавливается в пределах 8–9 мс переменным резистором R4, также связанным с ручкой управления. Резисторы R1, R3 служат для подгонки границ диапазонов изменения длительностей командных импульсов.
Вывод
5 микросхемы является входом электронной регулировки длительностей импульсов, в данной схеме не используется и зашунтирован конденсатором С2 для исключения «дребезга» фронтов вырабатываемых импульсов. Микросхема питается через стабилизатор напряжения DA2 для устранения влияния разряда батареи на параметры вырабатываемых команд.
Командные импульсы (рис. 2.21) через развязывающий резистор R7 подаются в канал связи с управляемым объектом, их амплитуда (на выводе 3) практически равна напряжению источника питания. При необходимости импульсы можно сделать одинаковыми, уменьшив величину R3 до 1 кОм и превратив, тем самым, мультивибратор в симметричный.
Детали и конструкция
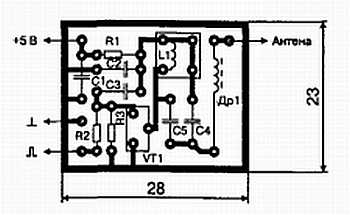
Печатная плата формирователя изображена на рис. 223.
Рис. 2.23. Фрагмент печатной платы передатчика
При практической реализации какого-либо варианта аппаратуры в целом, плату формирователя целесообразно выполнить фрагментом общей печатной платы передатчика. Переменные резисторы R2, R4 закрепляются на плате в горизонтальном положении с помощью хомутиков, охватывающих втулки, через которые выходят оси потенциометров, и проводников, соединяющих выводы резисторов с соответствующими отверстиями на плате.
Овальные отверстия в плате предназначены для вывода рычагов управления, закрепляемых на осях потенциометров.
Габаритные размеры рассчитаны на установку потенциометров типа СП4-1, имеющих высокую износостойкость (25000 циклов). Возможно применение и других типов с соответствующей коррекцией размеров печатной платы, важно лишь, чтобы потенциометры были группы А, обеспечивающей линейную зависимость величины сопротивления от угла поворота.
Внимание! Речь идет о потенциометрах отечественного производства: у импортных аналогичная характеристика обозначается литерой В. Более того, нередко встречаются китайские изделия, у которых реальная зависимость не соответствует заявленной!
Времязадающий конденсатор С1 должен быть обязательно пленочным, например К73-17. Диоды VD1, VD2 — типа КД521Б или аналогичные. Микросхема DA1 — типа КР1006ВИ1, может быть заменена импортным аналогом — таймером 555 производства любой фирмы (например LM555).
Настройка
Настройка заключается в установке исходных значений длительностей командных импульсов и диапазонов их изменения.
После проверки правильности монтажа необходимо подать питание на устройство и проверить наличие +5 В на выходе стабилизатора DA2. Затем подключают осциллограф к выходу формирователя (правый по схеме вывод резистора R7). Регулировками осциллографа добиваются на экране изображения одного-двух периодов командных импульсов (рис. 2.21).
Поворотом оси потенциометра R2 необходимо установить длительность
τ1о = 1.5 мс. Закрепить рычаг управления на оси потенциометра в вертикальном положении. Отклоняя его на ±30°, убедиться, что длительность меняется на ±0,5 мс. Если диапазон изменения меньше указанного, следует немного уменьшить номинал резистора R1, и потенциометром R2 вновь установить исходные 1,5 мс. Рычаг управления на оси закрепить в новом положении, соответствующем исходной длительности. Вновь проверить диапазон изменения и т. д.
Аналогично устанавливаются параметры второго командного импульса, с тем лишь отличием, что исходная длительность должна быть равна
τ2о = 8,5 мс (по-прежнему Δ
τ = ±0,5 мс).
Точную настройку крайних значений длительностей командных импульсов можно осуществить подбором размеров отверстий в плате, через которые проходят ручки управления, т. е. изменением диапазона отклонения рычагов управления.
2.3.3. Двухканальный шифратор на микросхеме К564АГ1
Принципиальная схема
Шифратор, полностью аналогичный предыдущему по характеристикам, можно собрать на микросхеме К561АГ1, содержащей в себе два ждущих мультивибратора с входами перезапуска [4]. Последнее обстоятельство позволяет реализовать автоколебательный мультивибратор с раздельной регулировкой длительностей положительных и отрицательных импульсов.
Принципиальная схема шифратора в этом случае будет иметь вид, приведенный на рис. 2.24. Схема отличается от предыдущей меньшим количеством деталей.
Рис. 2.24.
Принципиальная схема шифратора на К564АГ1
Длительность положительных импульсов на выводе
10 микросхемы определяется выражением
τ
+ ~= 0,5(R1 + R2)·C1.
Длительность отрицательных — параметрами аналогичной цепочки (R3 + R4, С2. Поскольку для каждогоимпульса необходимо обеспечить одновременно и требуемую исходную длительность (τ
+ = 1,5 мс; τ
- = 8,5 мс), и заданную величину ее изменения Δ
τ = ±0,5 мс, для удобства настройки в каждом плече мультивибратора использовано по два потенциометра.
Стабилизатор напряжения DA1 призван исключить изменение параметров вырабатываемых импульсов при разряде батареи.
Впрочем, даже исключение DA1 из схемы приведет к отклонению параметров не более чем на 2 %. Если управляемым элементом передатчика команд служит варикап (при ЧМ-модуляции), то ключевой каскад на транзисторе VT1 можно исключить, используя импульсы непосредственно с вывода 10 микросхемы.
Амплитуда импульсов при этом равна напряжению на выходе стабилизатора. Подавать модулирующие импульсы на варикап следует через развязывающий резистор величиной 100–150 кОм. При желании, мультивибратор можно сделать симметричным, установив в обоих плечах одинаковые потенциометры.
Детали и конструкция
Печатная плата, как и в предыдущем случае, может быть общей с передатчиком. Для автономного варианта исполнения шифратора ее внешний вид изображен на рис. 2.25. Перемычка П1 устанавливается со стороны расположения деталей перед впаиванием микросхемы DD1.
Рис. 2.25. Печатная плата
Транзистор
VT1 может быть любого типа
n-р-n проводимости. Электролитический конденсатор С3 — рабочим напряжением не менее 6 В.
Подстроечные резисторы R1, R3 можно использовать типа СПЗ-38б или РП1-63М6. Стабилизатор напряжения DA1 может быть любым из серии малогабаритных на выходное напряжение 5 В. Времязадающие конденсаторы С1 и С2, от стабильности которых зависит стабильность длительности вырабатываемых импульсов, лучше всего применить пленочные, типа К.73–17. Можно использовать и бумажные (МБМ), но придется несколько увеличить расстояния между отверстиями на плате для их установки.
Настройка
Настройка шифратора полностью аналогична предыдущему варианту. Потенциометры R1, R3 после настройки можно заменить постоянными резисторами.
2.3.4. Шифратор на транзисторах со стабилизацией периода повторения
Принципиальная схема
Ранее отмечалось, что исключить взаимное влияние каналов можно лишь стабилизировав период повторения канальных импульсов. В таких схемах командные импульсы формируются ждущими мультивибраторами, а их запуск осуществляется импульсами тактового генератора, который и определяет период повторения.
На рис. 2.26 приведена схема, в которой реализованы упомянутые моменты. Пунктиром обведена часть схемы, обеспечивающая двухканальное управление.
Рис. 2.26. Принципиальная схема шифратора
Период повторения командной посылки
Тп выбран равным 10 мс, длительности канальных импульсов в нейтральном положении ручек управления τ
0 = 1,5 мс, диапазон изменения канальных импульсов Δ
τ = ± 0,5 мс.
Выходные импульсы имеют положительную полярность и амплитуду
U = 5 В. При необходимости количество каналов можно увеличивать вплоть до восьми, подключая дополнительные секции к правой части схемы. Период повторения при этом необходимо увеличить до 20 мс.
Принцип действия
Рассмотрим работу составных частей схемы. На транзисторах VT1, VT2 и элементах, их окружающих, собран тактовый генератор. Он формирует короткие положительные импульсы, следующие с требуемым периодом повторения
Тп. Импульсы снимаются с катода диода VD3 и поступают на запуск ждущего мультивибратора первого канального импульса.
Тактовый генератор работает следующим образом. При подаче питающего напряжения начинает заряжаться конденсатор С2 (от положительной клеммы источника питания, через резистор R3 и участок «база-эмиттер» транзистора VT1 на корпус). Ток заряда в первый момент максимален и создает на базе транзистора напряжение около 1 В.
На рис. 2.27,
а хорошо видно, что этого напряжения достаточно для поддержания транзистора в открытом состоянии, так как оно превышает
Uбо (напряжение отпирания транзистора). Величина зарядного тока в первый момент равна
Uпит/
(R3 + сопротивление участка «база-эмиттер») и достаточна для перевода транзистора в режим насыщения. Напряжение на его коллекторе, как следствие, практически равно нулю (рис. 2.27,
в).
К коллектору подключена база транзистора VT2, который в результате надежно заперт. Ток через него не течет, и поэтому напряжение на резисторе R4, оно же U
э2, практически равно нулю (рис. 2.27,
г).
Напряжение на конденсаторе С2 нарастает по экспоненте (рис. 2.27,
а), так как постоянная времени заряда τ
3 ~= R3C2 невелика. Ток заряда, наоборот, уменьшается, вызывая уменьшение напряжения на базе транзистора VT1 (рис. 2.27,
б). В момент времени
t1 это напряжение достигает напряжения запирания
Uбо, и начинается лавинообразный процесс «опрокидывания» схемы.
Рис. 2.27. Эпюры в характерных точках тактового генератора
Обратим внимание на то, что конденсатор С2 к этому моменту зарядился до напряжения, близкого к напряжению источника питания (в рассматриваемом примере это примерно 4,2 В, как видно из рис. 2.27,
а) таким образом, что на его правой обкладке образовался положительный потенциал. Как только VT1 начинает запираться, напряжение на его коллекторе, а значит и на базе VT2, начинает расти (рис. 2.27,
в), приводя к отпиранию транзистора VT2 и, как следствие, к уменьшению напряжения на его коллекторе.
Это скачкообразное уменьшение передается через конденсатор С2 на базу транзистора VT1, еще сильнее снижая напряжение на ней, что вызывает еще больший рост напряжения на его коллекторе и т. д. Процесс сам себя «подталкивает», т. е. развивается лавинообразно. Заканчивается он тем, что транзистор VT2 полностью открывается, a VT1 — закрывается. Сопротивлением участка «коллектор-эмиттер» открытого VT2 можно пренебречь.
Через транзистор протекает ток и создает на резисторе R4 напряжение порядка 3,3 В (рис. 2.27,
г). Заметим, что его величина определяется соотношением сопротивлений резисторов R3 и R4. Можно считать, что правая обкладка конденсатора С2 через открытый VT2 подключена к верхнему выводу резистора R4. Отрицательно заряженная левая обкладка конденсатора подключена к базе VT1. Таким образом между базой VT1 и корпусом оказываются последовательно включенными два напряжения: отрицательное с конденсатора С2 (4,2 В) и положительное с резистора R4 (3,3 В).
Результирующее напряжение на базе VT1 в момент
t1 очевидно будет отрицательным и имеет величину
U1 = -4,2 + 3,3 = -0,9 В (см. рис. 2.27,
б). Это напряжение надежно удерживает транзистор VT1 в запертом состоянии, а большое напряжение на его коллекторе — транзистор VT2 в открытом состоянии.
Конденсатор С2 начинает разряжаться через полностью открытый VT2 и резистор R2. Напряжение на нем уменьшается, как следствие, напряжение на базе VT1 растет (интервал
t1 — t2 на рис. 2.26,
а, б). Все это время через резистор R4 протекает ток, обеспечивая формирование на нем положительного импульса (рис. 2.27,
г). Процесс прекратится, как только напряжение на базе VT1 достигнет величины
Uбо (момент
t2 на графиках).
Транзистор VT1 начнет открываться, что приведет к уменьшению напряжения на его коллекторе и на базе VT2. Последний начнет закрываться, скачок напряжения на его коллекторе через конденсатор С2 передастся на базу VT1, еще сильнее его открывая, и т. д. Произойдет лавинообразное опрокидывание схемы в исходное состояние, начнется заряд конденсатора С2, и все повториться сначала. Поскольку транзистор VT2 окажется запертым, станет равным нулю и напряжение на резисторе R4 (рис. 2.27,
г).
Период повторения импульсов представляет собой сумму длительностей положительного и отрицательного выходных импульсов. На длительность отрицательной фазы влияет только постоянная времени цепи заряда конденсатора С2 и величина напряжения
Uбо. Это напряжение для большинства маломощных транзисторов примерно одинаково и составляет величину 0,6–0,8 В для кремниевых транзисторов и 0,4–0,5 В для германиевых.
Отсюда возможности по управлению длительностью: изменением величины С2 либо R3. Необходимо иметь в виду, что увеличение R3 будет одновременно уменьшать амплитуду выходных импульсов, снимаемых с R4, так что здесь возможности невелики. Длительность будет зависеть и от напряжения питания каскада, что, скорее, можно отнести к недостатку схемы.
Длительность положительной фазы, как это видно из рис. 2.27,
б, зависит величины
U1, и от скорости разряда конденсатора С2 через резистор R2.
U1, в свою очередь, можно изменять, меняя соотношение сопротивлений R3 и R4, что, очевидно, будет влиять и на амплитуду выходных импульсов. Последнее нежелательно. Удобнее изменять постоянную времени цепи разряда конденсатора с помощью R2, что и предусмотрено в схеме.
Импульсы с эмиттера VT2 подаются на дифференцирующую цепь С4—R6, на выходе которой формируются два коротких всплеска, соответствующих переднему и заднему фронтам положительного импульса (рис. 2.27,
д). Отрицательные всплески срезаются диодом VD3, а положительные, расстояние между которыми равно периоду повторения, подаются на запуск ждущего мультивибратора первого канала. Ждущий мультивибратор собран на транзисторах VT3, VT4.
Полностью аналогичен ему мультивибратор второго канала, который будет запускаться задним фронтом первого канального импульса. В качестве манипулятора в устройте использован стандартный компьютерный джойстик типа F-102, в котором сделаны небольшие доработки. Джойстик содержит два потенциометра по 100 кОм.
К каждому из них припаиваются по четыре резистора (рис. 2.26) для обеспечения требуемого диапазона изменения длительностей импульсов при отклонении ручки джойстика в крайние положения. Отклонения ручки вперед — назад изменяют скорость и направление вращения тягового двигателя модели, а поперечные отклонения — соответственно угол поворота рулевого устройства.
Джойстик подключается к командоаппарату через штатный разъем, ответная часть которого распаяна на соединители X1.1 и X1.2. Естественно органы управления можно оформить любым другим, удобным для моделиста способом. Полезно при этом сохранить номиналы резисторов манипуляторов.
Запуск мультивибратора происходит положительными импульсами, подаваемыми на базу транзистора VT4. Исходное состояние схемы, предшествующее подаче синхроимпульса, таково (интервал
0—t1 на рис. 2.28). Транзистор VT3 открыт и насыщен за счет подачи на его базу положительного смещения от источника питания через подстроечный резистор R7. Напряжение это несколько превышает напряжение отпирания
Uбо (рис. 2.28,
б).
Потенциал коллектора при этом очень невелик (рис. 2.28,
в). Часть этого потенциала передается на базу транзистора VT4 через резистор R9 и она существенно ниже напряжения отпирания (рис. 2.28,
д). Как следствие, транзистор заперт, и напряжение на его коллекторе равно напряжению питания (рис. 2.28,
е).
Правая обкладка конденсатора С5 имеет потенциал базы транзистора VT3, что составляет примерно 0,8 В. Левая обкладка через контакт
2 разъема X1.1 подключена к движку потенциометра, находящегося в джойстике, и ее потенциал определяется текущим положением движка. В рассматриваемом примере это примерно 2,6 В. Таким образом, конденсатор во время предыдущего продолжительного промежутка времени был заряжен до напряжения
UcS = 2,6–0,8 = 1,8 В (рис. 2.28,
г). Схема находится в устойчивом состоянии.
В момент времени
t1 короткий положительный импульс с выхода дифференцирующей цепи через диод VD3 поступает на базу VT4 (рис. 2.28,
а). Начинается лавинообразный процесс опрокидывания схемы. Действительно, этот импульс, превысив порог
Uбо, вызывает первоначальное отпирание VT4. Напряжение на его коллекторе скачкообразно уменьшается. Этот отрицательный скачок напряжения через диод VD2 и конденсатор С5 передается на базу VT3, обеспечивая начало его запирания.
Увеличивающееся на коллекторе напряжение через резистор R9 попадает на базу VT4, открывая последний, и т. д. В результате транзистор VT4 оказывается открытым. Через малое сопротивление участка «коллектор-эмиттер» этого транзистора и диод VD2 левая обкладка (положительно заряженная) конденсатора С5 подключается к корпусу. К базе VT3 по-прежнему остается подключенной отрицательно заряженная обкладка этого конденсатора, что надежно запирает транзистор (рис. 2.28,
б), обеспечивая на его коллекторе высокий потенциал, часть которого, будучи приложенной к базе VT4, надежно удерживает его в открытом состоянии (рис. 2.28,
д).
Напряжение на выходе схемы практически равно нулю (рис. 2.28,
в). Далее начинается стадия формирования первого канального импульса. Конденсатор С5 перезаряжается по цепи: плюс источника питания, резистор R7, диод VD2 и открытый транзистор VT4. Напряжение на нем уменьшается и, как следствие, повышается потенциал базы VT3 (интервал
t1 — t
2 на рис. 2.28,
б). Когда конденсатор перезарядится до такой степени, что результирующее напряжение на базе достигнет величины
Uбо (момент
t2), транзистор VT3 начнет открываться, и произойдет обратное лавинообразное опрокидывание схемы.
На коллекторе VT4 будет сформирован отрицательный импульс, длительность которого зависит как от постоянной времени перезаряда C5R7, так и от величины исходного (в момент
t1) напряжения на конденсаторе С5. Изменение постоянной времени с помощью R7 используется при установке среднего значения длительности командного импульса в процессе настройки, а изменение исходного напряжения на конденсаторе с помощью движка потенциометра джойстика — для регулировки длительности в процессе управления моделью.
Рис. 2.28. Эпюры в характерных точках ждущего мультивибратора
После дифференцирования отрицательного импульса цепью С7, R12, R13 короткий положительный импульс, соответствующий заднему фронту канального, подается через диод VD7 на запуск формирователя второго канального импульса, схема которого полностью аналогична только что рассмотренной, все последующие формирователи устроены одинаково.
Формирователь командной посылки обеспечивает создание на своем выходе прямоугольных положительных импульсов стандартной длительности 0,5–0,6 мс, временное положение которых должно совпадать с границами между канальными импульсами. Реализован он на трех инверторах микросхемы DD1.
Первый импульс должен соответствовать переднему фронту первого канального импульса. Для его формирования отрицательный командный импульс с коллектора VT4 инвертируется элементом DD1.1 и подается на дифференцирующую цепь С3, R5. Короткий положительный всплеск с ее выхода через развязывающий диод VD1 поступает на нормализатор длительности и амплитуды, собранный на остальных двух элементах микросхемы. Сюда же подаются (через диод VD5) положительные всплески с выходов дифференцирующих цепей С7, R12, R13 и С11, R19, R20. Они, как нетрудно убедиться, соответствуют окончаниям первого и второго канальных и импульсов соответственно(рис. 2.29,
а, б).
Рис. 2.29. Эпюры в характерных точках формирователя
График напряжения на входе элемента DD1.2 изображен на рис. 2.29,
в. Поскольку этот вход соединен с корпусом через резистор R26, то в отсутствие входных сигналов на его выходе (вывод 10) напряжение соответствует логической единице (+5 В). Логические элементы серии КМОП переходят как из единичного состояния в нулевое, так и наоборот, когда входное напряжение пересекает уровень, примерно равный половине напряжения питания (2,5 В).
В результате на выводе
10 DD1 формируются короткие отрицательные импульсы отрицательной полярности (рис. 2.29,
г). На время действия этих импульсов нижняя обкладка конденсатора С6 через диод VD4 подключается к корпусу, вызывая быстрый разряд конденсатора. Затем следует его заряд через большое сопротивление R10 (рис. 2.29,
д).
В моменты пересечения напряжением на конденсаторе уровня 2,5 В происходят опрокидывания элемента DD1.3, в результате чего на его выходе формируются положительные импульсы.
Длительность этих импульсов определяется, как это видно из рисунка, постоянной времени цепи заряда конденсатора С6, и при настройке устанавливается равной 0,5–0,6 мс подбором величины либо С6, либо R10. Конденсатор С8, установленный на выходе, немного заваливает фронты формируемых импульсов, тем самым сужая их спектр.
Необходимо это для того, чтобы активная ширина спектра излучаемых сигналов, которая и при амплитудной, и при частотной модуляции зависит от ширины спектра модулирующих импульсов, не превышала разрешенной ГИЭ величины. Резистор R14 препятствует шунтирование этим конденсатором варикапа задающего генератора передатчика (при ЧМ). При амплитудной модуляции выходные импульсы подаются обычно на базу транзисторного ключа, в этом случае резистор играет роль ограничителя тока базы, и его величину необходимо уменьшить до 10–15 кОм.
Детали и конструкция
Вариант печатной платы для двухканальной аппаратуры изображен на рис. 2.30. Пунктирной линией на ней изображена перемычка, которую необходимо впаять со стороны расположения деталей. К используемым деталям никаких особых требований не предъявляется, за исключением конденсаторов, стоящих в цепях формирования временных интервалов (С2, С5 и С9). Здесь лучше всего использовать пленочные, например типа К73-17, К73-16В. Конденсаторы СЗ, С4, С6, С7 и С11 установлены в дифференцирующих (интегрирующих) цепях и тоже должны быть стабильными.
Рис. 2.30.
Печатная плата двухканального шифратора
Если использовать на их месте керамические конденсаторы типа КМ-6, то с низким температурным коэффициентом емкости (группа не ниже М1500). Вместо микросхемы К561ЛЕ5 можно применить К561ЛА7. Транзисторы — на КТ3102 с любой буквой, или им аналогичные. Диоды подойдут любые малогабаритные.
Если вместо джойстика будут использоваться ручки управления другой конструкции, то в них можно установить по одному потенциометру на 33 кОм, исключив дополнительные постоянные. Поскольку эти потенциометры будут эксплуатироваться в интенсивном режиме, целесообразно применять СП4-1.
Подстроечные резисторы — типа СШ-38, но можно использовать любые малогабаритные, изменив соответственно установочные размеры на плате. С целью экономии места последние можно заменить постоянными резисторами, предварительно (в процессе настройки) подобрав требуемые номиналы.
Настройка
Настройка сводится к установке требуемых временных параметров. Подключив осциллограф к эмиттеру транзистора VT2 и включив питание, необходимо потенциометром R2 установить период следования наблюдаемых импульсов равным 10 мс (для двухканального варианта) или 20 мс (для восьмиканального). В последнем случае придется увеличить емкость конденсатора С2 до 0,5 мкФ. Соотношение длительностей положительных и отрицательных импульсов значения не имеет.
Далее щуп осциллографа подключается к коллектору VT4. На экране должны наблюдаться отрицательные прямоугольные импульсы (рис. 2.29,
а). Установив ручку управления в среднее положение, подстроечным резистором R7 необходимо добиться длительности импульсов равной 1,5 мс. Отклонив ручку управления в крайнее положение, проверить величину изменения длительности.
Если
Δτ меньше 0,5 мс, удерживая ручку управления в нейтральном положении, необходимо повернуть ось потенциометра (либо его корпус) на небольшой угол. Поворачивать необходимо таким образом, чтобы часть сопротивления, включенная между контактами
2 и
3 разъема X1.1, увеличивалась. При этом увеличится исходная длительность канальных импульсов. Ее необходимо вернуть к значению 1,5 мс, меняя сопротивление R7.
Манипуляции производятся до тех пор, пока методом последовательного приближения не будут удовлетворены одновременно и требования к исходной длительности, и к величине Δ
τ. Если Δ
τ больше 0,5 мс, процедуры аналогичны, но корпус потенциометра нужно поворачивать в обратную сторону.
Если длительность выходных импульсов командной посылки (вывод
11 DD1) существенно отличается от 0,5 мс, ее корректируют подбором либо конденсатора С6, либо резистора R10.
2.3.5. Транзисторный шифратор на базе электронных ключей
Принципиальная схема
В предыдущей схеме ждущие мультивибраторы, на которых собраны формирователи канальных импульсов, можно заменить транзисторными ключами, несколько изменив цепи их запуска.
На рис. 231 приведена схема такого двухканального шифратора. Очевидно, что его можно дополнить до восьмиканального.
Рис. 2.31. Принципиальная схема шифратора на ключах
Основные характеристики те же самые, что и у предыдущей схемы. Тактовый генератор, определяющий период следования командных посылок, собран на транзисторах VT1, VT2 по схеме, полностью аналогичной предыдущему варианту. Несколько увеличено только сопротивление резистора R1, влияющее на длительность отрицательного импульса на коллекторе VT2. Дело в том, что, как это будет показано ниже, потенциал коллектора этого транзистора должен быть практически равен нулю в течение всего времени формирования первого канального импульса, максимальная длительность которого может быть равной 2 мс.
Формирователь первого канального импульса реализован на транзисторе VT3. В исходном состоянии транзистор открыт за счет протекания базового тока через резисторы R5, R6. Напряжение на его коллекторе близко к нулю. Времязадающий конденсатор С2 на предыдущем этапе работы схемы заряжен практически до напряжения питания через верхнюю часть резистора R4 и базовый переход транзистора VT3 (рис. 2.32,
б). На левой его обкладке — потенциал источника (+5 В), а на правой — небольшое базовое напряжение (окаю 0,8 В) открытого транзистора VT3.
Рис. 2.32.
Эпюры в характерных точках формирователя
С появлением на коллекторе VT2 отрицательного импульса (рис. 2.32,
a, момент
t1) нижний вывод резистора R4 подключается через открывшийся VT2 к корпусу. Напряжение на базе транзистора VT3 теперь определяется алгебраической суммой отрицательного напряжения на С2 и положительного напряжения с движка потенциометра R4. Его вполне достаточно для надежного запирания VT3 (рис. 2.32,
в). Напряжение на коллекторе этого транзистора скачком возрастает (рис. 2.32,
г), и начинается формирование канального импульса. Его окончание наступит в момент времени
t2, когда за счет перезаряда конденсатора С2 напряжение на базе VT3 достигнет величины отпирания (примерно 0,8 В).
Длительность сформированного импульса будет определяться постоянной времени цепи перезаряда
τ =
C2(
R5 +
R6)
и величиной напряжения на движке потенциометра. Последнее обстоятельство и используется для управления канальным импульсом.
Для улучшения формы вырабатываемого импульса используется элемент DD1.2, сигнал на выходе которого изображен на рис. 232,
д.
В течение первого канального импульса транзистор VT3 заперт, а значит нижний вывод потенциометра R5 отключен от корпуса. Происходит быстрый заряд конденсатора С4 через верхнюю часть этого резистора до напряжения питания, подготавливая его к стадии формирования второго канального импульса (рис. 232,
е). Она начнется, как только закончится первый канальный импульс с отпиранием транзистора VT3 (момент
t2). Процесс формирования ничем не отличается от только что рассмотренного.
Отрицательные импульсы нормированной длительности, соответствующие границам между канальными (рис. 2.33, вывод
11 микросхемы DD1), формируются элементом DD1.4 из продифференцированных импульсов с выводов
3, 4, 10. Их длительностью можно управлять, меняя постоянное напряжение на выводе
12, 13 с помощью подстроечного резистора R13.
Подобные манипуляции приводят к смещению положительных экспоненциальных импульсов с выхода дифференцирующих цепочек по вертикали (рис. 233, вывод
12) относительно уровня опрокидывания элемента DD1.4 (приблизительно 2,5 В). Каскад на транзисторе VT5 инвертирует указанные импульсы и используется в случае применения шифратора совместно с ЧМ-передатчиком.
Рис. 2.33. Эпюры напряжений в нормирователе
Если в аппаратуре предусмотрена амплитудная манипуляция, то необходимость в нем отпадает, а вывод
11 микросхемы используется для замыкания на корпус эмиттерной цепи транзистора задающего генератора передатчика либо одного из его промежуточных каскадов.
Печатная плата двухканального варианта приведена на рис. 2.34.
Рис. 2.34.
Печатная плата
Как видно, потенциометры, связанные с ручками управления, закрепляются непосредственно на плате с помощью хомутиков и проводников, соединяющих выводы потенциометров с отверстиями в плате. Ручки управления пропускаются сквозь прямоугольные вырезы в плате. Разводка сделана в расчете на применение в конструкции потенциометров типа СП4-1. Их износостойкость составляет не менее 25000 циклов. Если потенциометры располагать не на печатной плате, то можно использовать практически любые, важно лишь, чтобы их характеристика была типа А (линейная зависимость сопротивления от угла поворота).
Детали и конструкция
Транзисторы могут быть типов КТ315 или КТ3102 с любым буквенным индексом. Микросхему DD1 можно заменить на K561J1A7. Конденсаторы С1, С2, С4, С6 желательно использовать пленочные или бумажные (К73-17, МБМ и др.). Диоды любые малогабаритные.
Настройка
Настройка периода повторения и длительностей канальных импульсов полностью повторяет аналогичные операции в предыдущем варианте шифратора. Требуемая длительность импульсов командной посылки (0,5 мс) на
11 выводе DD1 устанавливается потенциометром R13. При реализации восьмиканального варианта период повторения устанавливается равным 20 мс, для чего емкость конденсатора С1 увеличивается до 0,5 мкФ.
2.3.6. Многоканальный шифратор на таймерах КР1006ВИ1
Принципиальная схема
Микросхема таймера КР1006ВИ1 является многофункциональным устройством и используется в самых различных радиолюбительских конструкциях. На ее базе удобно реализовывать как автоколебательные, так и ждущие мультивибраторы.
Длительность импульсов в обоих случаях можно регулировать изменением постоянных времени цепей заряда и разряда накопительного конденсатора или изменением величины постоянного напряжения на выводе
5 микросхемы.
Как при настройке предлагаемого образца, так и при самостоятельном конструировании других устройств с использованием КР1006ВИ1, полезно представлять ее внутреннее устройство.
Остановимся на этом подробнее.
На рис. 235 приведена структура микросхемы. Она содержит делитель, обеспечивающий формирование опорных напряжений 1/3
Uп и 2/3
Uп, два операционных усилителя, RS-триггер, два транзисторных ключа и инвертор
U1. Для того чтобы рассмотрение было предметным, на микросхеме собран автоколебательный мультивибратор, для чего потребовались только три внешних элемента.
Рис. 2.35. Структура микросхемы КР1006ВИ1
В момент подачи питающего напряжения начинается заряд конденсатора С1 через последовательно включенные R1 и R2.
Напряжение с конденсатора прикладывается к прямому входу ОУ1, и до момента
t1 остается меньше опорного напряжения на его инверсном входе (рис. 236,
а). Все это время на выходе ОУ, а значит и на входе «R» триггера напряжение близко к нулю (логический 0).
Это же напряжение приложено и к инверсному входу ОУ2 и некоторое время остается ниже опорного напряжения на его прямом входе (1/3
Uп). Как известно, в этом случае напряжение на выходе ОУ близко к напряжению питания (логическая 1). Оно прикладывается к входу «S» триггера. При такой комбинации сигналов на входах, напряжение на выходе триггера равно нулю, а на выходе инвертора (вывод
3 микросхемы) — соответственно, напряжению питания.
Транзисторный ключ VT1 заперт и не оказывает никакого влияния на работу схемы. Ключ VT2 в этом варианте включения микросхемы постоянно заперт, так как его база соединена с эмиттером. В момент превышения напряжением на конденсаторе опорного уровня 1/3
Uп напряжение на выходе ОУ2 скачкообразно обращается в нуль. Теперь на обоих входах триггера логические нули, но состояние его выхода не меняется, так как для этого должны поменяться на противоположные состояния обоих входов. В момент
t1 напряжение на конденсаторе достигает второго опорного уровня, и нуль на выходе ОУ1 сменяется единицей.
Рис. 2.36.
Эпюры напряжений в характерных точках таймера
При этом комбинация сигналов на входе триггера становится противоположной исходной, и состояние его выхода изменяется с нуля на единицу. На выходе инвертора соответственно начинается фаза формирования отрицательного импульса (см. рис. 2.36,
б). Кроме того, единица с выхода триггера прикладывается к базе транзистора VT1. Читателя не должна смущать непосредственная подача высокого потенциала на базу транзистора.
На схеме отражены только функциональные связи без излишней детализации. В реальной схеме, разумеется, предусмотрены соответствующие базовые цепи. Ключ открывается, подключая точку соединения резисторов R1 и R2 к корпусу. Начинается разряд конденсатора С1 через резистор R2.
Практически сразу же напряжение на прямом входе ОУ1 становится меньше опорного, а на его выходе скачком опять устанавливается логический «0». К опрокидыванию триггера это не приводит, так как меняется состояние только одного входа «R». Триггер как бы подготавливается к опрокидыванию. Когда же напряжение на конденсаторе уменьшится до величины 1/3
Uп (момент
t2 на рисунке), изменится состояние на выходе ОУ2 и входе «S» триггера — произойдет его обратное переключение, и напряжение на выходе инвертора опять станет высоким. Ключ VT1 разомкнется, и начнется заряд конденсатора С1.
Далее процессы будут повторяться. Очевидно, период следования вырабатываемых импульсов будет равен сумме длительностей положительного и отрицательного импульсов. В свою очередь, длительность положительного импульса определяется постоянной времени C1(R1 + R2) и может быть приближенно вычислена по формуле τ
+ = 0,685∙(R1 + R2)∙C1; длительность отрицательного определяется постоянной времени разряда конденсатора и вычисляется по формуле τ
- = 0,685∙R2C1.
Из рис. 2.36,
а видно, что если с помощью внешних цепей принудительно менять напряжение на выводе
5 микросхемы, то будут меняться опорные уровни и, как следствие, длительность обоих импульсов. Этот факт используется для электронного управления длительностями. Работа схемы в режиме ждущего мультивибратора во многом аналогична рассмотренной ранее, поэтому здесь не приводится.
Следует только упомянуть, что формирование выходного положительного импульса в этом случае может быть в любой момент прервано подачей короткого отрицательного импульса на вход
4, который должен быть подключен к плюсу источника через резистор величиной 1–3 кОм. Отрицательный импульс вызовет отпирание ключа VT2, что в свою очередь — отпирание VT1 и быстрый разряд накопительного конденсатора. Схема подключения конденсатора в режиме ждущего мультивибратора отличается от рассмотренной (см. рис. 2.37, например канал № 1).
Рис. 2.37. Принципиальная схема многоканального шифратора
Теперь собственно о шифраторе. Его схема приведена на рис. 3.36. Генератор тактовых импульсов реализован на DA1 по схеме автоколебательного мультивибратора. Требуемый период повторения устанавливают подбором величины R1 или R2. Вывод
5 микросхемы зашунтирован конденсатором СЗ для предотвращения попадания на опорный вход помех, что приводило бы к хаотическому изменению периода повторения.
Импульсы с выхода генератора (рис. 2.38,
а) дифференцируются цепью C4R3, на выходе которой формируются короткие всплески, соответствующие фронтам (рис. 2.38,
б).
Рис. 2.38. Эпюры напряжений в различных точках шифратора
Отрицательные всплески, следующие с периодом
Тп, запускают ждущий мультивибратор, собранный на таймере DA2. Исходная длительность его импульсов определяется постоянной времени τ = R4C8, а регулировка в пределах ±0,5 мс — изменением постоянного напряжения на выводе
5 с помощью потенциометра R6.
Точная подгонка границ изменения достигается подбором R5 и R7. Канальный импульс формируется на выводе
3 микросхемы (рис. 2.38,
в). После его дифференцирования цепью C7R8 отрицательный всплеск, соответствующий заднему фронту, запускает полностью аналогичную схему формирователя второго канального импульса (рис. 2.38,
г). В случае восьмиканального варианта последующие каскады строятся по точно таким же схемам.
Отрицательные импульсы с дифференцирующих цепей всех трех каскадов через диоды VD1—VD3 поступают на ждущий мультивибратор формирования кодовой посылки DA4. Последний вырабатывает короткие импульсы стандартной длительности τ = 0,5 мс (рис. 2.38,
д).
Параметры этих импульсов определяются постоянной времени
τ = R15C11. Расстояние между передними фронтами соседних пар равно длительностям соответствующих канальных импульсов.
Детали и конструкция
Печатная плата двухканального варианта изображена на рис. 2.39, а восьмиканального — на рис. 2.40.
Рис. 2.39.
Печатная плата двухканального варианта
Рис. 2.40. Печатная плата восьмиканального варианта
Перед установкой микросхем DA1 необходимо впаять перемычку со стороны расположения деталей, на рисунках она изображена пунктирной линией. Микросхемы таймеров можно заменить импортным аналогом, например LM555. Оптимально использовать микросхемы типа 556, содержащие в одном корпусе по два таймера.
Разводку платы, естественно, придется изменить. Наилучший выбор — микросхемы типа 7555 и 7556, выполненные по технологии КМОП и имеющие существенно меньшие токи потребления. Все времязадающие конденсаторы (С2, С5, С8, C11) должны быть пленочными. Диоды — любые малогабаритные.
Стабилизатор, используемый в схеме, допускает повышение входного напряжения вплоть до 20 В. Потенциометры R6, R11 должны обладать повышенной износостойкостью, их характеристика регулирования — типа А (линейная).
Настройка
Временно припаяв вместо R1 переменный резистор на 100 кОм, устанавливают период повторения равным 20 мс для восьмиканального варианта и 10 мс для двухканального. В последнем случае емкость конденсатора С1 можно уменьшить до 0,22 мкФ.
Далее, установив ручку управления, связанную с движком R6, в нейтральное положение, подбором величины R4 необходимо установить длительность канального импульса на выводе
3 микросхемы равной 1,5 мс. Для этой цели удобно временно припаять вместо постоянного резистора переменный.
Отклонив ручку управления в крайнее положение, проконтролировать изменение длительности импульса. Если оно больше 0,5 мс, то ось или корпус потенциометра нужно повернуть так, чтобы сопротивление между движком и нижним выводом уменьшилось. Подбором R4 восстановить исходную длительность импульсов в нейтральном положении ручки управления.
Проделав эти операции несколько раз, добиться требуемых параметров канального импульса. Настройка остальных каналов полностью аналогична. По окончании настройки вместо временных переменных резисторов впаиваются эквивалентные постоянные.
2.3.7. Многоканальный шифратор на триггерах К561ТВ1
Принципиальная схема
Экономичный шифратор получается на базе микросхем, выполненных по технологии КМОП. Ток потребления четырехканального варианта не превышает 1,7 мА. Его схема приведена на рис. 2.41.
Рис. 2.41. Принципиальная схема четырехканального шифратора
Тактовый генератор собран на элементах DD1.1, DD1.2 по традиционной схеме. Требуемый период повторения командных посылок устанавливается подбором величины резистора R1.
Основой формирователей канальных импульсов являются JK-триггеры К561ТВ1. Для выяснения принципа их работы в качестве ждущих мультивибраторов необходимо разобраться с их собственными возможностями. Прежде всего отметим, что каждый корпус микросхемы содержит по два одинаковых триггера. Каждый триггер имеет синхронные входы «J» и «К», сигналы на которых изменяют состояние выходов «Q» и «Q
-» только по приходу положительного перепада напряжения на тактовый вход «С».
Отрицательный перепад на этом входе на состояние триггера не влияет. Асинхронные входы «S» и «R» не нуждаются в подаче тактовых импульсов и определяют состояние выходов триггера непосредственно. Для используемого варианта включения, когда на входы «S» всегда принудительно подключен корпус (логический 0), подача высокого уровня на вход «R», вне зависимости от комбинации сигналов на других входах, приведет к установлению низкого уровня на выходе «Q».
Когда же на входе «R» низкий потенциал, состояние триггера будет определяться только сигналами входов «J» и «К». Вход «J» в схеме постоянно подключен к плюсу источника, а вход «К» — к корпусу. В таком состоянии до прихода тактового импульса на вход «С» на выходе «Q» будет низкий потенциал, а по положительному перепаду на входе он скачком изменится на высокий.
Принцип действия
Перейдем к рассмотрению процедуры формирования канальных импульсов на примере первого ждущего мультивибратора, собранного на DD2.2. В исходном состоянии (после окончания предыдущей командной посылки) напряжение на тактовом входе «С2» (рис. 2.42,
а) низкое. Поскольку на входе «J2» высокий потенциал, а «К2» соединен с корпусом, на выходе «Q2» логический О (рис. 2.42,
б). Наличие диода VD2 обеспечивает низкий потенциал и на входе «R2» (рис. 2.42,
г). На инверсном выходе «Q
-2» потенциал всегда противоположен потенциалу прямого выхода (рис. 2.42,
в). Конденсатор С5, очевидно, заряжен до напряжения питания (положительный потенциал на верхней по схеме обкладке).
С приходом положительного перепада на вход «С2» (момент времени
t1) напряжение на выходе «Q2» скачком меняется на высокое. Конденсатор С5 начинает от этого напряжения перезаряжаться через резистор R3, напряжение на его нижней обкладке (а значит и на входе «R2») растет практически линейно (рис. 2.42,
г). Напряжение логической единицы для входов микросхем серии КМОП составляет величину, примерно равную половине напряжения питания.
При достижении этого уровня на входе «R2» (момент времени
t2) в соответствии с ранее рассмотренной логикой работы триггера происходит обнуление выхода «Q2». Таким образом, на этом выходе формируется положительный прямоугольный импульс, длительность которого определяется положением движка потенциометра R3. Низкий потенциал на выходе Q2 и высокий на выходе Q
-2 переводят схему в исходное состояние. Конденсатор С5 через открытый диод VD2 быстро заряжается до прежнего значения, подготавливая схему к следующему такту.
Рис. 2.42. Эпюры напряжений в характерных точках мультивибратора
Положительный перепад с инверсного выхода подается на тактовый вход «С1» верхнего триггера микросхемы, запуская аналогичный процесс формирования второго канального импульса, и т. д. Выходные импульсы всех каналов (рис. 2.43,
б-д) подаются на входы соответствующих дифференцирующих цепей (например C7R5 для первого). Короткие положительные всплески, пройдя через соответствующие развязывающие диоды, суммируются на резисторе R11.
Каждый из них, пересекая уровень опрокидывания элемента DD1.3 (примерно 2,5 В), формирует на его выходе короткие отрицательные импульсы. Эти импульсы быстро разряжают конденсатор С13 через открывающийся диод VD10. Конденсатор затем медленно заряжается через резистор R12. В результате двукратного превышения уровня опрокидывания элемента DD1.4 напряжением на конденсаторе, на выходе этого элемента формируются нормированные по амплитуде и длительности импульсы командной посылки (рис. 2.43,
е).
Рис. 2.43. Формирование кодовой посылки
Стабилизатор напряжения DA1 делает схему некритичной к напряжению используемого источника питания.
Очевидно, что количество каналов в рассмотренном шифраторе можно произвольно менять от одного до восьми путем исключения (добавления) звеньев ждущих мультивибраторов, дифференцирующих цепочек и развязывающих диодов.
Детали и конструкция
Печатная плата для четырехканального варианта приведена на рис. 2.44. При монтаже деталей необходимо обратить внимание на наличие перемычек П1—П5, которые следует впаять в первую очередь. Требования к используемым деталям обычные. Времязадающие конденсаторы С3-С5, С8, С9 и С13 — пленочные. Конденсаторы дифференцирующих цепей С6, С7, C10—С12 можно использовать керамические (КМ6, например) из группы по ТКЕ не хуже М4700.
Потенциометры регулировки длительностей канальных импульсов должны иметь как можно большую износостойкость и характеристику типа «А». Вместо триггеров К561ТВ1 можно установить их зарубежный аналог CD4027. Поскольку элементы DD1 используются в качестве инверторов, допустима их замена на K561ЛA7. Стабилизатор напряжения DA1 — любого типа на напряжение 5 В. Все диоды типа КД521(522) с любым буквенным индексом.
Рис. 2.44. Печатная плата четырехканального шифратора
Настройка
В процессе настройки путем подбора величины резистора R1 период повторения импульсов задающегогенератора устанавливается равным 20 мс. Исходная длительность и диапазон изменения канальных импульсов при установке требуют внимания. Корпус потенциометра необходимо зафиксировать в таком положении, при котором отклонение ручки управления из одного крайнего состояния в другое вызывает изменение его сопротивления в два раза. Тем самым будет обеспечен соответствующий диапазон перестройки длительности.
Затем, установив ручку управления в среднее положение, убедиться, что исходная длительность канального импульса (на выводе
15 DD2 для первого канала, например) равна 1,5 мс. При необходимости ее коррекции, например в сторону увеличения, придется либо припаять дополнительную емкость параллельно конденсатору С5, либо дополнительный резистор последовательно с потенциометром R3.
В последнем случае необходимо развернуть корпус потенциометра таким образом, чтобы в рабочем диапазоне углов отклонения результирующее сопротивление опять бы имело коэффициент перекрытия, равный двум.
В заключение подбором R12 устанавливают длительность импульсов командной посылки на выводе
10 DD1 примерно равной 0,5 мс.
2.3.8. Многоканальный шифратор на триггерах Шмидта К561ТЛ1
Принципиальная схема
Микросхема представляет собой четверку двухвходовых элементов «И» с инверсией, передаточная характеристика которых имеет петлю гистерезиса. Опыт показывает, что использование в генераторах (вместо К561ЛА7) этой микросхемы обеспечивает формирование импульсов прямоугольной формы более высокого качества. Кроме того, работоспособность сохраняется не до трех вольт, как это заявлено для большинства микросхем серии 561,а до 1,8 В. Это позволяет строить достаточно экономичные шифраторы с низковольтным питанием.
На рис. 2.45 представлена принципиальная схема восьмиканального формирователя, обеспечивающего стандартные параметры импульсов командной посылки.
Рис. 2.45. Принципиальная схема восьмиканального шифратора
Тактовый генератор собран на элементах DD1.1, DD1.2. Он вырабатывает прямоугольные импульсы, период повторения которых определяется, в основном, постоянной времени цепи R1C2. Для восьмиканального варианта аппаратуры период повторения должен быть равен 20 мс. Регулировка периода осуществляется потенциометром R1. Отрицательный фронт генерируемых импульсов через дифференцирующую цепочку C3R4 запускает ждущий мультивибратор первого канального импульса, собранный на элементах DD2.1, DD2.2.
Принцип действия
Мультивибратор работает следующим образом. В исходном состоянии к выводу
12 DD2.1 подключено напряжение питания через резистор R4, что соответствует логической 1. На выводе
13 так же 1 с выхода инвертора DD2.2, так как его вход заземлен через потенциометр R5. Две единицы на входах DD2.1 обеспечивают нулевой потенциал на выводе
11, так как элемент снабжен инвертором. Обе обкладки конденсатора С4 находятся под нулевым потенциалом.
Состояние схемы устойчиво. Отрицательный импульс с выхода дифференцирующей цепи, подаваемый на вывод
12, эквивалентен логическому 0. Как следствие, на выводе
11 скачкообразно потенциал повышается до уровня 1. Начинается заряд конденсатора С4 через резистор R5. В первый момент зарядный ток максимален, и падение напряжения на резисторе R5 равно напряжению питания (логическая 1).
На выходе элемента DD2.2 скачкообразно устанавливается логический 0, который, будучи приложенным к выводу
13 DD2.1, надежно удерживает этот элемент в новом состоянии даже после окончания запускающего импульса на выводе
12. Схема находится в новом устойчивом состоянии до тех пор, пока напряжение на потенциометре R5, убывающее в процессе заряда конденсатора, не достигнет порога опрокидывания элемента DD2.2 (примерно половина напряжения питания).
В момент достижения этой величины на выводах
3 и
13 установится логическая 1, и схема вернется в исходное состояние. Конденсатор С4 разрядится через обнуленный вывод
11 микросхемы и резистор R5.
Длительность вырабатываемого на выводе
11 положительного импульса определяется сопротивлением потенциометра R5, ось которого связана с ручкой управления первого канала, и емкостью конденсатора С4. Своим задним фронтом этот импульс, через дифференцирующую цепь C6R7, запускает ждущий мультивибратор второго канального импульса, собранный на элементах DD2.3, DD2.4, и так далее, вплоть до восьмого.
Нижние по схеме элементы каждого ждущего мультивибратора инвертируют канальные импульсы таким образом, что их заднему фронту соответствуют положительные перепады напряжения. Короткие положительные всплески с выходов соответствующих дифференцирующих цепей (C5R6, C8R9 и т. д.), пройдя через диоды VD2, VD3—VD9, суммируются на резисторе R3. Сюда же через диод VD1 поступает положительный импульс, соответствующий переднему фронту первого канального импульса.
Через инвертор DD1.4 эти импульсы запускают нормализатор, собранный на элементе DD1.3 и интегрирующей цепочке C9R10. Каждый из коротких отрицательных импульсов, соответствующих границам между канальными импульсами, быстро разряжает конденсатор С9 через малое сопротивление открытого диода VD4.
На выводе
10 элемента DD1.3 устанавливается уровень логической единицы. Затем напряжение на конденсаторе начинает расти в результате его заряда через резистор R10. При достижении напряжения опрокидывания, на выходе DD1.3 устанавливается напряжение логического нуля. Длительность сформированного таким образом положительного импульса на выводе
10 выбрана равной 0,5 мс.
Сформированная последовательность подается на модулятор передатчика. Временной интервал до начала следующей командной посылки колеблется в пределах 4—12 мс и играет роль синхропаузы, определяющей на приемной стороне момент начала каждой очередной посылки.
Стабилизатор напряжения DA1 обеспечивает неизменные значения длительностей вырабатываемых импульсов при разряде питающей батареи.
Изымая лишние ячейки ждущих мультивибраторов (начиная с последней), количество каналов можно менять от одного до восьми. Формирователь совместно с передатчиком удобно использовать для независимого одновременного управления четырьмя моделями, например при организации соревнований.
Для каждой из моделей достаточно изготовить свой пульт управления, содержащий только два потенциометра, связанных с ручками управления.
Пульты должны соединятся двухпроводными кабелями с командоаппаратом, в котором размещается передатчик (один на всех) и собственно формирователь. Принцип выделения на каждой из моделей своих командных импульсов из общей командной посылки будет изложен при рассмотрении дешифраторов команд.
Детали и конструкция
Печатная плата формирователя приведена на рис. 2.46.
Рассмотрен вариант для шифратора, содержащего только два канала. При необходимости увеличения их количества разработка печатной платы не вызовет затруднений, так как добавлять нужно будет узлы, аналогичные имеющимся в предлагаемом варианте.
На плате предусмотрено место для одного из вариантов передатчика. Конденсаторы С2, С4, С7, С9, участвующие в формировании временных интервалов, должны быть пленочными. С10 — любой электролитический. Остальные конденсаторы могут быть керамическими (например КМ6). Микросхемы К561ТЛ1 можно заменить на К561ЛА7, но при этом необходимо повысить питающее напряжение с 3 до 5 В.
Рис. 2.46.
Фрагмент печатной платы передатчика с шифратором
Настройка
Настройка формирователя сводится к установке периода повторения командной посылки (потенциометр R1) и исходных длительностей канальных импульсов. Операции при этом полностью аналогичны описанным в предыдущем параграфе. При использовании формирователя в двухканальном варианте период повторения целесообразно уменьшить до 10 мс, что позволит уменьшить емкости конденсаторов в удлинителях импульсов приемной части аппаратуры. Для этой цели емкость конденсатора С2 необходимо снизить до 0,068 мкФ.
2.3.9. Многоканальный шифратор на мультивибраторах К564АГ1
Принципиальная схема
Шифратор, собранный по схеме, приведенной на рис. 2.47, содержит минимальное количество деталей. Тактовый генератор, реализованный на микросхеме DD1 (К561АГ1), полностью аналогичен описанному в
разделе 2.3.3. Период повторения тактовых импульсов определяется выражением
Тп = 0,5∙(
R1C1 +
R2C2).
Подбором величины резистора R1 он устанавливается равным 10 мс в двухканальном варианте и 20 мс в восьмиканальном.
Шифраторы всех каналов собраны на тех же микросхемах, вариант включения которых предполагает ждущий режим работы. Их запуск осуществляется подачей на вывод 4 импульсов с инверсного выхода мультивибратора предыдущего канала.
Поскольку запуск осуществляется по положительному перепаду этих импульсов, начало канального импульса каждого последующего канала совпадает с окончанием импульса на прямом выходе предыдущего, т. е. таким же образом, как и во всех предыдущих схемах.
Рис. 2.47. Принципиальная схема шифратора
Для формирования коротких импульсов командной посылки (временное положение которых должно совпадать с границами промежутков между импульсами соседних каналов), все канальные импульсы с инверсных выходов мультивибраторов (выводы
7 и
9 каждого корпуса микросхемы) подаются на одинаковые дифференцирующие цепи C5R4, C6R6, C7R7 и т. д.
Короткие положительные всплески, соответствующие задним фронтам каждого канального импульса, с выходов дифференцирующих цепей через развязывающие диоды поступают на запуск ждущего мультивибратора D6.1, который и формирует требуемые выходные импульсы. Длительность последних подбирается резистором R9. Для формирования первого импульса командной посылки, соответствующего переднему фронту первого канального, дифференцируется и положительный импульс с прямого выхода DD1.1 (вывод
6).
Длительность канальных импульсов управляется потенциометрами R3, R5 и т. д., связанными с ручками управления.
Двухканальный вариант должен включать лишь каскады, собранные на микросхемах DD1, DD2, DD6.
Печатная плата такого варианта изображена на рис. 2.48.
Перемычку, соединяющую четвертую и девятую ножки микросхемы DD1, необходимо впаять до установки на плату микросхемы. Конденсаторы C1, С2, СЗ, С4, С9 должны быть пленочными или бумажными, типа К73-17, МБМ и т. п. В качестве DA1 можно применить любой малогабаритный стабилизатор на напряжение +5 В.
Как и в предыдущих конструкциях, переменные резисторы R3 и R5 желательно использовать с повышенной износостойкостью.
Настройка
Настройка шифратора сводится к установке требуемого периода повторения путем подбора величины R1. Осциллограф при этом можно подключить либо к выводу
6, либо выводу
7 микросхемы DD1. Установка исходной длительности канальных импульсов равной 1,5 мс и диапазона ее изменения при отклонениях ручки управления (±0,5 мс) производится в соответствии с рекомендациями
раздела 2.8.
Рис. 2.48. Печатная плата
2.3.10. Комбинированный многоканальный шифратор
Принципиальная схема
Принципиальная схема двухканального варианта шифратора приведена на рис. 2.49. За основу взята схема, рассмотренная в
разделе 2.3.5, которая дополнена логическими элементами, улучшающими форму вырабатываемых канальных импульсов. Изменена также и схема формирователя выходных импульсов. Увеличение количества каналов производится простым добавлением одинаковых формирующих секций.
Тактовый генератор собран на элементах DD1.4, DD1.3 по традиционной схеме. Период следования импульсов регулируется подстроечным резистором R1. Дифференцирующая цепочка C1,R3 совместно с диодом VD1 формирует короткий положительный импульс начала командной посылки. В этот же момент времени отрицательный перепад напряжения на выводе 10 DD1.3 запускает формирователь первого канального импульса, собранный на транзисторе VT1 и инверторах DD1.1, DD1.2.
Рис. 2.49. Принципиальная схема шифратора
Принцип действия
В исходном состоянии транзистор VT1 открыт за счет подачи положительного смещения в базу через резисторы R5, R6 (рис. 2.50,
а). Конденсатор С4 заряжен практически до напряжения питания, так как оба крайних вывода потенциометра подключены к плюсу источника (на выводе
10 DD1.3 в исходном состоянии уровень логической единицы), а нижняя обкладка конденсатора находится под небольшим потенциалом на базе открытого транзистора.
Положительной при этом является верхняя по схеме обкладка конденсатора. В момент отрицательного перепада напряжения на выводе
10 DD1.3 нижний по схеме вывод потенциометра R4 оказывается подключенным к корпусу. Начинается перезаряд конденсатора С4 по цепи:
«плюс» источника питания — резисторы R5, R6 — конденсатор С4 — нижняя часть потенциометра R4 — корпус.
Напряжение на базе VT1 скачком смешается в область отрицательных значений на величину, определяемую положением движка потенциометра R4, связанного с ручкой управления скоростью движения модели (рис. 2.50,
а). Транзистор запирается, и на его коллекторе формируется положительный импульс напряжения, а на выходах инверторов DD1.2, DD1.3 — отрицательные импульсы (рис. 2.50,
б).
Рис. 2.50. Эпюры напряжений в характерных точках
Длительность формируемого импульса определяется временем перезаряда конденсатора, которое зависит как от величины скачка напряжения на базе, так и от постоянной времени цепи перезаряда, определяемой емкостью конденсатора С4 и суммарным сопротивлением резисторов R5, R6 (сопротивлением нижней части потенциометра R4 на их фоне можно пренебречь). Так как перезаряд происходит практически от удвоенного напряжения питания, а рабочим является начальный участок экспоненты, напряжение на базе меняется по линейному закону (рис. 2.50,
а), что обеспечивает пропорциональность длительности импульсов положению движка потенциометра R4.
Импульс заканчивается при достижении напряжением на базе порога открывания транзистора. Инверторы на выходе формирователя обеспечивают требуемую полярность и высокую крутизну фронтов вырабатываемых импульсов. По окончании отрицательного импульса на выводе
10 DD1.3, длительность которого, кстати, обязательно должна быть больше максимально возможной длительности канального импульса, происходит быстрый заряд конденсатора С4 через резистор R4 до исходного значения.
Зависимость длительности импульсов формирователя от двух величин (номиналов сопротивлений R4 и R6) существенно облегчает установку исходной длительности и требуемого диапазона ее изменения (при настройке).
Формирователь второго канального импульса реализован на транзисторе VT2
р-n-р структуры и инверторах DD2.1 и DD2.2 по аналогичной схеме, с той лишь разницей, что все импульсы и перепады напряжений имеют противоположную полярность, что приводит к необходимости двойного инвертирования коллекторных импульсов перед подачей на дифференцирующую цепочку.
При увеличении количества каналов следующая пара формирователей подключается к выводу
3 DD2.1. Входом при этом должен являться нижний по схеме вывод резистора, аналогичного в этой паре потенциометру R4.
Короткие положительные импульсы с выходов диодов VD1—VD3, соответствующие границам между канальными импульсами, суммируются на резисторе R14 и поступают на вход формирующего устройства, собранного на элементах DD2.3, DD2.4 и интегрирующей цепочке R15, С9. В исходном состоянии напряжение на выводе
10 DD2.3 равно нулю. Каждый из входных импульсов инвертируется элементом DD2.4 и быстро разряжает до нуля конденсатор С9, вызывая скачкообразное нарастание выходного напряжения на выводе
10 до уровня логической единицы.
Затем начинается заряд С9 через большое сопротивление R15. При достижении напряжением на конденсаторе уровня логической единицы, элемент DD2.3 опять опрокидывается, формируя тем самым на своем выходе положительный прямоугольный импульс, длительность которого определяется постоянной времени заряда конденсатора С9. Конденсатор С10 необходим для «заваливания» фронтов выходных импульсов с целью сужения их спектра.
Детали и конструкция
Печатная плата приведена на рис. 2.51. Помимо рассматриваемого шифратора, на ней размещен также вариант ЧМ-передатчика из
раздела 3.6.2. Печатная плата выполнена из одностороннего стеклотекстолита толщиной 1–1,5 мм.
Ручки управления произвольной конструкции пропускаются в прямоугольные прорези платы и крепятся на осях потенциометров R4 и R9. В простейшем случае они могут быть вырезаны из двухстороннего стеклотекстолита толщиной 2,5—З мм и припаяны к осям. Сами потенциометры припаиваются к плате горизонтально своими выводами и выступами, имеющимися на корпусе.
В схеме шифратора все постоянные резисторы — типа МЛТ-0,125 или им аналогичные. Подстроечные резисторы R1, R6, R11 могут быть типа СПЗ-38б или РП1-63Мг. Переменные R4 и R9— типа СПЗ-16а. Можно применить и СП4-1, но это повлечет изменение установочных размеров и способа крепления к плате. Транзисторы КТ315 и КТ361 можно заменить соответственно на КТ3102 и КТ3107 с любым буквенным индексом.
Конденсатор С8 — любой малогабаритный электролитический. С2, С4, С6, С9 — обязательно пленочные, например К73-17. Остальные конденсаторы — керамические КМ-6 или им аналогичные. Диоды КД522Б можно заменить на любые кремниевые малогабаритные.
Рис. 2.51. Печатная плата
Настройка
Движки подстроечных и переменных резисторов следует установить в среднее положение. После подключения источника питания необходимо убедиться в наличии +3 В на выходе стабилизатора DA1. Подключив осциллограф к выводу
10 DD1.3, проконтролировать наличие положительных импульсов.
Потенциометром R1 установить период следования
Тп = 10 мс (при количестве каналов более двух —
Тп = 20 мс. Для этого может потребоваться увеличение емкости С2).
Переключить осциллограф к базе VT1 и установить потенциометром R4 амплитуду отрицательной «пилы» (рис. 2.50,
а) равной 1 В. Зафиксировать ручку управления на оси потенциометра. Потенциометром R6 установить длительность отрицательных импульсов на выводе
3 DD1.1
τк.1 = 1,5 мс (рис. 2.50,
б). Отклоняя ручку управления в крайние положения (±30°) убедиться, что Δ
τ = ±0,5 мс. Если Δ
τ < ±0,5 мс, уменьшить амплитуду пилы на базе VT1 с помощью R4, зафиксировав новое положение ручки управления как нейтральное, и вновь установить потенциометром R6
τ1 = 1,5мс. Если Δ
τ > ±0,5 мс, то амплитуду пилы увеличить. Манипуляции повторять до тех пор, пока в нейтральном положении длительность импульсов станет равной 1,5 мс, а в крайних положениях приращение составит 0,5 мс.
Аналогично устанавливаются границы импульсов на всех остальных формирователях. Необходимо учитывать, что «пила» на базах транзисторов
р-n-р структуры имеет положительную полярность.
Подключить осциллограф к выводу
12 DD2.4 и убедиться в наличии коротких треугольных импульсов амплитудой не менее 2 В. В противном случае увеличить емкость конденсаторов С1, С5, С7 до 1500–2200 пФ. Подбором емкости конденсатора С9 установить длительность положительных импульсов на выводе
10 DD2.3 приблизительно равной 0,5 мс.
Глава 3
ПЕРЕДАТЧИКИ КОМАНД
Существуют различные типы передатчиков команд: индукционный, инфракрасный, лазерный… схемы которых представлены в данной главе.
Однако в большинстве систем дистанционного управления для передачи используется радиоканал, обладающий наилучшими эксплуатационными параметрами, но весьма сложный в изготовлении и настройке — ему посвящен основной материал.
Знакомство с радиопередатчиком начинается ab ovo: рассматриваются (кратко) физические принципы, лежащие в основе (модуляция, классы усиления и т. п.), а затем, согласно блок-схеме, элементы реальных конструкций.
3.1. Индукционный передатчик
Принципиальная схема
Если предполагается управлять моделью в домашних условиях, то вполне приемлемым можно считать использование индукционного передатчика. Он практически не создает помех окружающим электронным приборам в силу малой мощности передатчика и применения низкой частоты. Фактически, канал связи представляет собой подобие трансформатора. Роль первичной обмотки играет индукционная петля большого диаметра, располагаемая, например под плинтусом по периметру комнаты.
Вторичная обмотка находится на модели и представляет собой катушку с большим количеством витков, намотанных на ферритовом стержне. Наводимый в ней слабый сигнал усиливается затем простейшим УНЧ.
Принципиальная схема передатчика приведена на рис. 3.1.
Рис. 3.1. Принципиальная схема индукционного передатчика
При использовании шифраторов с частотным кодированием можно подавать в индукционную петлю непосредственно командные сигналы, однако чтобы передатчик был универсальным по отношению к различным типам шифраторов, применена схема с дополнительным низкочастотным генератором. Он реализован на микросхеме DA1 и вырабатывает сигнал частотой 30 кГц при подаче на управляющий вход (вывод
4 DA1) информации с выхода шифратора.
Фактически на выходе устройства получается амплитудно-модулированный сигнал с очень низкой несущей. С вывода
3 DA1 этот сигнал подается на вход мощного операционного усилителя DA3, нагрузкой которого служит трансформатор Тр1, согласующий выход усилителя с малым сопротивлением индукционной петли. Напряжение питания задающего генератора стабилизировано микросхемой DA2, чтобы исключить уход параметров вырабатываемых сигналов при разряде питающей батареи. Конденсатор С10 служит для подавления высших гармоник в спектре выходного сигнала.
Детали и конструкция
Резисторы и конденсаторы, используемые в схеме, могут быть любых типов. Микросхема DA1 может быть заменена импортным аналогом, например NE555, без изменения рисунка печатной платы. Трансформатор Тр1 выполнен на кольце из феррита 2000НМ, минимальные размеры которого 18x8x5 мм. Первичная обмотка содержит 150 витков медного провода диаметром 0,18 мм. Вторичная — 15 витков диаметром 0,8 мм. Индукционная петля прокладывается по периметру комнаты и содержит 5–7 витков изолированного провода (можно и многожильного) диаметром 0,5 мм.
Печатная плата изображена на рис. 3.2.
Рис. 3.2. Печатная плата передатчика
Настройка
Настройка передатчика заключается в установке частоты контролируемых на выводе
3 DA1 колебаний. Необходимо временно вход передатчика (вывод
4 DA1) подключить к плюсу питания (вывод
8 DA1), обеспечив тем самым непрерывную генерацию. Вращением оси потенциометра частота генерации устанавливается равной 30–50 кГц. Включив передатчик совместно с приемником, можно подобрать величину конденсатора С10 по максимуму амплитуды колебаний на выходе приемника, поскольку этот конденсатор совместно с вторичной обмоткой Тр1 и индукционной петлей образует параллельный колебательный контур.
3.2. Инфракрасный передатчик
Принципиальная схема
Как и предыдущий вариант, этот передатчик обеспечивает небольшую дальность действия (до 10 м). Кроме того, светодиоды, используемые в качестве излучателей, обладают направленностью, что позволяет управлять моделью лишь в пределах зоны облучения. Чувствительный элемент приемника — фотодиод — также имеет не круговую диаграмму направленности, что накладывает ограничение на его ориентацию относительно передатчика. Однако такие устройства очень просты и не являются источниками радиочастотных помех.
Обойти же указанные недостатки можно, применяя несколько свето- и фотодиодов, соединенных параллельно. Автором, например была изготовлена гоночная трасса, передающие светодиоды на которой имитировали дорожные фонари, расставленные вдоль нее, чем и обеспечивалось сплошное перекрытие зоны управления. Для управления четырьмя автомобилями использовался общий передатчик с восьмиканальным шифратором (по два канала на каждую модель).
Распознавание «своих» команд на моделях производилось использованием соответствующей пары выходов восьмиканальных дешифраторов, одинаковых для всех моделей.
Принципиальная схема (рис. 3.3) содержит входной инвертор, обеспечивающий запуск как положительными, так и отрицательными импульсами с выходов шифраторов. На элементах DD1.2, DD1.3 собран генератор поднесущей, настроенный на 30 кГц, что обеспечивает излучение пачек импульсов, модулированных входным сигналом. Это благотворно сказывается на помехозащищенности приемника, установленного на модели. Ключевой каскад на составном транзисторе обеспечивает коммутацию излучающего инфракрасного светодиода VD3. Резистор R4 ограничивает ток через светодиод. Его подбором можно изменять выходную мощность передатчика.
Рис. 3.3.
Принципиальная схема инфракрасного передатчика
Приемник, рассмотренный в
разделе 4.2, содержит активный фильтр, настроенный на частоту 30 кГц, поэтому настройка передатчика сводится к установке такой же частоты генерации подбором величины резистора R1. Частоту импульсов контролируют по осциллографу, подключенному к выводу
11 DD1.4, переведя устройство в режим непрерывной генерации временным подключением Вх.2 к плюсу источника питания.
Детали и конструкция
Чертеж печатной платы передатчика изображен на рис. 3.4. Вместо указанного на схеме светодиода можно применить три параллельные цепочки, каждая из которых представляет последовательное соединение светодиода АЛ107Б (AЛ108AM) и резистора на 10 Ом. Резистор R5 при этом можно изъять.
Рис. 3.4. Печатная плата ИК-передатчика
3.3. Лазерный передатчик
Особенности лазерного канала
Трудно сказать, использует ли кто-нибудь лазерную указку по прямому назначению, но радиолюбители на ее базе разработали большое количество различных конструкций.
Очевидно, что для управления объектом с помощью узкого луча необходимо постоянно ориентировать его на вход фотоприемника. Для подвижных моделей это неприемлемо, а вот при стационарном расположении передатчика и приемника такой вариант вполне жизнеспособен. Лазерный канал связи успешно использовался автором в серьезном устройстве для дистанционного управления параметрами блока, находившегося под напряжением в 150 кВ. Условия работы не позволяли применять ни проводной канал из-за утечек высокого напряжения по проводам, ни радиоканал из-за высокого уровня помех, создаваемых управляемым блоком.
Внимание! Лазерное излучение представляет серьезную опасность для здоровья человека: неосторожное обращение с лазером может привести к частичной или полной потере зрения. Категорически запрещается направлять лазерную указку на людей и животных.
Принципиальная схема
Принципиальная схема лазерного передатчика (рис. 3.5) представляет собой электронный ключ на транзисторе VT2, в коллекторную цепь которого включена лазерная указка через ограничитель тока на транзисторе VT1. Никакой настройки устройство не требует.
Печатная плата приведена на рис. 3.6.
Рис. 3.5. Принципиальная схема лазерного передатчика
Рис. 3.6.
Печатная плата лазерного передатчика
3.4. Общие сведения о радиопередатчиках
3.4.1. Требования к основным характеристикам передатчиков
Все требования изложены в «Инструкции о порядке регистрации и эксплуатации любительских радиостанций», введенной в действие 15 сентября 1996 года приказом Главгоссвязьнадзора России № 52 от 08.08.96 г. Пункт 12.4 этого приказа гласит:
«Для радиоуправления моделями разрешается использовать радиопередатчики, работающие в диапазонах 28–28,2 МГц и 144–146 МГц мощностью не более 1 Вт, с занимаемой полосой частот не более 25 кГц и в полосе 26,957—27,283 МГц, мощностью до 0,5 Вт и полосой не более 20 кГц».
Под занимаемой полосой понимается интервал частот, за пределами которого средняя мощность излучения не превышает 0,5 % всей средней мощности излучаемого сигнала. Кроме того, Государственная комиссия по радиочастотам при Минсвязи России приняла решение № 7/5 от 02.04.01 г. «Об утверждении “Перечня радиоэлектронных средств, для которых не требуется разрешения на приобретение” и “Перечня радиоэлектронных средств, для которых не требуется разрешения на использование”», а Минсвязи России ввел его приказом № 136 от 10.05.2001.
Выдержки из этих документов приведены в табл. 3.1.
Постановлением Правительства Российской Федерации от 17.07.96 № 832 «Особью условия приобретения радиоэлектронных средств и высокочастотных устройств» (в редакции постановлений Правительства Российской Федерации от 07.08.98 № 909 и от 25.02.2000 № 157) определено, что не требуется разрешения органов государственной радиочастотной службы при Министерстве Российской Федерации по связи и информатизации на приобретение:
♦ абонентских терминалов глобальных систем подвижной персональной спутниковой связи;
♦ абонентских терминалов сети подвижной персональной спутниковой связи системы «Евтелтракс»;
♦ бесшнуровых телефонных аппаратов (радиотелефонов) с мощностью излучения передатчиков не более 10 мВт, работающих в полосах частот, выделенных Государственной комиссией по радиочастотам (ГК.РЧ);
♦ детских радиопереговорных устройств и радиоуправляемых игрушек, работающих в полосе радиочастот 26957—27283 кГц с мощностью излучения передатчиков не более 10 мВт.
Подробнее с указанными документами можно познакомиться в местных отделениях ГИЭ, где также будет необходимо зарегистрировать передатчик, если его средняя мощность превышает 10 мВт.
Таблица 3.1. Радиоэлектронные средства, не требующие разрешения на приобретение
Радиоэлектронное средство ∙ Частота, МГц ∙ Допустимая мощность, мВт
• Абонентские радиостанции CDMA протокола IS-95 при работе в отведенных диапазонах частот ∙ 828–837, 873–882 ∙ -
• Абонентские (использующие не более одного абонентского номера) стационарные радиотелефоны стандарта СТ-2 ∙ 864–868.2 ∙ 10
• Абонентские (использующие не более одного абонентского номера) стационарные радиотелефоны стандарта DECT ∙ 1880–1900 ∙ 10
• Абонентские терминалы подвижной спутниковой связи системы «ИН-МАРСАТ» стандартов А, В, С. М, М4. Mini-M, D01+. D02+ ∙ 1530–1544,1555-1559- космос — Земля; 1626,5-1645, 1656,5-1660-Земля — космос ∙ -
• Концертные радиомикрофоны ∙ 165,70; 166,10; 166,50; 167,15 ∙ 20
• Концертные радиомикрофоны ∙ 151–216, 175–230, 470–638, 710–726 ∙ 5
• Радиомикрофоны типа "Караоке" ∙ 66–74, 87.5-92, 100–108 ∙ 10
• Устройства охранной радиосигнализации автомашин ∙ 26.945 ∙ 2000
• Устройства охранной радиосигнализации автомашин ∙ 433,075–434,79; 433,92 ±0.2 % ∙ 5
• Устройства охранной радиосигнализации помещений ∙ 26.960 ∙ 2000
• Устройства дистанционного управления, охранной сигнализации и оповещения ∙ 433,9210.2 %; 433,075–434,79 ∙ 10
• Аппаратура радиоуправления моделями (самолетов, катеров и т. п.) ∙ 28 (28–28.2) ∙ 1000
• Аппаратура радиоуправления моделями (самолетов, катеров и т. п.) ∙ 40 (40,66–40,7) ∙ 1000
• Радиоэлектронные средства для обработки штрих-кодовых этикеток и передачи информации, полученной с этих этикеток ∙ 433,075–434,79; 433,92 ± 0.2 % ∙ 10
• Слухоречевые радиотренажеры для людей с дефектами слуха ∙ 33.2-57.5 ∙ 10
3.4.2. Структурная схема радиопередатчика
Командная посылка, сформированная шифратором, представляет собой последовательность прямоугольных импульсов, пригодных для непосредственного управления исполнительными механизмами только при использовании проводного канала связи между пультом управления и управляемым объектом. Но даже в этом случае сигнал в канал связи целесообразно подавать через дополнительное устройство — эмиттерный повторитель.
Дело в том, что у большинства рассмотренных шифраторов достаточно большое выходное сопротивление, а дешифраторы, как будет показано далее, собраны в основном на микросхемах серии КМОП, имеющих также высокое входное сопротивление. В таких условиях даже маломощные помехи (наводки от сети и т. п.) могут создавать в проводной линии напряжения, достаточные для срыва нормальной работы канала передачи. С этим утверждением легко согласиться, если вспомнить, что напряжение (действующее его значение) на сопротивлении R, при подводе к нему мощности
Р, определяется выражением
U = √(
P∙
R).
Легко подсчитать, что при мощности наводок всего в 1 мкВт и входном сопротивлении микросхемы 1 Мом, наводимое на ее входе напряжение составит 1 В. Если линию передачи подключить к выходу эмиттерного повторителя с нагрузочным сопротивлением, например в 100 Ом, то наводки в рассматриваемом примере снизятся до 10 мВ. Управление по проводной линии связи имеет смысл применять для стационарных объектов, удаленных на небольшие расстояния от пульта управления.
В случае применения радиоканала необходим передатчик, работающий в соответствующем частотном диапазоне. На рис. 3.7 приведена обобщенная структурная схема такого устройства. В конкретных реализациях передатчиков отдельные элементы этой схемы могут отсутствовать, тем не менее, полезно рассмотреть работу устройства по полной схеме.
Рис. 3.7. Структурная схема радиопередатчика
Задающий генератор обеспечивает формирование высокочастотных колебаний. Основным требованием к нему является обеспечение как можно более высокой стабильности частоты. Связано это с тем, что полоса пропускания приемников делается весьма узкой, чтобы снизить уровень внешних и внутренних шумов, снижающих чувствительность. Очевидно, стабильность частоты передатчика должна быть такой, чтобы его сигнал не выходил за пределы полосы пропускания приемника даже при максимальном уходе частоты от номинального значения.
Известно, что для любой схемы генератора справедливо утверждение: чем меньше его мощность, тем выше стабильность частоты вырабатываемых им колебаний. Обычно мощность не превышает 3–5 мВт, и только в простейших однокаскадных передатчиках доходит до 10 мВт, что является верхней границей для передатчиков, не требующих получения разрешения на постройку. Дальность действия аппаратуры в этом случае, даже для высокочувствительных приемников, составляет 100–120 м.
При необходимости, мощность повышают в последующих каскадах. Частично это происходит в буферном каскаде, основное назначение которого заключается в снижении влияния последующих каскадов на условия работы задающего генератора. Одновременно в буферном каскаде может быть организовано умножение частоты обычно в два, максимум — в три раза.
Дело в том, что иногда частоту задающего генератора целесообразно выбирать в целое число раз меньшей, чем необходимая частота излучения. В этом случае упрощается схемотехника задающего генератора и процедура его настройки. Кроме того, иногда непросто найти кварцевый резонатор, имеющий непосредственно требуемую частоту.
Усилитель мощности решает задачу доведения мощности излучения до требуемого уровня, от которого, в конечном счете, зависит дальность действия канала связи. Часто эти каскады с целью повышения КПД рассчитывают на нелинейный режим работы (при этом образуются высшие гармоники значительной амплитуды). Для их эффективного подавления на выходе передатчика устанавливается колебательная система. Помимо фильтрации она решает еще одну очень важную задачу согласования выходного сопротивления передатчика с входным сопротивлением антенны, что необходимо для максимизации КПД устройства в целом.
Модулятор обеспечивает управление одним из параметров высокочастотных колебаний по закону изменения командной посылки. Обычно изменяется или амплитуда колебаний, или частота. При амплитудной модуляции, обычно 100-процентной, называемой манипуляцией, целесообразно реализовывать ее не в задающем генераторе, а в последующих каскадах. Дело в том, что любое вмешательство в работу задающего генератора ухудшает его стабильность. Если же генератор имеет кварцевую стабилизацию, то в силу высокой добротности кварцевого генератора колебания нарастают и спадают за время, соизмеримое с длительностями генерируемых импульсов, что приводит к существенному «завалу» фронтов, а значит и к изменению длительности импульсов.
Это создает дополнительные сложности в процессе управления, так как именно в длительности зачастую и закодирована передаваемая команда. Манипуляция в выходном каскаде также не всегда оправдана, так как приходится коммутировать значительные мощности, требующие соответственно и повышенной мощности модулятора. Наиболее целесообразно реализовывать манипуляцию в промежуточных (буферных) каскадах.
Частотная модуляция может быть реализована только в задающем генераторе, поскольку именно он и определяет значение генерируемой частоты. Для изменения частоты необходимо менять значение параметра одного из реактивных элементов, входящих в состав генератора. Проще всего реализовать изменение емкости, применяя в составе колебательных систем генераторов варикапы.
В бескварцевых генераторах варикап включается в состав частотозадающего колебательного контура, а в кварцевых — последовательно с кварцевым резонатором, что позволяет перестраивать частоту в приемлемом диапазоне.
Достоинствами частотной модуляции являются простота реализации и высокая помехозащищенность канала связи.
3.4.3. Модуляция
Основные положения
Одним из нормируемых параметров излучения передатчиков является активная ширина спектра излучаемого сигнала (Δ
fс). Для аппаратуры радиоуправления, как отмечалось ранее, она не должна превышать 20–25 кГц. Активная ширина спектра зависит как от ширины спектра низкочастотного модулирующего сигнала (Δ
Fс), так и от вида модуляции.
Для амплитудной манипуляции несущего колебания (
uвч) прямоугольными импульсами (
uнч) график излучаемого сигнала (
uвых) и его спектр изображены на рис. 3.8. Расстояние по оси частот между соседними гармониками в спектре определяется периодом повторения прямоугольных импульсов, а координаты нулей огибающей — длительностью импульсов. Спектр симметричен относительно несущей частоты и хотя он теоретически бесконечен, амплитуда гармонических составляющих убывает по мере удаления от несущей частоты по закону
sin(
x)/
x.
На практике за активную ширину спектра Δ
fс принимают интервал частот, в пределах которого сосредоточены спектральные составляющие, переносящие 95 % энергии всего сигнала. Для прямоугольных импульсов ширина спектра связана с длительностью импульсов выражением Δ
fс = 2Δ
Fс, где Δ
Fс ~= 1,37/
τи. Отбрасывание остальных спектральных составляющих приводит лишь к небольшому заваливанию фронтов прямоугольных импульсов.
Последние соотношения позволяют определить минимальную длительность, которую могут иметь импульсы командной посылки, чтобы ширина спектра излучаемого сигнала не превышала разрешенных 20–25 кГц. Действительно,
τи = 2∙1.37/Δ
fс = 2,74/20 ~= 0,14 мс.
В случае узкополосной частотной модуляции, применяемой в радиоуправлении, активная ширина спектра связана с длительностью импульсов выражением [2]
Δ
fс = 2∙(Δ
f + Δ
Fс),
где Δ
f — девиация частоты, представляющая собой максимальное отклонение излучаемой частоты от среднего значения f
0. В аппаратуре радиоуправления эта величина обычно составляет 2—10 кГц в зависимости от применяемого диапазона частот. В диапазоне 27 МГц вполне достаточно 2 кГц, поэтому минимальная длительность импульсов командной посылки должна быть
τи = 2,74/(Δ
fс — 2∙Δ
f) = 2.74/(20 — 4) ~= 0,2 мс.
Рис. 3.8. Амплитудная манипуляция
У рассматриваемого вопроса есть и другая сторона. В качестве фильтров промежуточной частоты современных приемников используются пьезоэлектрические неперестраиваемые фильтры, полоса пропускания которых лежит в пределах 4—12 кГц. Эти фильтры определяют результирующую полосу пропускания приемника. Очевидно, активная ширина спектра сигнала не должна превышать полосу пропускания приемника во избежание неоправданных потерь энергии сигнала.
С учетом нестабильности частоты задающего генератора передатчика и гетеродина приемника, необходимо иметь небольшой запас по полосе, чтобы исключить выход части спектральных составляющих сигнала за пределы полосы пропускания приемника. Если ограничить по этим причинам активную ширину спектра десятью килогерцами, то минимальная длительность импульсов при ЧМ-модуляции составит, как легко убедиться, 0,46 мс. Во всех вариантах шифраторов, описанных выше, длительность импульсов командной посылки была выбрана равной 0,5 мс.
Принципиальная схема
На рис. 3.9 приведена наиболее распространенная схема амплитудного манипулятора, применяемого в радиоуправлении. Задающий генератор с кварцевой стабилизацией частоты собран на транзисторе VT1.
Рис. 3.9. Принципиальная схема амплитудного манипулятора
После подачи питающего напряжения он работает непрерывно. Колебания с его выхода через конденсатор С2 подаются на базу буферного каскада, реализованного на транзисторе VT2. Между эмиттером этого транзистора и корпусом включен электронный ключ на транзисторе VT3, играющий роль манипулятора. В исходном состоянии база ключа соединена с корпусом через резистор R4, что обеспечивает запертое состояние ключа.
Колебания задающего генератора через буферныйкаскад не проходят. При поступлении положительного импульса на вход манипулятора транзистор VT3 открывается, соединяя эмиттер VT2 с корпусом по постоянному току. Конденсатор С5 блокирует по переменному току небольшое сопротивление участка «коллектор-эмиггер» открытого транзистора ключа. Буферный каскад начинает усиливать входные колебания, передавая их на вход последующих каскадов передатчика.
С целью повышения КПД буферный каскад работает в режиме класса В, для чего его база соединена с корпусом через резистор R3. Транзистор VT2 отпирается только на время положительной полуволны входного напряжения, из-за чего коллекторный ток представляет собой косинусоидальные импульсы. Как известно, в составе их спектра есть гармоники на частоте входного сигнала и на кратных ей частотах. Колебательный контур С6, L2 настраивается либо на первую, либо на вторую, либо на третью гармонику этих колебаний, обеспечивая соответственно просто усиление колебаний задающего генератора, удвоение или утроение их частоты.
Для реализации частотной модуляции используют в основном два способа. В первом случае (рис. 3.10) последовательно с кварцевым резонатором в задающем генераторе включается варикап (полупроводниковый диод, включаемый в обратном направлении, постоянное напряжение на котором способно изменять толщину запирающего слоя, а значит и величину барьерной емкости). Включение емкости последовательно с кварцевым резонатором увеличивает частоту генерации на небольшую величину. Такое явление называется затягиванием частоты кварца; величина затягивания может составлять (3–5)∙10
-5 от рабочей частоты кварца. Нетрудно убедиться, что в диапазоне 27 МГц можно получить величину затягивания (девиацию частоты) порядка 10 кГц.
Рис. 3.10. Схема первого варианта частотного манипулятора
Включение последовательно с резонатором катушки индуктивности, наоборот, уменьшает частоту колебаний кварца. Катушка L1 предназначена для компенсации положительного ухода частоты кварцевого резонатора за счет подключения варикапа. Подстроечным сердечником этой катушки устанавливается исходное значение частоты резонатора.
Как правило, варикапы требуют подачи исходного запирающего смещения, величиной которого можно выбирать исходное значение емкости варикапа. Это, в свою очередь, определяет диапазон перестройки емкости под действием командной посылки, а значит и девиацию частоты. Для этой цели служат резисторы R2, R3. Резистор R1 является развязывающим.
Он препятствует подключению параллельно варикапу выходных цепей шифратора, что могло бы ухудшить добротность частотозадающей цепи генератора. Конденсатор С1 препятствует проникновению высокочастотных колебаний из генератора в цепи шифратора.
В рассмотренной схеме положительные входные импульсы вызывают увеличение частоты генерируемых колебаний, т. е. положительную девиацию.
Второй вариант частотного модулятора
Второй вариант частотного модулятора приведен на рис. 3.11. В исходном состоянии транзистор VT1 заперт, так как его база соединена с корпусом через резистор R1.
Рис. 3.11.
Схема второго варианта частотного манипулятора
Последовательно с кварцевым резонатором включена емкость конденсатора С2 небольшой величины (3—15 пФ). Частота кварца в результате смещена вверх. При поступлении положительного импульса на вход, транзистор VT1 открывается и через малое сопротивление участка «коллектор-эмиттер» подключает конденсатор С1 (5—30 пФ) параллельно С2. Увеличение результирующей емкости приводит к снижению частоты генерации в сторону номинального значения. Величину девиации можно регулировать, подстраивая как С1, так и С2. В отличие от предыдущего варианта девиация здесь, в ответ на положительный входной импульс, отрицательна.
3.4.4. Выходные каскады передатчиков
Основные положения
Как уже отмечалось, выходные каскады решают задачу доведения мощности передатчика до требуемого значения и согласованной ее передачи в антенну. При автономном питании передатчика одним из важных параметров является его коэффициент полезного действия, определяемый как
η =
P1/
P0 =
P1/(
P1 +
Pк) (3.1)
где
Р1 — номинальная выходная мощность передатчика;
Р0 — мощность, потребляемая от источника питания;
Рк — мощность, рассеиваемая на коллекторе транзистора.
Упрощенная схема выходного каскада в общем случае имеет вид, изображенный на рис. 3.12.
Рис. 3.12. Принципиальная схема выходного (буферного) каскада
Принцип действия
Выходные каскады в передатчиках могут работать в одном из трех режимов усиления: режиме класса А; режиме класса В; режиме класса С. Рассмотрим их последовательно.
Режим класса А характеризуется тем, что коллекторный ток транзистора выходного каскада протекает в течение всего периода колебаний усиливаемого сигнала (рис. 3.13). Для этой цели на базу транзистора с помощью делителя R1R2 подается такое напряжение смещения, при котором, в отсутствие входного сигнала, ток коллектора (
I0) был бы равен максимальной амплитуде коллекторного тока при наличии входного сигнала (
I1). Исходное положение транзистора при отсутствии входного сигнала называется рабочей точкой (РТ).
На рис. 3.13,
а изображено семейство идеализированных выходных характеристик транзистора, представляющих собой зависимости коллекторного тока от напряжения на коллекторе, для различных токов базы. Наклонная линия на графике представляет собой динамическую нагрузочную прямую, отражающую зависимость тока через нагрузку усилителя (колебательный контур) от напряжения на контуре.
Рис. 3.13. Режим класса А
Очевидно, что напряжение на коллекторе в любой момент времени равно алгебраической (с учетом знаков) сумме напряжения источника питания (
Uп) и текущего напряжения на контуре Наклон динамической характеристики определяется величиной сопротивления нагрузки (
Rн) по переменному току. Положение рабочей точки соответствует начальному току
I0. Очевидно мощность, отбираемая от источника, определится выражением:
P0 =
Uп∙
I0 (3.2)
При подаче на вход синусоидального напряжения (рис. 3.13,
б), коллекторный ток также будет меняться по синусоидальном) закону с амплитудой
I1 (рис. 3.13,
в). Поскольку нагрузочный контур настраивается в резонанс с входным сигналом, сопротивление его носит чисто активный характер и амплитуда напряжения на контуре определится выражением
U =
I∙
Rн. Очевидно, можно подобрать такую амплитуду входного сигнала, чтобы амплитуда коллекторного тока имела максимально возможное значение, при котором еще не наступают искажения формы тока.
В рассматриваемом случае эта амплитуда должна быть равна
I1 =
I0. Соответствующая амплитуда напряжения на контуре будет равна
Um (рис. 3.13,
б). Отметим, что мощность, отбираемая от источника питания за один период колебания, по-прежнему определится выражением (3.2), так как значение постоянной составляющей коллекторного тока в течение периода остается неизменным.
Мощность усиленного сигнала синусоидальной формы определяется произведением действующих значений тока и напряжения на нагрузке:
В формуле (3.3) учтено, что максимальное напряжение на контуре
Um делается обычно практически равным напряжению источника питания
Uп.
Подставляя правые части (3.3) и (3.2) в формулу (3.1), получим
η = 0,5. Таким образом, максимально достижимый КПД в режиме класса А не может превышать 50 % даже в идеальном случае.
Режим класса В иллюстрируется графиками на рис. 3.14.
Рис. 3.14. Режим класса В
В исходном состоянии напряжение смещения на базу транзистора не подается, для чего из схемы исключается резистор R1 (рис. 3.12). Коллекторный ток при этом равен нулю, и рабочая точка находится на оси коллекторных напряжений (рис. 3.14,
а). Сопротивление нагрузки, по сравнению с предыдущим случаем, должно быть в два раза меньше, из-за чего динамическая характеристика на графиках имеет больший угол наклона. Теперь коллекторный ток будет протекать только во время положительных полуволн входного напряжения и представляет собой синусоидальные импульсы с углом отсечки 90° (сплошная кривая на рис. 3.14,
в). Напомним, что углом отсечки (
θ) называется половина части периода, в течение которой протекает ток. Период синусоиды, как известно, равен 360°.
Синусоидальные импульсы тока, воздействуя на резонансный контур, вызывают в нем, по-прежнему, синусоидальные колебания (см. напряжение на контуре на рис. 3.14,
б). Здесь уместно сравнить колебательный контур с его механическим аналогом — маятником. Для того чтобы маятник совершал синусоидальные колебания, достаточно его подталкивать один раз за период в такт с совершаемыми колебаниями. Роль таких «толчков» в колебательном контуре играют синусоидальные импульсы.
Из курса радиотехники известно, что синусоидальные импульсы можно разложить в ряд Фурье, т. е. представить в виде суммы постоянной составляющей
I0, гармонического колебания с амплитудой
I1 на частоте воздействующего сигнала, гармонического колебания с амплитудой
I2 на удвоенной частоте и т. д. до бесконечности. Эти колебания называются спектральными составляющими (гармониками) импульсов, и их амплитуды уменьшаются с увеличением частоты гармоник. Поскольку колебательный контур настроен на частоту входного сигнала, то падение напряжения на нем будет создавать только первая гармоника с амплитудой
I1.
Для остальных гармоник контур имеет сопротивление, практически равное нулю. Амплитуды всех гармоник тока зависят от амплитуды синусоидального импульса
Im, его угла отсечки и легко вычисляются. Более того, для постоянной составляющей и нескольких первых гармоник существуют графики зависимостей коэффициентов этих гармоник (
αn) от угла отсечки. Называются они графиками Берга и для первых трех составляющих приведены на рис. 3.15.
Рис. 3.15. Графики Берга
Определим максимально достижимый КПД для режима В. Постоянная составляющая коллекторного тока теперь будет протекать только при наличии входного сигнала, и ее значение определится по формуле
I0 =
Im∙
α0. Коэффициент
α0, как это видно из графиков, равен 0,319. Амплитуда первой гармоники тока, создающая на контуре синусоидальное напряжение амплитудой
Um, вычисляется по формуле
I1 =
Im∙
α1. По графикам определяем
α1 =0,5. Очевидно, что амплитуда первой гармоники такая же, как в режиме класса А. Мощность полезного сигнала можно теперь записать в виде
Р1 ~=
Un∙
I1/2 =
Un∙0,5∙
Im/2.
Мощность, отбираемая от источника питания, примет вид
Р0 =
Un∙
I0 =
Un∙0,319∙
Im. Подставляя эти величины в (3.1), получим после сокращений
η = 0,784. Очевидно, режим класса В существенно выгоднее, чем А, особенно при батарейном питании передатчика.
В режиме класса С в эмиттерную цепь транзистора выходного каскада включают резистор, зашунтированный блокировочным конденсатором. Постоянная составляющая эмиттерного тока создает на нем постоянное напряжение смещения, минусом приложенное к базе. Рабочая точка транзистора на входных характеристиках смещается в область отрицательных значений напряжений на базе. Входной сигнал теперь будет открывать транзистор только на время, в течение которого алгебраическая сумма этого сигнала и напряжения смещения будет больше нуля. В результате угол отсечки изменяется и становится меньше 90°. Нетрудно убедиться, что выражение для КПД можно записать в виде
η =
α1/2
α0. Анализ графиков на рис. 3.15 показывает, что при уменьшении угла отсечки это отношение увеличивается. Так, например при
θ = 30°,
η «~= 0,97.
3.5. Радиопередатчики с амплитудной манипуляцией
3.5.1. Простейший передатчик на одном транзисторе
Принципиальная схема
Передатчик представляет собой простейший автогенератор (рис. 3.16). Поскольку в нем отсутствует кварцевая стабилизация частоты, его относительная нестабильность составляет величину δ
f ~= 10
-3. Несущая частота может регулироваться в пределах 27,12 МГц ±0,6 %. Выходная мощность 8—10 мВт. Ток, потребляемый от источника питания, не превышает 10 мА. В силу невысокой стабильности передатчик можно использовать только со сверхрегенеративными приемниками, которые, как известно, имеют широкую полосу пропускания. Амплитуда прямоугольных модулирующих импульсов положительной полярности должна лежать в пределах 4–5 В.
Рис. 3.16. Простейший передатчик
В исходном состоянии база транзистора VT1 соединена с корпусом через резистор R3, транзистор заперт и генерация отсутствует. Положительный модулирующий импульс запитывает базовую цепь смещения и на время его действия генератор вырабатывает высокочастотные колебания, частота которых определяется настройкой контура L1, С4, С5.
Антенна передатчика, для компенсации емкостной составляющей, снабжена удлинительной катушкой, роль которой выполняет стандартный дроссель Др1. С целью согласования малого сопротивления излучения антенны с контуром, подключение к нему реализовано через емкостной делитель С4, С5.
Для повышения стабильности частоты передатчика его можно запитать от батарейки «Крона» через пятивольтовый стабилизатор напряжения.
Детали и конструкция
Ввиду небольшого объема, печатную плату целесообразно выполнить совместно с платой шифратора. Вариант размещения компонентов схемы может быть такой, как показано на рис. 3.17.
На место транзистора VT1 может быть установлен КТ3102 с любым буквенным индексом. Контурная катушка L1 имеет 8 витков провода диаметром 0,3–0,5 мм и намотана на каркасе диаметром 5–7 мм с подстроечным сердечником из карбонильного железа. Дроссель Др1 применен стандартный, типа ДМ-0,1 на 4–5 мкГн. Антенна телескопическая, длиной 40–60 см, но можно обойтись и отрезком жесткого провода.
Рис. 3.17. Печатная плата
Настройка
Настройка заключается в установке требуемой частоты с помощью сердечника катушки L1. Для этих целей удобно применить предварительно настроенный приемник, с которым предполагается использовать передатчик. К передатчику должна быть подключена штатная антенна. Модуляционный вход временно подключается к плюсу источника питания, чем обеспечивается режим непрерывной генерации.
Подключив к выходу приемника осциллограф или высокоомные наушники, необходимо убедиться в наличии интенсивных шумов (имеется в виду выход собственно приемника, а не дешифратора). Вращением сердечника катушки L1 передатчика добиваются пропадания шумов. Затем необходимо определить два крайних положения сердечника (вворачивая и выворачивая его и подсчитывая при этом обороты), при которых шумы начинают появляться вновь. Сердечник необходимо установить в положение, соответствующее середине этого интервала, отсчитав требуемое количество оборотов. Точность настройки будет тем выше, чем больше расстояние между передатчиком и приемником.
3.5.2. Емкостная трехточка
Принципиальная схема
Если под руками нет подходящего каркаса с карбонильным сердечником, передатчик можно собрать по схеме, приведенной на рис. 3.18. Между коллектором и эмиттером включена емкость С5, между эмиттером и базой — емкость, образованная последовательным соединением С6 и С2, а между коллектором и базой — колебательный контур, расстроенный таким образом, что его сопротивление носит индуктивный характер.
Рис. 3.18. Емкостная трехточка
Верхняя точка схемы соединена с базой через конденсаторы С1 и С2, имеющие для переменного тока рабочей частоты пренебрежимо малое сопротивление. Таким образом, генератор представляет собой классическую емкостную трехточечную схему. Частота самовозбуждения определяется параметрами коллекторного контура и может подстраиваться в небольших пределах конденсатором С4. Антенна через удлинительную катушку подключается к среднему выводу контурной катушки, что обеспечивает режим согласования.
Передатчик предназначен для работы со сверхрегенеративным приемником.
Генератор рассчитан на совместное использование с шифратором, на выходе которого имеется ключевой транзистор (например, вариант, описанный в
разделе 2.2.1). При использовании с шифраторами, имеющими высокоомный выход, модулирующий сигнал следует подавать на верхний вывод резистора R1, предварительно отсоединив его от схемы. Источник питания в этом случае подсоединяется к выводам схемы, заканчивающимися стрелками. Параметры передатчика при напряжении питания 9 В полностью аналогичны предыдущему варианту.
Детали и конструкция
Детали и конструкция никаких особенностей не имеют, за исключением контурной катушки. Она выполнена бескаркасной и содержит 2x5 витков провода диаметром 0,7 мм, намотанных виток к витку на оправке диаметром 6 мм. Антенна — штырь длиной 40–60 см. Подстроенный конденсатор С4 типа КТ-21, КТ-25, либо КПК-МН. Постоянные конденсаторы — КМ-6, КД, либо дисковые импортные. Чертеж печатной платы приведен на рис. 3.19.
Рис. 3.19. Печатная плата
Настройка
Настройка передатчика производится так же, как и в предыдущем варианте.
3.5.3. Передатчик на двух транзисторах
Принципиальная схема
В двух предыдущих вариантах передатчиков антенна подключена непосредственно к самому генератору, задающему частоту излучаемых колебаний. Любые изменения длины антенны, ее положения по отношению к телу оператора и окружающим предметам оказывают влияние на режим работы генератора. В результате значительно меняется не только частота, но и мощность, излучаемая в эфир, что пагубно сказывается на дальности уверенного управления моделью. Добавление буферного каскада между задающим генератором и антенной улучшает ситуацию. Буферный каскад можно сравнить с амортизаторами у автомобиля, существенно сглаживающими действие неровностей дороги. Схема такого передатчика изображена на рис. 3.20.
Рис. 3.20. Принципиальная схема двухкаскадный передатчик
Мощность по-прежнему равна 10 мВт. Частота несущей — 27,12 МГц ±40 кГц.
Ток потребления при напряжении источника питания 9 В не превышает 10 мА. Амплитуда модулирующих импульсов должна быть 4–5 В. Задающий генератор собран на транзисторе VT2 по схеме емкостной трехточки. Колебательный контур включен между коллектором и базой. Генерация возникает на частоте чуть ниже резонанса контура, при которой его сопротивление носит индуктивный характер.
Контур включен частично, что уменьшает шунтирующее действие на него параметров транзистора, а значит делает частоту колебаний более стабильной. Нагрузкой генератора служит дроссель Др1, колебания с которого подаются на базу буферного каскада, реализованного на транзисторе VT3. Каскад работает в режиме класса В за счет того, что на его базе отсутствует постоянное напряжение смещения по отношению к эмиттеру.
Транзистор открывается на время отрицательной (относительно корпуса) полуволны базового напряжения, за счет чего коллекторный ток представляет собой синусоидальные импульсы с углом отсечки меньше 90°, что обусловлено наличием резистора в эмиттерной цепи. Выходной П-образный фильтр С6, L2, С7 обеспечивает подавление высших гармоник в спектре выходных колебаний. Удлинительная катушка L3 позволяет подстраивать передатчик в режим согласования при использовании антенн различных размеров. В схеме применена модуляция путем коммутации напряжения питания базовой цепи задающего генератора передатчика с помощью ключа VT1.
Детали и конструкция
Печатная плата изображена на рис. 3.21. Катушки L1, L3 намотаны на стандартных каркасах диаметром 5–6 мм с подстроечными сердечниками из карбонильного железа или высокочастотного феррита марок 15—100 ВЧ. Они содержат 8 и 14 витков провода диаметром 0,5 мм и 0,25 мм соответственно. Бескаркасная катушка L2 намотана на оправке диаметром 7 мм и содержит 10 витков провода диаметром 0,6 мм. Дроссели Др1, Др2 — типа ДМ-0,1 на 50–68 мкГн. Постоянные конденсаторы могут быть любого типа. С1 и С2 желательно использовать с хорошим ТКЕ, например группы МП0, ПЗЗ, М47. Транзисторы VT1, VT2 можно заменить на КТ3102, a VT3 — на КТ3107 с любыми буквенными индексами. Антенна телескопическая или проволочная, длиной 40—100 см.
Рис. 3.21. Печатная плата
Настройка
Вход передатчика временно соединить с плюсом источника питания через резистор на 10–15 кОм. К выходу подключить штатную антенну. К щупам осциллографа присоединить катушку из 10–15 витков жесткого провода, намотанную на оправке диаметром 8—10 мм. Чувствительность осциллографа установить максимальной и расположить катушку вблизи антенны передатчика. Вращением сердечников катушек L1 и L3 добиться появления на экране колебаний.
Осциллограф должен иметь верхнюю граничную частоту не ниже 20 МГц. Переключить щуп с катушкой на вход электронного частотомера и сердечником L2 установить частоту 27,12 МГц ±0,6 %. Переключиться снова на осциллограф и сердечником L3 добиться максимума амплитуды наблюдаемых колебаний. Сжимая и растягивая витки катушки L2, уточнить требуемое положение витков также по максимуму колебаний на экране осциллографа.
При отсутствии частотомера несущую частот)' передатчика настраивают с использованием собственного приемника по методике, описанной в предыдущем разделе.
Окончательную доводку полезно производить на полностью собранном комплекте по максимуму амплитуды импульсов, наблюдаемых на выходе приемника (до дешифратора).
3.5.4. Передатчик повышенной мощности
Принципиальная схема
На рис. 3.22 приведена схема передатчика, собранного по двухтактной схеме. В таком передатчике можно получить выходную мощность до 180 мВт. Повышение мощности задающего генератора всегда отрицательно сказывается на его стабильности, поэтому передатчик можно использовать только со сверхрегенеративными приемниками.
Несущая частота может быть настроена в пределах 27–28 МГ ц. По сути, это два одинаковых усилительных каскада, собранных на транзисторах VT1, VT2, выход каждого из которых связан со входом противоположного через конденсаторы Cl, С2, образуя межкаскадную положительную обратную связь (ПОС).
Нагрузкой каскадов являются половинки контурной катушки L1. В такой системе возникают гармонические колебания, частота которых определяется параметрами контура L1C4. Через каждый из транзисторов ток протекает в течение половины периода генерируемых колебаний. Постоянная составляющая тока невелика, поэтому в такой схеме получается достаточно высокий КПД. Катушка связи L2 передает энергию колебаний в антенную цепь.
Надлежащим выбором соотношения витков L1 и L2 обеспечивается режим согласования с антенной. Высшие гармоники в спектре вырабатываемых колебаний подавляются Г-образным фильтром L3C6, точная настройка которого с помощью L3, кроме того, обеспечивает компенсацию реактивной составляющей сопротивления антенны.
Генерация возможна только при открытом состоянии транзистора VT3, играющего роль электронного ключа. На его вход подаются положительные импульсы с выхода шифратора. Конденсатор С3 предназначен для шунтирования эмиттерных цепей генератора на вырабатываемой частоте. Резистор R5 определяет режим транзисторов по постоянному току. С его помощью можно в значительных пределах менять мощность вырабатываемых колебаний.
Рис. 3.22.
Принципиальная схема передатчика повышенной мощности
Детали и конструкция
Один из возможных вариантов разводки печатной платы приведен на рис. 3.23. На плате предусмотрено место для конденсатора С4', отсутствующего на принципиальной схеме. Необходимость в его установке может возникнуть при настройке передатчика. Катушки L1 и L2 намотаны на одном каркасе диаметром 7–8 мм. L1 содержит восемь витков с отводом от середины, a L2 — 4 витка. В обоих случаях применен провод диаметром 0,5 мм. Конструктивно катушка L2 располагается между половинками L1. Намотка производится виток к витку. Каркас устанавливается на плате горизонтально.
Для уменьшения взаимного влияния катушка L3 устанавливается вертикально и имеет 12 витков того же провода на каркасе диаметром 7–9 мм с подстроечным сердечником из карбонильного железа или высокочастотного феррита. Для удобства настройки конденсатор С4 составлен из двух: постоянного (С4'), емкостью 15 пФ, и подстроечного, типа КТ-21, КТ-25, либо КПК-МН. Все постоянные конденсаторы — керамические. Для транзисторов возможна стандартная замена на КТ3102 с любым буквенным индексом. Антенна— отрезок провода или штырь длиной 50–90 см.
Рис. 3.23.
Печатная плата
Настройка
Модуляционный вход необходимо временно соединить с плюсом источника питания. Замкнув накоротко щупы осциллографа, располагают их в непосредственной близости от антенны. Чувствительность канала вертикального отклонения устанавливается максимальной. Длительность горизонтальной развертки нужно установить равной 20 мкс/дел. При исправных деталях и правильном монтаже, на экране должны наблюдаться 5–6 периодов высокочастотных колебаний. Подстроечным конденсатором С4 устанавливается требуемая частота колебаний (например 27,12 МГц). Для этого необходимо добиться, чтобы пять периодов на экране осциллографа занимали 184 мкс. При наличии цифрового частотомера закороченные щупы переключаются на его вход, что позволяет установить требуемую частоту гораздо точнее.
После установки частоты сердечником катушки L3 устанавливается режим согласования, о чем будет свидетельствовать максимум амплитуды колебаний на экране осциллографа. Поскольку антенный контур и контур генератора взаимосвязаны, после установки оптимальной связи необходимо заново уточнить значение частоты. Последние две операции полезно произвести несколько раз, чтобы добиться как требуемого значения частоты, так и наилучшего согласования с антенной.
Изменяя сопротивление резистора R5 в пределах 20—200 Ом, можно в широких пределах менять выходную мощность передатчика.
3.5.5. Передатчик с кварцевой стабилизацией частоты
Принципиальная схема
Применение супергетеродинных приемников, полосу пропускания которых можно сужать вплоть до знамения активной ширины спектра принимаемого сигнала, позволяет существенно повысить помехозащищенность приемников и их чувствительность. Как результат, возрастает дальность действия аппаратуры без увеличения мощности передатчика.
Однако супергетеродинные приемники, полоса пропускания которых не превышает 10–12 кГц, требуют такой высокой стабильности передатчиков, при которой уходы излучаемой частоты не будут превышать 5—10 % от полосы пропускания. В абсолютном исчислении это 0,5–1,2 кГц. Следовательно, относительная нестабильность передатчиков в диапазоне 27–28 МГц не должна превышать 1,8∙10
-5. Такие высокие требования могут обеспечить только генераторы, стабилизированные кварцем.
Выше уже отмечалось, что модуляцию в самом задающем генераторе осуществлять нецелесообразно, поэтому передатчики получаются как минимум двухкаскадные. На рис. 3.24 приведена схема такого передатчика, в которой кварц ZQ1 работает на третьей механической гармонике. Резонатор включен между коллектором и базой транзистора, что, как показывает практика, позволяет сочетать простоту схемы с высокой надежностью ее работы даже с кварцами, имеющими низкую активность. Выходная мощность передатчика не превышает 10 мВт.
Рис. 3.24. Принципиальная схема передатчика с кварцевой стабилизацией частоты
Необходимо иметь в виду, что кварцы, работающие на первой гармонике, выпускаются в основном до 20 МГц. Поскольку резонансная частота зависит от геометрических размеров пластины кварца, то на более высоких частотах размеры получаются столь малы, что технологически трудно изготовить пластину с требуемыми характеристиками. По этой причине, если на корпусе кварца нанесена частота более чем 20 МГц, то это кварц, с большой вероятностью, гармониковый.
Поскольку на противоположных гранях пластины должны наводиться (за счет пьезоэффекта) противоположные потенциалы, то возбуждение возможно только на нечетных гармониках, обычно не выше седьмой. Чтобы такой кварц не возбудился на основной частоте, в схеме обязательно должен быть контур, настроенный на требуемую гармонику. В рассматриваемой схеме этот контур состоит из индуктивности L1 и конденсатора С2.
На транзисторе VT2 реализован усилитель мощности, работающий в режиме класса В за счет отсутствия постоянного смещения на базе транзистора. Эмиттерная цепь этого транзистора коммутируется электронным ключом VT2, управляемым по базе модулирующими импульсами с выхода шифратора. Антенна подключена к выходному контуру через удлинительную катушку L3. Применено частичное включение через емкостной делитель С6С7, обеспечивающее режим согласования.
Фильтр R4C1, через который запитан каскад задающего генератора, обеспечивает устранение гальванической обратной связи через общий источник питания, что могло бы привести к паразитной генерации передатчика в целом.
Детали и конструкция
Печатная плата изображена на рис. 3.25. Кварцевый резонатор ZQ1 использован на частоту 27,12 МГц. Можно применить и достаточно распространенные на 27,14 МГц. Катушка L1 представляет собой 24 витка провода диаметром 0,12—0,15, намотанные на резисторе МЛТ-0,5 сопротивлением не менее 100 кОм. L2 намотана на каркасе диаметром 6 мм с подстроечным сердечником из карбонильного железа и имеет 9 витков провода диаметром 0,5 мм.
Удлинительная катушка L3 представляет собой стандартный дроссель ДМ (ДПМ) на 5 мкГн. Все транзисторы могут иметь любой буквенный индекс, также возможна замена на КТ3102. Конденсаторы керамические, типа КМ-5, КМ-6 или им аналогичные. Антенна штыревая, длиной 40–60 см.
Рис. 3.25. Печатная плата
Настройка
Настройка сводится к установке сердечника L2 в такое положение, при котором обеспечивается максимум амплитуды выходных колебаний. Предварительно модуляционный вход соединяется с плюсом источника питания. Амплитуда контролируется с помощью осциллографа так, как это описано в предыдущих параграфах. Между базой VT1 и корпусом на схеме пунктиром изображен конденсатор (на плате для него предусмотрено место). Если генератор не будет самовозбуждаться (из-за низкой активности кварца), на это место нужно впаять конденсатор, подобрав его в диапазоне 120–180 пФ по максимуму выходных колебаний. При отсутствии указанных кварцев можно попробовать установить резонаторы на частоту, в три раза меньшую требуемой (9,04—9,046). Передатчик уверенно работает при снижении напряжения питания до 5 В.
3.5.6. Передатчик с умножением частоты
Принципиальная схема
При использовании приемников прямого преобразования, гетеродины которых работают на частоте, в два раза меньшей несущей частоты передатчика (см.
раздел 4.7.1), в передатчике и приемнике удобно использовать кварцевые резонаторы на одну и ту же частоту, равную половине рабочей. В передатчике при этом необходимо обеспечивать умножение частоты генерируемых колебаний на два.
Принципиальная схема такого передатчика приведена на рис. 3.26. Задающий генератор, собранный на транзисторе VT1, вырабатывает колебания на частоте, в два раза меньшей частоты излучения. Выходной каскад работает в режиме класса В и, помимо усиления мощности, обеспечивает удвоение частоты колебаний, поступающих на его вход за счет настройки контура L3C6 на вторую гармонику входного сигнала. В нем же организована амплитудная манипуляция путем коммутации по постоянному току эмиттерной цепи выходного транзистора с помощью ключа VT3.
Дроссель Др1 играет роль удлинительной катушки, компенсирующей емкостную составляющую входного сопротивления укороченной антенны. Катушка L1 предназначена для небольшого «увода» частоты задающего генератора от номинального значения, что необходимо для нормальной работы с приемником прямого преобразования. Частота излучаемых колебаний передатчика — 28 МГц.
Рис. 3.26. Принципиальная схема передатчика с удвоением частоты
Детали и конструкция
Все конденсаторы, кроме С8, должны быть керамическими. Резисторы— типа МЛТ-0,125 или им подобные. Катушка L1 содержит 30 витков провода диаметром 0,12 мм и намотана на каркасе диаметром 5–6 мм с подстроечным сердечником из карбонильного железа. Катушка L2 имеет аналогичный каркас, на который намотано 7 витков провода диаметром 0,25 мм.
Катушка выходного контура L3 бескаркасная и наматывается на оправке диаметром 6 мм. Она содержит десять витков провода диаметром 0,7–0,8 мм, отвод выполняется от середины. Дроссель L3 — стандартный типа ДМ индуктивностью 4–6 мкГн. В качестве антенны передатчика можно использовать любую штыревую, длиной 30–80 см. Источник питания должен быть рассчитан на номинальный ток не менее 20 мА, тогда его емкости хватит на несколько часов непрерывной работы. Печатная плата выполняется из одностороннего фольгированного стеклотекстолита толщиной 1–1,5 мм. Чертеж печатной платы со стороны соединений приведен на рис. 3.27. На плате предусмотрено место для установки резистора R0, отсутствующего на принципиальной схеме. Необходимость в нем может возникнуть при питании устройства от 7–9 В.
В этом случае выходная мощность может превышать разрешенные 10 мВт, и резистор предназначен для ее снижения. Величина сопротивления резистора подбирается опытным путем в диапазоне 10—100 Ом.
Рис. 3.27. Печатная плата
Настройка
Убедившись в правильности монтажа, установить сердечники обеих катушек в среднее положение. Временно соединить модуляционный вход с плюсом источника питания. Подключить питание и проконтролировать наличие излучения, расположив замкнутые между собой щупы осциллографа в непосредственной близости от передающей антенны. Чувствительность осциллографа должна быть включена максимальная.
Добиться максимума амплитуды наблюдаемых колебаний вращением сердечника катушки L2 и растяжением (сжатием) витков катушки L3. Отклонение от резонанса частоты выходного контура можно предварительно определить следующим образом. Постепенно поднося к катушке L3 кусочек любого феррита, наблюдать изменения амплитуды колебаний на экране осциллографа. Если колебания нарастают, то исходная индуктивность контура недостаточна, и витки катушки необходимо сжимать. В противном случае — растягивать.
В заключение проконтролировать ток, потребляемый передатчиком. При напряжении питания 5 В ток должен лежать в пределах 4–8 мА.
Окончательная установка частоты передатчика выполняется подстроечным сердечником катушки L1 при совместной работе с приемником. В результате настройки необходимо получить на выходе части приемника, предшествующей детекторной, разностную частоту 8—10 кГц.
3.5.7. Передатчик на интегральной микросхеме
Принципиальная схема
Микросхема МС2833, представляющая собой маломощный интегральный передатчик с частотной модуляцией, с успехом может быть использована и для работы в режиме амплитудной манипуляции. На рис. 3.28 приведена схема такого варианта ее включения.
Рис. 3.28. Принципиальная схема передатчика на интегральной схеме
Передатчик, благодаря наличию внутреннего стабилизатора, устойчиво работает в диапазоне питающих напряжений 3–9 В при токе потребления соответственно 6—15 мА в режиме смодулированной несущей. Мощность излучения при напряжении питания 5 В около 10 мВт. Частота излучения при использовании кварцевого резонатора, указанного на схеме, 28 МГц.
Амплитуда прямоугольных модулирующих импульсов положительной полярности, подаваемых на вход, может лежать в пределах 3–9 В, их длительность должна быть не менее 0,5 мс.
Принцип действия
Работает схема следующим образом. Задающий генератор, имеющийся в микросхеме, вырабатывает колебания, частота которых определяется кварцевым резонатором ZQ1. Внутренний частотный модулятор и модулирующий усилитель (МУ) не используются, и в небольших пределах частоту можно подстраивать с помощью сердечника катушки L1. Элементы С3, С4 и R1 обеспечивают требуемый режим работы задающего генератора. Колебания с его выхода, прошедшие буферный усилитель, имеющийся в микросхеме, поступают на ее вывод
14.
Через внешний конденсатор С5 колебания подаются на вывод
13 микросхемы, являющийся базовым выводом транзистора VT1. Этот транзистор используется в качестве выходного усилителя мощности, работающего в режиме удвоения частоты. Резистор R2 обеспечивает требуемый для умножения режим по постоянному току. Вторая гармоника коллекторного тока выделяется с помощью контура C6L2, настроенного на 28 МГц.
Дроссель L3 играет роль удлинительной катушки и предназначен для компенсации емкостного сопротивления укороченной антенны. Амплитудная манипуляция обеспечивается ключевым транзистором VT2, включенным в эмиттерную цепь усилителя-удвоителя. Управляющий сигнал в виде прямоугольных импульсов подается на вход передатчика со схемы шифратора аппаратуры.
Детали и конструкция
Все конденсаторы, кроме С3, должны быть керамическими. С3 — электролитический, любого типа, на напряжение не менее 10 В. Резисторы — типа MЛT-0,125 или им подобные. Катушка L1 содержит 30 витков провода диаметром 0,12 мм и намотана на каркасе диаметром 5–6 мм с подстроечным сердечником из карбонильного железа. Катушку желательно поместить в экран.
Катушка выходного контура L2 бескаркасная и наматывается на оправке диаметром 6 мм. Катушка содержит десять витков провода диаметром 0,7–0,8 мм, отвод делается от середины. Дроссель L3— стандартный типа ДМ индуктивностью 4–6 мкГн. В качестве антенны передатчика можно использовать любую штыревую, длиной 30–80 см. Источник питания должен быть рассчитан на номинальный ток не менее 20 мА.
Печатная плата выполняется из двухстороннего фольгированного стеклотекстолита, толщиной 1–1,5 мм. Со стороны установки деталей фольга сохраняется полностью, играя роль общего провода. Отверстия под выводы деталей, не соединяемых с корпусом, с этой стороны раззенковываются. Чертеж печатной платы со стороны соединений приведен на рис. 3.29. Выводы конденсаторов С2 и С7, соединенные с общим проводом, необходимо пропаять с обеих сторон платы. Незадействованные выводы микросхемы оставляют свободными.
Рис. 3.29. Печатная плата
Настройка
Убедившись в правильности монтажа, подключить питание и проконтролировать наличие высокочастотных (14 МГц) колебаний амплитудой около 200 мВ на выводе
14 микросхемы. Отсутствие колебаний свидетельствует о неисправности либо кварца, либо микросхемы.
При наличии частотомера сердечником катушки L1 установить частоту равной точно 14 МГц. Если даже при вывернутом сердечнике частота остается меньше необходимой (индуктивность включенная последовательно с кварцем снижает его резонансную частоту), следует вместо катушки впаять подстроечный конденсатор емкостью 4—30 пФ.
Далее необходимо временно подключить вход модуляции к плюсу источника питания, обеспечив тем самым работу выходного каскада передатчика. К щупам осциллографа подсоединить отрезок изолированного провода длиной 7—10 см, предварительно обмотав им антенну передатчика (3–4 витка). На экране должны наблюдаться колебания частоты 28 МГц. Сжимая или растягивая витки катушки L2, добиться максимума амплитуды наблюдаемых колебаний.
В заключение проконтролировать ток, потребляемый передатчиком. При напряжении питания 5 В ток должен лежать в пределах 8—10 мА.
Передатчик очень удобно использовать совместно с приемниками прямого преобразования, описанными в
разделе 4.7.5. Используя в передатчике и приемнике одинаковые кварцы, легко добиться требуемой разностной частоты на выходе смесителя приемника.
3.5.8. Передатчик мощностью 500 мВт
Принципиальная схема
Передатчик (рис. 3.30) может работать в диапазоне частот 27,12–28,2 МГц. Конкретное значение частоты определяется применяемым кварцем. В задающем генераторе, реализованном на транзисторе VT1, можно использовать кварцы как непосредственно на упомянутые частоты, так и на частоты в два (три) раза меньшие. В последнем случае буферный каскад на транзисторе VT2 дополнительно выполняет функции удвоителя (утроителя) частоты.
Номиналы элементов каскада задающего генератора указаны на схеме для случая использования кварцевого резонатора на 14 МГц. Частота выходных колебаний передатчика при этом будет равна 28 МГц. Амплитудная манипуляция осуществляется путем коммутации эмиттерной цепи транзистора буферного каскада с помощью электронного ключа VT3, управляемого импульсами с выхода шифратора.
Рис. 3.30. Принципиальная схема передатчика мощностью 500 мВт
Принцип действия
Усилитель мощности VT4 работает без начального смещения на базе, что обеспечивает отсечку коллекторного тока во времяотрицательных полупериодов входного напряжения. Угол отсечки выбран меньше 90° за счет применения в эмиттерной цепи низкоомного резистора R9. Постоянная составляющая эмиттерного тока создает на нем падение напряжения, смещающее рабочую точку транзистора в область отрицательных напряжений на базе. Уменьшение угла отсечки благотворно сказывается на КПД выходного каскада, который при тщательной настройке может достигать 70 %.
Выходной П-контур C10-L3-C11 обеспечивает подавление высших гармоник коллекторного тока и согласование выхода усилителя мощности с активной составляющей сопротивления антенны. Реактивная составляющая этого сопротивления компенсируется удлинительной катушкой L4. В буферном каскаде применено частичное включение контура в коллекторную цепь, что обеспечивает лучшее подавление основной гармоники при умножении частоты.
Рис. 3.31. Печатная плата
Детали и конструкция
Печатная плата выполнена из одностороннего стеклотекстолита. Ее разводка приведена на рис. 3.31. Кварцевый резонатор на 14 МГц использован малогабаритный типа РК-169. Если предполагается применение резонаторов на диапазон 9 МГц с последующим утроением частоты, то номиналы элементов С2, СЗ и R2 необходимо изменить на 180 пФ, 120 пФ и 2 кОм соответственно.
При использовании кварцев непосредственно на частоту излучения схему следует видоизменить, включив в коллекторную цепь транзистора VT1 колебательный контур. Левая обкладка конденсатора С4 при этом должен подключаться к коллектору транзистора. Катушка этого контура должна содержать 8 витков провода диаметром 0,35 мм на каркасе диаметром 5–6 мм с подстроечным сердечником из карбонильного железа или высокочастотного феррита. Конденсатор контура должен иметь емкость 27–33 пФ.
Катушки L1 и L4 наматываются на таких же каркасах и содержат 2x5 и 15 витков соответственно, причем в первой из них применен провод диаметром 0,35 мм, а во второй — 0,18 мм. L2 представляет собой стандартный дроссель индуктивностью 20–30 мкГн. Катушка L3 бескаркасная, содержит 7 витков провода диаметром 0,8 мм, намотанного виток к витку на оправке диаметром 6 мм.
Транзистор VT4 полезно снабдить небольшим радиатором. Если корпус передатчика металлический, а это всегда желательно, то выходной каскад можно собрать на транзисторе КТ644, закрепив его непосредственно на корпусе. Этот транзистор имеет
р-n-р проводимость, и его коллектор соединяется с общим проводом. Так как конструктивно коллектор соединен с металлической пластиной, имеющейся на корпусе транзистора, то изоляционная прокладка между транзистором и корпусом передатчика не понадобится. Схема выходного каскада для этого случая приведена на рис. 331. Катушка L1' содержит 2–3 витка провода диаметром 0,18 мм и наматывается поверх катушки L1.
Печатную плату при этом необходимо скорректировать.
Все конденсаторы в схеме применены керамические, например типа КМ-6. Транзисторы КТ315 могут иметь любой буквенный индекс или заменяются КТ3102. В качестве антенны желательно использовать штырь длиной 1,2–1,5 м.
Рис. 3.32.
Вариант выходного каскада
Настройка
Сначала впаиваются в плату детали, относящиеся к задающему генератору (все до резистора R4 включительно). К этому резистору подключается высокочастотный осциллограф, и на каскад подается напряжение питания. На экране должны наблюдаться синусоидальные колебания амплитудой 1,5–2 В и частотой 14 МГц. Причиной их отсутствия может быть только неправильный монтаж или неисправный кварцевый резонатор.
Убедившись в наличии колебаний, собирают буферный каскад до резистора R6 включительно. Вход модулятора временно соединяют с плюсом источника питания. На экране осциллографа, подключенного к резистору R6, должны наблюдаться колебания частоты 28 МГц. Амплитуды в соседних периодах могут отличаться друг от друга (через одну) за счет плохой фильтрации первой гармоники задающего генератора. Вращением сердечника катушки L1 необходимо свести к минимуму эти различия.
Далее впаиваются остальные детали, щупы осциллографа закорачиваются и располагаются в непосредственной близости от середины антенны. Чувствительность осциллографа устанавливается максимальной. После включения питания вращением сердечника катушки L4 устанавливается максимум амплитуды наблюдаемых колебаний. Затем уточняется положение витков катушки L3. Необходимо внутрь этой катушки внести пинцетом карбонильный или ферритовый сердечник.
Если при приближении сердечника амплитуда наблюдаемых колебаний увеличивается, значит индуктивность катушки недостаточна. Необходимо намотать новую катушку, увеличив число витков на 1–2. Если амплитуда уменьшалась, значит, индуктивность больше требуемой и необходимо аккуратно растянуть витки катушки до фиксации максимума амплитуды наблюдаемых колебаний. После этого уточнить положение сердечника удлинительной катушки L4.
Ток, потребляемый передатчиком при напряжении питания 12 В, должен лежать в пределах 80—120 мА. Выходная мощность при этом будет порядка 500–700 мВт (существенно зависит от длины антенны).
3.6. Передатчики с частотной модуляцией
3.6.1. Однотранзисторный передатчик
Принципиальная схема
Ранее отмечалось, что применять для радиоуправления можно только узкополосную ЧМ с девиацией, лежащей в пределах 2—10 кГц. Ширина дискриминационной характеристики ЧМ-приемника обычно выбирается чуть большей. Это означает, что стабильность несущей частоты передатчика должна быть такой, чтобы сигнал (при отсутствии модуляции) все время попадал примерно на середину характеристики. Если допустить возможное смещение несущей на 10 % от ширины дискриминационной характеристики, то абсолютный уход частоты передатчика не может превышать 200 Гц, а значит, относительная нестабильность в диапазоне 27 МГц должна быть не хуже 7∙10
-6, что можно обеспечить, только применяя кварцевую стабилизацию частоты.
Схема простейшего передатчика с варикапом в качестве элемента управления частотой приведена на рис. 3.33. Включение варикапа последовательно с кварцем повышает частоту, поэтому для компенсации начального сдвига применена катушка L1. Резистор R1 препятствует шунтированию варикапа выходной цепью шифратора. Выходная цепь передатчика полностью аналогична описанной в
разделе 3.5.5. Несколько большей выбрана емкость С4 для ослабления связи антенны с контуром, что необходимо для уменьшения ее дестабилизирующего влияния на режим работы генератора.
Частота колебаний определяется применяемым кварцевым резонатором ZQ1 и может лежать в пределах 27,12–28,2 МГц. Выходная мощность 5—10 мВт. Требуемая амплитуда модулирующих импульсов 4–5 В, девиация частоты при этом положительная и составляет величину 2–3 кГц.
Рис. 3.33. Принципиальная схема простейшего передатчика с ЧМ
Детали и конструкция
Детали и конструкция ничем не отличаются от бескварцевого варианта (
раздел 3.5.1). Варикап можно заменить любым из серии КВ 109 или матрицей КВС111. Печатная плата изображена на рис. 3.34.
Катушка L1 содержит 18 витков провода диаметром 0,18 мм на таком же каркасе, что и L2.
Рис. 3.34. Печатная плата
Настройка
Настройка сводится к установке сердечника катушки L1 в такое положение, при котором частота колебаний равна величине, указанной на корпусе используемого кварца. Измерить ее можно цифровым частотомером, расположив его закороченные щупы в непосредственной близости от антенны. Переключив щупы на вход осциллографа, устанавливают максимум амплитуды наблюдаемых колебаний с помощью сердечника L2.
При отсутствии частотомера можно воспользоваться приемником, предварительно настроенным на-рабочую частоту передатчика. Методом последовательного приближения, вращением сердечников L1, L2 добиваются максимума наблюдаемых на выходе приемника импульсов. К входу передатчика при этом должен быть подключен шифратор. Мощность передатчика можно регулировать в интервале 3—20 мВт подбором величины сопротивления R3 в пределах 27—470 Ом.
3.6.2. Двухкаскадный передатчик
Принципиальная схема
Схема передатчика (рис. 3.35) не имеет каких-либо особенностей. Частота задающего генератора стабилизирована кварцем ZQ1. Подстраиваемая индуктивность L1 обеспечивает компенсацию ухода частоты колебаний кварцевого резонатора за счет включения последовательно с ним варикапной матрицы VD1. Выходной каскад передатчика, собранный на транзисторе VT2, работает в режиме класса С, что обеспечивает высокий КПД каскада и возможность установки номинальной выходной мощности путем подбора величины резистора R8 в пределах 10–50 мВт. Дроссель Др1 улучшает согласование выходного каскада передатчика с укороченной антенной. В схеме применен кварцевый резонатор на 27,12 МГц.
Рис. 3.35. Принципиальная схема двухкаскадного передатчика
Детали и конструкция
В схеме передатчика все постоянные резисторы — типа МЛТ-0,125. Транзисторы можно заменить на КТ3102 с любым буквенным индексом. Конденсаторы — керамические КМ-6 или им аналогичные. Варикапную матрицу VD1 можно заменить двумя (или даже одним) варикапами КВ109 с любым буквенным индексом. При этом может понадобиться подбор резистора R1 для обеспечения заданной девиации.
Катушки L1 и L2 намотаны на каркасах диаметром 5–7 мм с резьбовым подстроечным сердечником М4 из карбонильного железа. L1 имеет 20 витков любого провода диаметром 0,2 мм. L2 — 10 витков провода диаметром 0,5 мм. Катушка L3 — бескаркасная, намотана проводом диаметром 0,8 мм на оправке диаметром 6 мм. Содержит 5 + 5 витков. Др1 — стандартный дроссель индуктивностью 4–5 мкГн. Антенна — телескопическая или штырь из толстого провода длиной 50–60 см.
Вариант печатной платы передатчика, совмещенного с шифратором, описанным в
разделе 2.3.10, приведен на рис. 2.50. Нумерация деталей на плате применена сквозная, поэтому номера элементов передатчика на плате и принципиальной схеме не совпадают, что следует учесть при монтаже. Печатная плата выполнена из одностороннего стеклотекстолита толщиной 1–1,5 мм. При автономном использовании передатчика не составит труда развести печатную плату самостоятельно, используя рис. 2.50.
Настройка
Для настройки передатчика можно воспользоваться осциллографом. Необходимо, установив максимальную чувствительность канала вертикального отклонения, замкнуть накоротко щупы осциллографа и расположить их на расстоянии 5—10 см от антенны передатчика. Включив питание передатчика, поочередной подстройкой сердечников катушек L1—L3 и растягиванием (сжатием) витков L4 добиться максимального размаха колебаний на экране осциллографа.
Полезно уточнить значение генерируемой частоты так, как это рекомендовано в
разделе 3.6.1. На рис. 3.36 приведен вариант передатчика, в котором можно использовать кварцевые резонаторы на 13,56–14,1 МГц с последующим умножением частоты на два. Данные катушек такие же, как и у предыдущего варианта, за исключением L2, которая должна содержать 6 витков провода диаметром 0,25 мм.
Рис. 3.36. Вариант с удвоением частоты
3.6.3. Передатчики на интегральной микросхеме
Принципиальная схема
Основные характеристики первого передатчика следующие:
♦ рабочая частота — 28 МГц;
♦ мощность передатчика — 10 мВт;
♦ девиация частоты — 2,5 кГц.
Передатчик (рис. 3.37) реализован на специализированной микросхеме, ранее использовавшейся в АМ-варианте. Отличие от последнего заключается в том, что кварцевый резонатор ZQ1 теперь подключен к модулятору на базе варикапа, имеющемуся в составе микросхемы. Катушка L1 по-прежнему используется для точной установки частоты. Командная посылка подается на потенциометр R4, с помощью которого можно регулировать девиацию частоты задающего генератора.
Усиленные колебания частотой 14 МГц поступают на вход выходного каскада, работающего в режиме удвоения частоты за счет соответствующей настройки контура L2C9. Транзистор VT2 не используется.
Рис. 3.37. Принципиальная схема передатчика на специализированной микросхеме
Детали и конструкция
Печатная плата передатчика изображена на рис. 3.38. Катушка L1 намотана на каркасе диаметром 5–6 мм с подстроечным сердечником из карбонильного железа и содержит 30 витков провода диаметром 0,12—0,15 мм. Катушка выходного контура L2 бескаркасная и наматывается на оправке диаметром 6 мм. Она содержит десять витков провода диаметром 0,7–0,8 мм, отвод делается от середины. Дроссель L3 — стандартный типа ДМ индуктивностью 4–6 мкГн. В качестве антенны передатчика можно использовать любую штыревую длиной 30–80 см.
Рис. 3.38. Печатная плата
Настройка
Настройка передатчика полностью аналогична описанной в
разделе 3.5.7. В заключение устанавливается девиация. Для этой цели можно использовать собственный приемник. На вход передатчика подается командная посылка от формирователя.
Подключив осциллограф к выходу приемника (до компаратора), наблюдают прямоугольные импульсы командной посылки (приемник и передатчик разнесены на расстояние 2–3 м, антенны отключены). Вращением потенциометра R4 из левого по схеме положения необходимо поймать момент, когда амплитуда импульсов на выходе приемника перестанет нарастать.
Мощность передатчика можно легко повысить до 40–60 мВт. Для этого достаточно использовать имеющийся в микросхеме транзистор VT2. Изменения, которые необходимо произвести в схеме, изображены на рис. 339.
Рис. 3.39. Повышение мощности до 50 мВт
Катушка L2 теперь должна иметь 6 витков провода диаметром 0,25 мм и иметь такой же каркас с сердечником, что и L1. Дроссель L3 — ДМ-0,1 на 20–50 мкГн. L4 аналогична L2, но имеет 8 витков провода. Удлиняющий дроссель L5 такой же, как и в предыдущем случае.
Доработав схему так, как это показано на рис. 3.40, можно получить выходную мощность 200–500 мВт при напряжении питания 4,5–9 В соответственно. Катушка L3 здесь бескаркасная, наматывается (на оправке диаметром 3 мм) проводом 0,6 мм и содержит 15 витков с отводом от шестого (сверху по схеме). Выходной транзистор — КТ645, КТ646, КТ603Б.
Рис. 3.40. Увеличение мощности до 500 мВт
3.6.4. Передатчик повышенной мощности
Принципиальная схема
Максимальная мощность передатчиков любительской аппаратуры радиоуправления, как отмечалось ранее, может достигать 1 Вт. Вариант такого передатчика, собранного из доступных деталей, приведен на рис. 3.41. Схема задающего генератора отличается от ранее рассмотренных только номиналами отдельных деталей.
На транзисторе VT2 собран буферный каскад. Здесь, как и в оконечном усилителе, применены транзисторы
р-n-р структуры, обеспечивающие возможность непосредственного крепления транзисторов к общему радиатору, например корпусу передатчика.
Буферный каскад работает в режиме класса С за счет того, что постоянная составляющая базового тока создает падение напряжения на резисторе R5, смещающее рабочую точку транзистора в область положительных напряжений на базе. Напомню, что для транзисторов
р-n-р структуры положительные напряжения являются запирающими.
Рис. 3.41. Принципиальная схема передатчика мощностью 1 Вт
В выходном каскаде применено точно такое же включение, но уже двух транзисторов, соединенных параллельно по переменному току. Общей нагрузкой для них является дроссель Др1. Для еще большего уменьшения угла отсечки, что повышает КПД каскада, помимо базовых цепей установлены низкоомные резисторы и в эмиттерных цепях транзисторов. Поскольку выходная мощность передатчика достаточно велика, для эффективного снижения амплитуды высших гармоник на выходе применен двухзвенный П-образный фильтр C9-L6-C10-L7-C12, обеспечивающий ослабление ближайшей второй гармоники не хуже, чем на 32 дБ.
Второй задачей, решаемой фильтром, является согласование выходного сопротивления усилителя мощности с активной составляющей входного сопротивления антенны. Реактивная составляющая этого сопротивления компенсируется удлинительной катушкой L8. Модулирующие импульсы подаются в точку соединения элементов R1 и С1.
Детали и конструкция
Печатную плату (рис. 3.42) желательно изготовить из двухстороннего текстолита, оставив фольгу со стороны расположения деталей в качестве общего провода. Для исключения замыканий, выводов деталей на корпус отверстия под выводы раззенковываются. При использовании одностороннего текстолита может потребоваться экранировка катушек L1—L5, L8.
Рис. 3.42. Печатная плата мощного передатчика
Кварцевый резонатор в задающем генераторе может быть нормирован на любую частоту диапазона 27–28 МГц, разрешенного для аппаратуры радиоуправления. Транзистор VT1 можно заменить КТ3102 с любым буквенным индексом. Данные катушек приведены в табл.3.2. Сердечник МР-100 представляет собой винт из карбонильного железа с резьбой М4.
Все конденсаторы — керамические типа КМ-5, КМ-6 или КД. Резисторы R9, R10 должны быть рассчитаны на мощность рассеивания 0,5 Вт. Транзисторы VT2—VT4 крепятся к общему радиатору, в качестве которого удобно использовать корпус передатчика.
Настройка
Перед включением питания необходимо временно заземлить модуляционный вход. Катушка L8 не впаивается, а вместо нее короткими проводниками подключается эквивалент антенны в виде резистора на 27–33 Ом, мощностью не менее 2 Вт. Антенный выход при этом заземляется. К щупам осциллографа подключить отрезок изолированного провода длиной 10–12 см и двумя-тремя витками диаметром 1 см намотать его вокруг каркаса катушек L2, L3, обеспечив тем самым слабую индуктивную связь с генератором.
Чувствительность осциллографа устанавливается максимальной. После подачи питающего напряжения, вращением сердечников катушек L1, L2, необходимо добиться максимума амплитуды наблюдаемых колебаний. Если при вращении сердечника L1 частота наблюдаемых колебаний заметно меняется, это означает, что генератор возбуждается на паразитной частоте из-за слишком большого значения индуктивности L1. Сердечник этой катушки следует вывинчивать до тех пор, пока частота не перестанет изменяться. Если этого недостаточно, необходимо отмотать 2–3 витка.
Далее щупы осциллографа подключаются к эквиваленту антенны через гасящий резистор сопротивлением 5—10 кОм. Вращением сердечника катушки L4 получают максимум наблюдаемых колебаний. Для уточнения индуктивностей катушек L6 и L7 необходимо поочередно поднести к ним карбонильный или ферритовый сердечник. Если эта манипуляция вызывает уменьшение амплитуды выходных колебаний, то индуктивность больше необходимой, и следует слегка растянуть витки. В противном случае катушка перематывается с увеличением количества витков до 7.
В заключение устанавливается на свое место L8, и подключается штатная антенна длинной 1,2–1,5 м. Короткозамкнутые щупы осциллографа располагаются на расстоянии 10–15 см от антенны, и сердечником катушки L8 устанавливается максимальная амплитуда наблюдаемых колебаний. С помощью частотомера или приемника аппаратуры, как это было рекомендовано в разделе 3.6.1, полезно уточнить значение генерируемой частоты и, при необходимости, скорректировать ее сердечником катушки L1. Если для этого потребовалось более одного оборота сердечника, необходимо повторить предыдущие настройки еще раз, но уже с подключенной антенной. Поскольку на выходе передатчика уже присутствует сигнал, то нет необходимости переключать осциллограф в промежуточные точки, его можно оставить у антенны.
Максимальная мощность, которую можно получить на выходе передатчика предлагаемой схемы при напряжении питания 12 В, может достигать 2 Вт. Если используется именно такой источник, то мощность необходимо уменьшить до разрешенной величины, увеличивая сопротивления резисторов в эмиттерных цепях выходных транзисторов.
При отсутствии измерителя мощности ее величину можно приближенно оценить по току, потребляемому выходным каскадом. При напряжении питания 12 В и выходной мощности 2 Вт ток, потребляемый макетом передатчика, составлял величину 350 мА. Поскольку мощность, при постоянном сопротивлении нагрузки пропорциональна квадрату тока, то, очевидно, выходной мощности 1 Вт будет соответствовать ток, равный 350/√2 = 250 мА.
При желании поэкспериментировать, можно попробовать вместо двух выходных транзисторов установить один типа КТ973А. Сопротивление базового резистора при этом необходимо уменьшить до 24 Ом, а эмиттерного — увеличить до 10 Ом. Автору удалось получить в результате таких манипуляций выходную мощность 4 Вт при напряжении питания 12,6 В. Очевидно, требуемый 1 Вт можно получить при использовании питающей батареи более низкого напряжения, что немаловажно для переносной конструкции.
3.7. Расчет выходных каскадов передатчика на заданную мощность
3.7.1. Расчет дальности действия линии радиоуправления
Выходную мощность передатчика необходимо выбирать исходя из требуемой дальности действия радиолинии управления. Для ориентировочных расчетов можно пользоваться формулой, приведенной в [2]:
где
Дмакс — максимальная дальность действия,
м;
Р — выходная мощность передатчика,
Вт;
hпер,
hпр. — высоты подъема над землей передающей и приемной антенн,
м;
ηпер.,
ηпр. — КПД передающей и приемной антенн;
hд — действующая высота приемной антенны,
м;
Еа. мин — чувствительность приемника,
В;
λ — длина волны,
м.
Действующая высота четвертьволнового вибратора определяется формулой
hд =
λ/2π. Если геометрическая длина антенны (
l) существенно меньше длины волны, то пользуются формулой
hд =
l/2.
Определим для примера дальность действия канала связи со следующими характеристиками:
Р = 10 мВт (0,01 Вт);
Еа. мин. = 3 мкВ (3∙10
-6 B);
hпер =
hпр = 1 м;
l = 20 cm (0,2 м);
ηпер. = 0,4;
ηпр. = 0,2; частота передатчика
f = 27,12 МГц.
Очевидно
hд =
l/2 = 0,2/2 = 0,1 м;
λ =
С/
f = 3∙10
8/((27,12∙10
6) ~= 11 м.
Подставив эти значения в формулу, получим
Примерно такими характеристиками обладают простейшие детские радиоуправляемые игрушки.
3.7.2. Расчет укороченных антенн
Антенны являются устройствами обратимыми, что означает идентичность их параметров как при работе в режиме передачи, так и в режиме приема. Несмотря на относительную конструктивную простоту этих устройств, необходимо обращать самое тщательное внимание на их согласование как с выходом передатчика, так и с входом приемника.
В противном случае энергетические характеристики радиолинии и, как следствие, дальность действия аппаратуры могут отличаться от максимально возможных в несколько раз. Учитывая обратимость антенн, рассмотрим их параметры для режима передачи.
Эквивалентную схему антенны, подключенной к выходу передатчика, можно представить в виде, изображенном на рис. 3.43.
Рис. 3.43. Эквивалентная схема передающей антенны
Сопротивление антенны в общем случае комплексное и содержит емкостную составляющую (
Са), индуктивную (
La) и активную (
Ra =
Rп +
RΣ). Активное сопротивление складывается из сопротивления потерь
Rп, обусловленного потерями на нагревание проводника антенны и окружающих ее проводящих элементов, и сопротивления излучения
RΣ.
Это сопротивление фактически представляет собой коэффициент, связывающий между собой амплитуду напряжения на зажимах идеальной антенны и амплитуду тока на этих же зажимах. Коэффициент имеет размерность сопротивления и учитывает ту часть мощности, подводимой к антенне, которая превращается в излучение.
Элементы
Са и
La образуют последовательный колебательный контур. Для любой простейшей антенны в виде отрезка провода значения этих параметров всегда таковы, что в случае высокочастотных колебаний, для которых геометрическая длина провода
l составляет четверть длины волны, последовательный контур оказывается настроенным в резонанс. А это значит, что его сопротивление равно нулю, и результирующее сопротивление такой антенны становится чисто активным и равным
Rа. Равенство нулю реактивной составляющей антенны означает, что отражения мощности от реактивностей нет, и вся подводимая к антенне энергия рассеивается в виде тепла в
Rп и в виде излучения в
RΣ.
Символом
Ri на рис. 3.43 обозначено внутреннее сопротивление передатчика, а
Еr — развиваемая им ЭДС. Как известно, максимальная мощность из источника передается в нагрузку при условии равенства внутреннего сопротивления этого источника сопротивлению нагрузки. Для рассматриваемого случая это означает
Ri =
Rп +
RΣ.
Для диапазона 27 МГц четверть длины волны составляет примерно 2,75 м. Практически такую антенну для переносного передатчика и, особенно, подвижной модели использовать весьма затруднительно. Реальные антенны значительно короче. Для передатчиков это 0,5–1,5 м, а для приемников и того меньше. Уменьшение геометрических размеров антенны по сравнению с
λ/4 приводит к двум последствиям. Во-первых, уменьшается сопротивление излучения. Во-вторых, появляется реактивная составляющая емкостного характера.
Сопротивление излучения для несимметричных штыревых антенн, геометрическая длина которых
l <<
λ/4, можно рассчитать по формуле
RΣ = 1600∙(
hд/
λ)
2, (3.5)
где
hд =
l/2.
Реактивная составляющая сопротивления, имеющая емкостный характер, рассчитывается по формуле
Xa =
Wэ∙ctg(
k∙
l), (3.6)
где
k = 2π/
λ — волновое число;
Wэ = 60∙[ln(2
l/
d0)-1] — эквивалентное волновое сопротивление провода антенны;
d0 — диаметр провода.
Для нормальной работы антенна должна иметь чисто активное сопротивление. С целью компенсации емкостной составляющей сопротивления штыревые антенны снабжаются удлинительными катушками. Индуктивное сопротивление удлинительной катушки по модулю должно равняться емкостному сопротивлению антенны. В этом случае происходит их взаимная компенсация, и сопротивление антенны становится активным и равным
Rп +
RΣ. Требуемую индуктивность удлинительной катушки (
Ly) можно вычислить из условия равенства реактивных сопротивлений по формуле:
Lу = 1/
Xa∙2π∙
f0), (3.7)
где
f0 — рабочая частота передатчика.
Конструктивно удлинительную катушку удобнее всего разместить у основания антенны, однако максимальный КПД антенны получается, когда она располагается на расстоянии
l/3 от основания.
Число витков катушки (
N) для вычисленной индуктивности определяют по формуле
где
Ly выражена в мкГн;
D — средний диаметр катушки в мм;
l — длина намотки в мм. Для повышения КПД катушку желательно наматывать с шагом, оставляя между витками расстояние равное диаметру провода. Для точной подстройки индуктивности используются сердечники из карбонильного железа или высокочастотных ферритов марки (15—100)ВЧ. В этом случае количество витков уменьшается на 30 % от расчетного.
В заключение следует отметить, что параметры несимметричных антенн получены в предположении, что антенна находится над идеально проводящей поверхностью, как бы играющей роль второй половины антенны. На практике это означает, что общий провод передатчика должен соединяться с его корпусом. Причем чем больше проводящая масса корпуса, тем лучше. Иногда полезно к корпусу присоединять отрезок провода, играющего роль противовеса (второй, симметричной ее части). Общий провод платы должен соединяться с корпусом (противовесом) в одной точке, как можно ближе к выводу антенны. Роль противовеса может играть и тело оператора при надежном контакте рук с металлическим корпусом передатчика.
3.7.3. Расчет усилителей мощности
Результаты, хорошо согласующиеся с практикой, дает методика расчета выходного каскада, приведенная в [5]. Исходными данными для расчета являются:
♦ требуемая выходная мощность передатчика (
Р1);
♦ напряжение источника питания (
Uп);
♦ рабочая частота (
f0);
♦ сопротивление насыщения транзистора (
rн).
Процедуру расчета приведем для конкретного примера. Допустим, необходимо рассчитать выходной каскад с
Р1 = 1 Вт при напряжении питания
Uп = 9 В. Рабочую частоту выберем равной 28 МГц. Режим работы — класса В.
Вначале необходимо выбрать транзистор, удовлетворяющий следующим критериям: во-первых, его граничная частота, указываемая в справочниках, должна примерно в десять раз превышать рабочую, т. е.
fт >= (7—10)∙
f0; во-вторых, максимально допустимое напряжение на коллекторе (
Uк.
доп) должно минимум в два раза превышать напряжения питания; в-третьих, максимально допустимая мощность, рассеиваемая на коллекторе (
Pк.
доп), должна быть не меньше выходной (
Р1); в-четвертых, сопротивление насыщения должно быть как можно меньшим.
Выберем транзистор КТ646А со следующими характеристиками:
Pк. доп = 1 Вт,
Uк. доп = 60 В,
fт >= 200 МГц,
Iк. mах = 1 А,
h21 = 40—200,
Ск = 10 пФ,
Сэ = 30 пФ,
rн =< 1,7 Ом,
rб = 6 Ом,
rэ= 0,
L3 = 4 нГн.
Расчет ведется в следующей последовательности.
1. Максимально возможная амплитуда напряжения на контуре (
U1)
2. Максимальное напряжение на коллекторе
Uк. max =
Uп + (1,2…1,3)∙
U1 = 9 + 10,66 = 19,66 <
Uк, доп,
3. Требуемая амплитуда первой гармоники коллекторного тока
I1 = 2
P1/
U1 = 2/8,2 = 0,25 А.
4. Постоянная составляющая коллекторного тока
I0 =
α0 —
I1/
α1 = 0,319 0,25/0,5 = 0,16 А.
5. Амплитуда синусоидального импульса коллекторного тока:
Im =
I1/
α1 = 0,25/0,5 = 0,5А.
6. Максимальная мощность, потребляемая от источника питания
P0 =
Uп∙
I0 = 9∙0,16 = 1,44 Вт.
7. КПД коллекторной цепи:
η =
P1/
P0 = 1/1,44 = 0,7.
8. Максимальная мощность, рассеиваемая на коллекторе:
Pк. mах =
P0 —
P1 = 0,44 Вт < 1 Вт.
9. Номинальное сопротивление нагрузки
Rн =
U12/2
P1, = 33,6 Ом.
Если в процессе расчета какая-либо величина оказалась больше допустимого значения для выбранного транзистора, то необходимо подобрать другой.
В мощных каскадах коллекторный контур часто заменяют дросселем, включая параллельно ему (по переменному) току П-образный фильтр. Амплитудно-частотная характеристика такого фильтра изображена на рис. 3.44,
б, а схема выходного каскада — на рис. 3.44,
а.
Преимущество фильтра перед контуром заключается в том, что помимо селектирующих свойств в отношении высших гармоник, которые можно повышать увеличением количества П-образных звеньев, фильтр обеспечивает пересчет активной составляющей сопротивления антенны на выходе (
Rа) в требуемое номинальное сопротивление на входе, т. е. обеспечивает режим согласованной передачи мощности в нагрузку. Сопротивление дросселя выбирается во много раз больше номинального сопротивления нагрузки, чтобы исключить шунтирование последней. Обычно достаточно выполнить неравенство
Xдр1 >= 10∙
Rн
10. Индуктивность дросселя должна быть не менее
Lдр1 = 10∙
Rн/2π∙
f0 = 336/6,28∙28∙10
6 = 2 мкГн.
Стандартные дроссели изготавливаются на разные значения токов, величина которых указывается в обозначении. Поскольку максимальное значение тока коллектора равно 0,5 А, подойдут дроссели типа ДПМ-0,5 индуктивностью 2—20 мкГн. Для того чтобы исключить короткое замыкание источника питания при случайном касании антенной корпуса передатчика, до или после П-образного фильтра обычно устанавливают разделительный конденсатор на величину 10–33 нФ.
11. Величина резистора R1, устраняющего перекос импульсов коллекторного тока, равна
R1 =
h21/(2π
mCэ) = 100/(6,28∙28∙10
6∙30∙10
-12) ~= 2,5 кОм.
12. Амплитуда тока базы

здесь
γ(θ) =
α(θ)∙(1 — cos θ).
13. Активная составляющая входного сопротивления каскада
14. Требуемая входная мощность
Рвх = 0,5/
Iб2∙
rвх = 0,5∙0,07
2∙8 = 0,02 Вт.
Рассчитанные
rвх и
Рвх являются исходными данными для расчета предшествующего каскада по точно такой же методике.
Действительно,
Рвх является требуемой выходной мощностью предшествующего каскада, а
rвх для него играет ту же роль, что и
Ra для выходного каскада.
3.7.4. Расчет выходного П-образного фильтра
Исходными данными являются: требуемое номинальное сопротивление нагрузки выходного каскада
Rн. Такое сопротивление должен иметь фильтр со стороны входа; активная составляющая сопротивления антенны
Ra. Такое сопротивление фильтр должен иметь со стороны выхода; частота выходного сигнала
f0.
Проведем расчет для рассмотренного в предыдущем параграфе примера.
Rн = 33,6 Ом,
f0 = 28 МГц (
λ = 10,7 м). В качестве антенны выберем штырь диаметром
d0 = 4 мм и длиной
l = 150 см.
По формуле (3.5) вычислим сопротивление излучения
RΣ = 1600∙(0,75/10,7)
2 = 8 Ом
Активное сопротивление антенны равно
Ra =
RΣ +
Rп, КПД — соответственно
η =
RΣ/
Ra. Для антенны рассматриваемого размера
η ~= 30 %, поэтому
Ra= 8/0,3 = 27 Ом.
Эквивалентная схема выходной цепи имеет вил, изображенный на рис. 3.45,
а. Расчету подлежат величины C1, С2 и L1, обеспечивающие согласование
Ra и
Rн. Расчетные формулы для этих величин имеют вид [5]
В этих формулах
R0— вспомогательная величина, которую задают в 2–5 раз меньше, чем наименьшее из
Rа и
Rн. Выбрав
R0 = 9 Ом, получим: С1 = 280 пФ, С2 = 297 пФ, L1 =0,16 мкГн.
На рис. 3.45,
б изображена АЧХ рассчитанной выходной цепи, полученная в системе схемотехнического моделирования Micro-Cap7. По вертикали отложен коэффициент передачи цепи по напряжению, по горизонтали — частота в мегагерцах. Если требуется увеличить крутизну спада характеристики для более эффективного подавления высших гармоник, к выходной цепи можно добавить еще точно такое же звено. Порядок его расчета полностью аналогичен описанному. Вводится еще одна дополнительная величина
Rд, которая должна фигурировать в расчетах первого звена вместо
Ra, а при расчетах второго — вместо
Rн. Необходимо только иметь в виду, что КПД выходной цепи не равен 100 % и уменьшается с увеличением количества звеньев.
Рис. 3.45. Выходная цепь: а — схема; б — АЧХ
Глава 4
ПРИЕМНИКИ КОМАНД УПРАВЛЕНИЯ НЕРАДИОТЕХНИЧЕСКИХ ДИАПАЗОНОВ
Эта глава завершает обзор схемотехники каналов связи конструкциями приемников. Приведены схемы приемных устройств, способных взаимодействовать с соответствующими передатчиками (гл. 3): индукционным; инфракрасным; лазерным.
4.1. Индукционный приемник
Принципиальная схема
К входу приемника (рис. 4.1) подключена магнитная антенна L1, которая совместно с конденсатором С1 образует колебательный контур, настраиваемый на частоту поднесущей передатчика — 30 кГц. Это обеспечивает дополнительную помехозащищенность устройства. Сигнал с антенны усиливается примерно в 100 раз операционным усилителем DA1 и поступает на детектор, реализованный на диоде VD1.
С его выхода положительные импульсы подаются на компаратор DA2 для нормализации, т. е. для придания им стандартной амплитуды и прямоугольной формы, что необходимо для нормальной работы последующих устройств.
Рис. 4.1. Принципиальная схема индукционного приемника
Детали и конструкция
Катушка входного контура наматывается на ферритовом стержне диаметром 8 мм и длиной 6—10 см. Между двумя щечками внавал наматывают по всей длине стержня 650 витков провода диаметром 0,1–0,12 мм. Микросхему компаратора можно заменить отечественной К554САЗ или импортной LM311 с соответствующей коррекцией печатной платы. Для основного варианта плата изображена на рис. 4.2.
Рис. 4.2.
Печатная плата индукционного приемника
Настройка
Чувствительность компаратора настраивается изменением опорного напряжения на инверсном входе с помощью потенциометра R10. При отсутствии полезного сигнала на входе это напряжение превышает напряжение смещения на прямом входе, в результате на выходе уровень логической единицы.
Настраивать приемник удобно совместно с индукционным передатчиком, рассмотренным в
разделе 3.1. Передатчик включается в режим непрерывного излучения соединением его входа с выводом
8 микросхемы DA1. Приемник помещают внутри индукционной петли так, чтобы ферритовая антенна располагалась вертикально, при этом связь с петлей будет максимальна. Контролируя с помощью осциллографа напряжение на выводе
6 микросхемы DA1 приемника, подбором величины С1 добиваются его максимизации, что будет соответствовать настройке входного контура в резонанс с частотой передатчика.
Далее настраивают компаратор. Передатчик временно выключают. Осциллограф подключается к выходу приемника при выведенном потенциометре R10 (верхнее по схеме положение движка). Выходное напряжение может иметь значение логической единицы (примерно 5 В) или представлять собой хаотические положительные выбросы, свидетельствующие о срабатывании компаратора от собственных шумов приемника либо внешних помех. Перемещая движок вниз, необходимо добиться ситуации, когда ложные срабатывания прекратятся, и на выходе уверенно установится низкий потенциал, соответствующий логическому нулю. Включив передатчик вместе с шифратором, следует убедиться в наличии положительных импульсов на выходе приемника.
4.2. Инфракрасные приемники
4.2.1. Приемник на транзисторах
Схема приемника, реализованного на дискретных элементах, приведена на рис. 43. Модулированные командным сигналом импульсы ИК-излучения поступают на фотодиод VD1. Изменяющийся ток фотодиода через эмиттерный повторитель VT2 подается на вход трехкаскадного усилителя VT3—VT5. На транзисторе VT1 собран узел компенсации помех от постоянной фоновой засветки или импульсов с частотой 100 Гц от осветительных приборов.
Рис. 4.3. Принципиальная схема транзисторного приемника
Последний каскад усилителя (VT5) представляет собой активный фильтр, характеристика которого определяется двойным Т-образным мостом в цепи обратной связи. Максимум усиления приходится на частоту 30 кГц, что обеспечивает дополнительную частотную селекцию. На транзисторе VT6 реализован коллекторный амплитудный детектор, выделяющий огибающую входного сигнала, а на микросхеме DA1 — компаратор, восстанавливающий его прямоугольную форму.
Возможный вариант принципиальной схемы приведен на рис. 4.4. Часть схемы, до VT5 включительно, обязательно должна быть помещена в экран, соединенный с общим проводом.
Рис. 4.4. Печатная плата фотоприемника
4.2.2. Приемники на специализированных микросхемах
На рис. 4.5 изображена принципиальная схема первого варианта приемника, использовавшегося в системе дистанционного управления телевизоров «Горизонт 51 CTV-510». Выходной сигнал в уровнях ТТЛ снимается с вывода 9 микросхемы. Входной колебательный контур L1, С13 и опорный контур синхронного детектора L2, С22 —С24 настроены на частоту 36 кГц, поэтому и генератор поднесущей в передатчике необходимо перестроить на эту же частоту.
Катушка L1 должна иметь индуктивность 50 мГн и содержит примерно 180 витков провода диаметром 0,1 мм на ферритовом кольце 2000НМ с внешним диаметром 12–16 мм. Окончательно количество витков уточняется при настройке входного контура на 36 кГц. Катушка L2 имеет индуктивность 3,3 мГн, что требует намотки 45–50 витков на аналогичном сердечнике. Обе катушки необходимо поместить в экраны.
Рис. 4.5. Принципиальная схема первого варианта приемника
Во втором варианте приемника (рис. 4.6) используется отечественная микросхема К1056УП1. Для выделения командных импульсов к выходу микросхемы подключены амплитудный детектор и нормализатор импульсов, собранные на логических элементах DD1.1, DD1.2 и диоде VD2. Микросхему и фотодиод для повышения помехозащищенности необходимо поместить в экран. Печатные платы читателям предлагается развести самостоятельно.
Рис. 4.6. Принципиальная схема второго варианта приемника
4.3. Лазерный приемник
Принципиальная схема
В принципе, в качестве приемника лазерного излучения можно применить и предыдущуюсхему, если в передатчике использовать генератор поднесущей. Для передатчика, описанного в разделе 33, подойдет схема, приведенная на рис. 4.7.
Рис. 4.7. Принципиальная схема лазерного приемника
Детали и конструкция
Печатную плату (рис. 4.8) желательно изготовить из двухстороннего стеклотекстолита, оставив фольгу со стороны деталей в качестве общего провода. Вместо указанного на схеме счетверенного операционного усилителя можно применить любые другие ОУ, сохраняющие работоспособность при напряжении питания + 5 В. Естественно, плату в этом случае придется переделать. Все элементы схемы, за исключением DA1.4, на котором собран компаратор, целесообразно заключить в экран.
Рис. 4.8. Печатная плата лазерного приемника
Настройка
Настройка сводится к установке сквозного коэффициента передачи и порога срабатывания выходного компаратора. Для решения первой задачи необходимо подключить осциллограф к выводу
8 DA1.3 и подбором величины R13 установить такой сквозной коэффициент передачи, при котором максимальная амплитуда шумовых выбросов, наблюдаемых на экране, не будет превышать 100 мВ.
Затем осциллограф переключается на выход устройства, а движок подстроечного резистора R18 устанавливают в нижнее положение. На экране видна горизонтальная линия на уровне +5 В. Перемещая движок потенциометра вверх, необходимо добиться опускания линии развертки на нулевой уровень и остановить движение, когда пропадут хаотические положительные всплески на экране. Включив передатчик и направив луч лазера на фотодиод, убедиться в появлении на выходе прямоугольных командных импульсов.
Глава 5
РАДИОПРИЕМНИКИ
Основное внимание уделяется устройствам, использующим радиоканал: представлены различные типы радиоприемников, их схемотехника и подробные инструкции по сборке и настройке.
5.1. Общие сведения о радиоприемниках
Определение. Радиоприемным называется устройство, соединяемое с антенной и служащее для приема радиосигналов и преобразования их к виду, позволяющему использовать содержащуюся в них информацию.
Достоверному приему информации в реальных условиях
препятствуют:
♦ случайные искажения самого радиосигнала при распространении через турбулентную среду;
♦ наличие разнообразных (внешних и внутренних) помех;
♦ техническое несовершенство радиоустройств.
К
основным задачам, решаемым радиоприемным устройствам, относятся:
♦ преобразование электромагнитного поля сигнала в электрический сигнал с помощью антенны;
♦ выделение полезных радиосигналов из совокупности других (мешающих) сигналов и помех, действующих на выходе антенны;
♦ усиление принимаемых сигналов до величины, необходимой для нормальной работы оконечных устройств;
♦ демодуляция принятого сигнала с целью выделения информации, содержащейся в полезном радиосигнале;
♦ обработка принимаемых сигналов с целью ослабления мешающего действия помех искусственного и естественного происхождения.
Определение. Совокупность процедур, выполняемых над принятой смесью сигнала и помех, для достижения этой цели называется обработкой сигнала.
Обработку обычно подразделяют на первичную (операции на высокой и промежуточных частотах) и вторичную (последетекторные манипуляции с сигналом).
Алгоритмы обработки сигналов могут быть различными. В зависимости от этих алгоритмов приемники подразделяются на:
♦ детекторные;
♦ прямого усиления без регенерации;
♦ прямого усиления с регенерацией (регенеративные и сверхрегенеративные);
♦ приемники прямого преобразования (гетеродинные);
♦ супергетеродинные приемники.
Помимо способов обработки сигналов, приемники даже одного типа отличаются друг от друга своими электрическими характеристиками. К основным
электрическим характеристикам относятся:
♦ чувствительность;
♦ избирательность;
♦ динамический диапазон;
♦ диапазон рабочих частот;
♦ полоса пропускания;
♦ помехоустойчивость.
Чувствительностью называют меру способности радиоприемника обеспечивать прием слабых сигналов. Для количественной оценки этого параметра используются
три характеристики.
1.
Чувствительность, ограниченная шумами, — чувствительность, определяемая минимальным уровнем радиосигнала на входе приемника (
εa.min) при заданном отношении уровней полезного сигнала и шума и заданном уровне полезного сигнала на выходе приемника. Уровни сигнала и шума могут быть заданы как в единицах напряжения, так и мощности. Если коэффициент усиления приемника невелик, то собственные шумы на его выходе практически отсутствуют, а требуемое значение выходного сигнала можно получить, только увеличивая входной сигнал. Отношение «сигнал/шум» при этом оказывается существенно завышенным. Чувствительность в этом случае определяется не внутренними шумами, а усилением приемника, и называется ограниченной усилением.
2.
Чувствительность, ограниченная усилением, — минимальный уровень радиосигнала на входе, при котором обеспечивается заданный уровень полезного сигнала на его выходе. Отношение «сигнал/шум» при этом не нормируется. Регулировки усиления и громкости, если таковые имеются, устанавливаются в максимальные положения.
3.
Пороговая чувствительность — минимальный уровень радиосигнала на входе приемника при равных уровнях сигнала и шума на выходе.
Все перечисленные виды чувствительности определяются без учета внешних шумов и характеризуют теоретические возможности приемника. В диапазонах ДВ, СВ, КВ и начале УКВ-диапазона внешние шумы различного происхождения превышают внутренние, и именно они определяют чувствительность приемника, называемую реальной.
В литературе встречается также термин «
максимальная чувствительность». Отечественный его синоним — полезная чувствительность. Здесь имеется ввиду значение, наихудшее из определяемых пунктами 1 и 2.
Требует пояснения понятие «
сигнал на входе приемника», присутствующее во всех определениях чувствительности. Таковым считают ЭДС, поданную на вход приемника через эквивалент антенны, имитирующий полное ее сопротивление. В условиях реального приема этой величине будет соответствовать электродвижущая сила
εa, наведенная в антенне.
Определение. Отношение «сигнал/шум» — это отношение эффективного значения выходного напряжения приемника, содержащего полезный сигнал, к эффективному значению выходного напряжения при не модулированном входном сигнале.
Требуемое отношение «сигнал/шум» может задаваться либо на входе детектора, либо на выходе приемника и называется
коэффициентом различимости (
ар). Часто коэффициент различимости задается в децибелах:
ар(дБ) = 20∙Ig
ар.
Значение отношения «сигнал/шум» неодинаково у приемников различного назначения и обычно задается техническими требованиями. Для аппаратуры радиоуправления обычно
ар = 12 дБ (4 раза).
Определение. Избирательностью называют способность приемника выделять полезный сигнал из суммы сигналов, имеющих различные частоты.
Следует различать
односигнальную и
многосигнальную избирательность. Односигнальная избирательность определяется при наличии на входе приемника только одного сигнала и при его уровне, не вызывающем нелинейных эффектов. Избирательность оценивается величиной:
S =
εa.min/
εa.min0, или в децибелах
S[дБ] = 20∙lg (
εa.min/
εa.min0)
где
εa.min0 — чувствительность на частоте настройки приемника (
f0);
εa.min — чувствительность на частоте соответствующего побочного канала приема (
fпоб).
Побочными каналами приема могут быть:
Соседний канал. Частота соседнего канала отличается от частоты настройки приемника в аппаратуре радиоуправления обычно на 10 кГц.
Зеркальный канал. Частота зеркального канала сдвинута относительно частоты настройки на величину двойной промежуточной частоты:
fз.к. =
fc ± 2
fпр.
Прямой канал:
fпоб =
fпр.
Определение. Диапазон рабочих частот — это интервал частот fmax — fmin, в котором возможна настройка приемника на любую частоту и на каждой из частот обеспечиваются основные характеристики приемника.
Определение. Динамический диапазон — это отношение максимального входного сигнала, при котором нелинейные искажения еще не превышают заданного значения к пороговой чувствительности приемника:
D = 20∙lg (εa.max/εa.min).
В радиоуправлении находят применение в основном сверхрегенеративные и супергетеродинные приемники. В данной книге предлагается использование и приемников прямого преобразования.
5.2. Сверхрегенеративные приемники АМ-колебаний
5.2.1. Принципы сверхрегенеративного приема
Общие положения
Сверхрегенеративные приемники издавна являются одной из самых распространенных радиолюбительских схем. Объясняется это, прежде всего, их способностью обеспечивать высокую чувствительность при минимуме схемотехнических затрат. Классический сверхрегенератор, содержащий 12–14 деталей, может обеспечить коэффициент усиления в несколько сотен тысяч, при чувствительности 3–5 мкВ.
Кроме того, работая в нелинейном режиме, такой приемник обладает способностью автоматически поддерживать уровень выходного сигнала практически постоянным при изменении входного сигнала в сотни и даже тысячи раз.
В разное время и в различных изданиях делались попытки описания принципа действия сверхрегенеративного приемника. Как правило, эти публикации содержали самые общие соображения по поводу процессов, происходящих в схеме, и рекомендации по настройке сверхрегенератора, основанные на практических экспериментах с приемником. Каждый радиолюбитель, собиравший сверхрегенератор, знает, насколько сложно добиться хороших результатов, действуя интуитивно, вслепую.
Трудности качественной настройки связаны с тем, что сверхрегенеративный каскад является многофункциональным. На одном транзисторе собран и усилитель высокой частоты, и генератор вспомогательных колебаний (генератор суперизации), и детектор, выделяющий полезный низкочастотный сигнал.
Если бы выполнение перечисленных функций было «поручено» разным каскадам, то каждый из них в отдельности легко можно было бы настроить на оптимальный режим работы. Поскольку качественное выполнение каждой из функций предъявляет к режиму работы свои, часто противоречивые требования, то в сверхрегенераторе приходится идти на компромисс, учитывая «пожелания» каждой из функций. В этом и заключается сложность настройки.
Режим работы любого каскада, как известно, с течением времени меняется под действием различных дестабилизирующих факторов. Поэтому еще одним недостатком сверхрегенератора можно считать невысокую устойчивость его работы. Компромисс нарушается, и параметры приемника со временем, что называется, «плывут».
Выскажу предположение, что качественно настроить приемник можно, только разобравшись детально со всеми процессами, происходящими в схеме, а также с влиянием на эти процессы всех элементов схемы. Решению данной задачи и посвящен материал этого раздела, тем более что «прозрачное» и полное описание принципа работы сверхрегенератора отыскать в имеющейся литературе не так то просто.
Явление умножения добротности колебательного контура
В начале небольшой экскурс в теоретические основы радиотехники, без которого было бы проблематичным понимание дальнейшего изложения материала.
Радиоволны, излучаемые радиопередатчиками, распространяются во все стороны от передающих антенн со скоростью света. С увеличением расстояния от антенны мощность электромагнитных волн уменьшается, в простейшем случае, обратно пропорционально квадрату расстояния:
ρ =
P/4π
R2 (5.1)
где
Р — излучаемая мощность;
R — расстояние до точки приема;
ρ — плотность потока мощности (мощность, проходящая через квадратную площадку в 1 м
2, находящуюся на расстоянии
R от передатчика).
Очевидно, каким бы ни было большим расстояние
R, плотность потока мощности никогда не обратится в нуль. Это означает, что в любой точке пространства присутствует излучение абсолютно всех радиостанций, работающих на земном шаре, что само по себе достаточно интересно. Электромагнитная волна представляет собой чередующиеся во времени и пространстве переменные электрические и магнитные поля. В любом проводнике, ориентированном параллельно силовым линиям напряженности электрического поля (
Е) наводится ЭДС (
ε) в соответствии с правилом
ε =
E∙
hд, (5.2)
где
hд — действующая высота проводника. При размерах проводника, существенно меньших длины волны, действующая высота равна половине геометрической длины проводника.
Что же мешает усилить этот сигнал в требуемое число раз, чтобы прием был обеспечен на любом расстоянии от передатчика? Все дело в том, что помимо полезного сигнала, в точке приема обязательно присутствуют помеховые сигналы. Кроме того, в любом приемнике существуют собственные хаотические токи и напряжения, вызванные тепловым движением электронов и называемые внутренними шумами приемника.
Полезная информация из принимаемого сигнала может быть извлечена только в том случае, если уровень полезного сигнала, наведенного в антенне, в заданное число раз превышает суммарный уровень помех и внутренних шумов приемника, приведенных к входу. Если даже каким-либо образом избавиться от помехи на входе приемника, то внутренние шумы останутся в любом случае. Именно они и определяют потенциальную чувствительность любого приемника.
Очевидно, им и должно уделяться особое внимание при конструировании приемников. Если к проводнику, в котором наводятся электрические сигналы, являющемуся фактически приемной антенной, подключить настроенный на частоту какой-либо радиостанции колебательный контур так, как это показано на рис. 5.1, то на его выходе выделится некоторое напряжение
Uк. Выясним от чего зависит величина этого напряжения, обратив внимание на то, что фактически это напряжение на конденсаторе С1.
Рис. 5.1. Входная цепь приемника
Для простоты будем полагать, что соотношение числа витков в катушках L1, L2 и связь между ними таковы, что ЭДС взаимной индукции, наводимая в катушке L2, будет равна ЭДС, наведенной в антенне (формула 5.2). Под действием этой ЭДС ток в контуре будет протекать последовательно через катушку L2 и конденсатор С1.
Эквивалентную схему колебательного контура при этом можно представить в виде, изображенном на рис. 5.2. ЭДС, наводимая в контуре, учтена источником
ε, а резистор
rп учитывает активные потери в контуре. Потери обусловлены расходами энергии на нагревание проводника катушки и переизлучением части энергии элементами контура.
Рис. 5.2. Эквивалентная схема входного контура
Подробнее об этих процессах можно прочитать, например в [6]. Из рисунка видно, что по отношению к эквивалентному источнику с колебательный контур теперь является последовательным. В таком контуре, как известно, существует резонанс напряжений, при котором напряжения на реактивных элементах контура в
Q раз больше ЭДС, введенной в контур. На основании этого можно записать
Uк =
Q∙
ε, (5.3)
где
Q =
ρ/
rп — добротность контура; (5.4)
ρ = √(
L1/
C1) = 1/
ω0C1 — характеристическое сопротивление контура,
ω0 =1/√(
L1∙
C1) — резонансная частота контура.
Формула (5.3) показывает, что увеличением
Q можно теоретически получить сколь угодно большое значение напряжения
Uк, доведя тем самым принятый сигнал до величины, необходимой для нормальной работы последующих каскадов. К сожалению, на практике сложно достичь значения добротности контура выше 200–350. Кроме того, в реальных схемах к контуру, параллельно конденсатору С1, подключается остальная часть приемника, которую можно учесть ее входным сопротивлением
Rвх. Очевидно, на этом сопротивлении будет рассеиваться часть принятой мощности. Возникающие дополнительные потери принято учитывать эквивалентным увеличением сопротивления потерь в контуре на величину
rдоп. Формула для пересчета имеет вид
rдоп =
ρ2/Rвх
Результирующая добротность контура, называемая эквивалентной (
Qэ) или нагруженной, уменьшается:
Qэ =
ρ/(
rп + rдоп), (5.5)
и в практических конструкциях составляет величину 50—120. Чтобы картина была полной, необходимо было бы в знаменатель формулы (5.5) добавить третье слагаемое, учитывающее потери энергии в контуре за счет шунтирующего действия антенны. Для простоты дальнейшего изложения будем полагать эти потери равными нулю.
Существует давно известный способ повышения (умножения) добротности, подробно описанный, например в [6]. Суть его заключается в том, что потери в контуре компенсируются за счет энергии источника питания. Механизм компенсации понятен из рис. 5.3.
Рис. 5.3. Механизм компенсации потерь в контуре
К конденсатору контура подключен транзистор VT1. Напряжение
Uк с конденсатора приложено к участку «база-эмиттер» транзистора, что вызывает изменение тока, протекающего в коллекторной цепи за счет источника питания V1. Амплитуда изменений определяется выражением
Iк =
Uк∙
S, где
S — крутизна транзистора в рабочей точке. Протекая по катушке
L2, этот ток наводит в катушке
L1. ЭДС взаимной индукции
Uoc = ω
0∙M∙
Iк, где
М — взаимоиндуктивность катушек
L1 и
L2.
Фазировка катушек выбирается таким образом, чтобы напряжение
Uос было синфазно с колебаниями, происходящими в контуре, что характерно для положительной обратной связи. Ток
I в контуре теперь течет под действием суммы двух напряжений
ε +
Uос, и амплитуда колебаний нарастает. Обратим внимание на то, что амплитуда возрастает, в конечном счете, за счет энергии источника питания.
Поскольку при резонансе суммарное сопротивление реактивных элементов контура равно нулю, для входного контура справедливо выражение
ε +
Uос =
ε +
ω0∙M∙
Iк =
I∙(
rп + rдоп). Напряжение на конденсаторе теперь можно записать в виде
Uк =
I/
ω0C1 =
I∙ρ. Откуда
I =
Uк/
ρ. Подставив правые части выражений для
I и
Iк предыдущую формулу, получим:
Выражение (5.3) справедливо и для рассматриваемого случая, с той лишь разницей, что добротность теперь имеется ввиду эквивалентная (
Qэ), учитывающая компенсацию потерь в контуре за счет положительной обратной связи. Воспользовавшись (5.3), предыдущее выражение перепишем в виде
Сократив обе части равенства на, выразим в явном виде эквивалентную добротность:
Пользуясь тем, что при резонансе
ρ = 1/
ω0C1 окончательно запишем:
Сравнивая выражения (5.5) и (5.6), можно сделать следующие полезные для практики выводы:
♦ в знаменателе выражения для добротности, за счет положительной обратной связи, появилось дополнительное слагаемое
M∙
S/
C1, имеющее размерность сопротивления;
♦ знак этого сопротивления отрицательный, что уменьшает общее сопротивление потерь контура;
♦ манипулируя величиной
М или
S, можно сделать сопротивление потерь контура сколь угодно малым, в том числе и равным нулю;
♦ увеличивая эквивалентную добротность контура описанным способом в соответствии с формулой (5.3), можно получать на контуре колебания любой желаемой амплитуды.
Физический смысл отрицательного сопротивления, уменьшающего общее сопротивление потерь, заключается в том, что в контур за счет положительной обратной связи, вносится из коллекторной цепи энергия источника питания, компенсирующая потери энергии сигнала в контуре. Энергия вносится в виде колебаний той же частоты, что и у поступивших в контур из антенны.
Происходящая компенсация потерь или, другими словами, восстановление энергии сигнала называется регенерацией, а приемники, использующие рассмотренный принцип для повышения коэффициента усиления, — регенеративными.
Принципы сверхрегенерации
При всей привлекательности рассмотренного метода, он обладает существенным
недостатком. Параметры, определяющие величину отрицательного вносимого сопротивления
rвн =
M∙
S/
C1 не стабильны во времени, из-за чего нестабильным получается и сам режим регенерации. Увеличение положительной обратной связи (увеличение
rвн) до обращения в нуль знаменателя формулы (5.6) приводит к превращению усилителя в генератор, уменьшение — к существенному снижению расчетного коэффициента усиления, а значит и к потере чувствительности.
Кроме того, увеличение коэффициента усиления приемника за счет увеличения эквивалентной добротности ограничивается требованиями к полосе пропускания приемника (Δ
fпр). Последняя, как известно, определяется выражением Δ
fпр =
f0/
QЭ и не должна быть меньше активной ширины спектра принимаемого сигнала. Классическим примером обращения недостатка в достоинство является идея сверхрегенеративного усиления. Нетрудно согласиться с утверждением, что наибольший коэффициент усиления в регенераторе можно получить, находясь на границе самовозбуждения, когда знаменатель формулы (5.6) близок к нулю.
Однако это положение и наименее устойчиво именно из-за близости к режиму самовозбуждения. Идея сверхрегенеративного приема заключается в периодическом изменении вносимого отрицательного сопротивления таким образом, чтобы усилитель на определенную часть этого периода превращался в генератор, проходя через область максимального усиления. Рассмотрим эту идею подробнее.
Как было отмечено выше, величиной вносимого сопротивления можно варьировать, изменяя либо взаимоиндуктивность
М, либо крутизну транзистора
S. При рассмотрении принципов сверхрегенерации удобнее использовать
S. Для начала выясним смысл этого параметра.
На рис. 5.4,
а изображена входная характеристика транзистора, представляющая собой зависимость тока базы (
iб) от напряжения между базой и эмиттером (
uб). К базе обычно подключено напряжение смещения (
u0), задающее положение рабочей точки (РТ1) на входной характеристике. При подаче на базу еще и переменного напряжения амплитудой
Uб, ток базы будет меняться по тому же закону с амплитудой
Iб (рис. 5.4,
б).
Рис. 5.4.
Зависимость крутизны от положения рабочей точки
При постоянной амплитуде напряжения, приложенного к базе, амплитуда тока, как это хорошо видно из рис. 5.4, будет зависеть от угла наклона входной характеристики в окрестностях рабочей точки. Количественно этот угол характеризуется крутизной входной характеристики
Sб. Изменяя положение рабочей точки с помощью
u0, можно менять
Sб. Амплитуда коллекторного тока (/
к) может быть определена по формуле
Iк =
Iб∙
h21э, где
h21э — коэффициент усиления транзистора по току в схеме с общим эмиттером. Величину
S =
Iк/
Uб и будем называть крутизной транзистора.
Обратите внимание на то, что крутизна транзистора, как и величина
Sб, зависит от положения рабочей точки транзистора на входной характеристике. Конкретная форма зависимости крутизны от напряжения смещения для разных транзисторов различна. Существенным же является тот факт, что крутизна тем больше, чем больше постоянное напряжение смещения
U0, что хорошо видно из рисунка. При дальнейших рассуждениях для простоты будем полагать, что зависимость крутизны от напряжения смещения прямо пропорциональная (рис. 5.5,
а).
Рис. 5.5. Прерывистая генерация в сверхрегенераторе
Теперь можно приступать к рассмотрению собственно режима сверхрегенерации. Обозначим значение крутизны транзистора, при которой знаменатель выражения (5.6) обращается в нуль (возникает генерация) через
Sкр. Для получения этого значения на базу транзистора необходимо подать напряжение
Uкр (рис. 5.5,
а). В исходном состоянии на базу подают постоянное напряжение смещения
U0, обеспечивающее такое положение рабочей точки транзистора (РТ), при котором крутизна
S0 меньше критической. Генерация в этом случае отсутствует.
Если теперь к постоянному напряжению добавить некоторое вспомогательное, периодически изменяющееся, называемое напряжением суперизации (
uсуп), то при достаточной его амплитуде рабочая точка будет переходить в область, где крутизна транзистора становится больше критической. Этой ситуации на рис. 5.5,
б соответствует интервал времени
t1 —
t2. На это время знаменатель формулы (5.6) становится отрицательным, и в контуре обеспечиваются условия возникновения автогенерации.
Если в контур из антенны поступает напряжение сигнала амплитудой
Uc, то колебания в контуре начнут нарастать, начиная с этого значения, по экспоненциальному закону, описываемому формулой [6]:
Uк(
t) =
Uc∙
e-δt, (5.7)
где
δ =
rэ/2
L1 — коэффициент затухания колебаний в контуре;
L1 — индуктивность контура;
rэ =
rп +
rдоп —
MS/
C1 — эквивалентное сопротивление потерь контура,
При
S >
Sкр, что имеет место на интервале
t1 —
t2, величина
rэ имеет отрицательное значение, показатель экспоненты в (5.7) — соответственно положительное, что и обеспечивает нарастание амплитуды колебаний до некоторого значения
Um (рис. 5.5,
в). После момента времени
t2 крутизна становится меньше критической, показатель экспоненты в (5.7) — отрицательным, и колебания в контуре затухают. Образуется так называемая «вспышка» высокочастотных колебаний в контуре.
Если принимается АМ-сигнал, то к началу новой вспышки (момент
t4 на рисунке) значение начальной амплитуды
Uc будет отличаться от предыдущего (станет, например больше), соответственно изменится и амплитуда вспышки, что явствует из формулы (5.7) и рис. 5.5,
в. В результате на контуре будет получена последовательность вспышек, амплитуда которых будет повторять закон изменения амплитуды принимаемых колебаний.
Надлежащим выбором параметров контура и величины
S можно обеспечить такую скорость нарастания напряжения в контуре на интервале
t1 —
t2, при которой амплитуда вспышек
Um будет достигать единиц вольт, при всего нескольких микровольтах, наведенных в антенне. Подавая вспышки на амплитудный детектор можно выделить их огибающую, которая и является полезным сигналом. Расчеты показывают, что коэффициент усиления сверхрегенератора может достигать сотен тысяч [7].
Необходимо отметить, что частота вспомогательных колебаний (
Fсуп) должна быть такой, чтобы восстановление огибающей принимаемого сигнала происходило без потерь. Как известно, для этого должно быть выполнено условие Котельникова
Fсуп >= 2
Fв. Здесь
Fв — верхняя частота в спектре модулирующего сигнала.
В практических схемах
Fсуп лежит в пределах 30—100 кГц. Форма напряжения суперизации, как это ясно из рис. 5.5, принципиального значения не имеет. Важно лишь обеспечить на интервале
t1 —
t2 условие
S >
Sкр.
Предельно достижимая амплитуда вспышек на контуре
Uпр ограничена параметрами схемы и напряжением питания. Если в процессе усиления сигналов амплитуда вспышек напряжения на контуре все время остается меньше
Uпр, то зависимость амплитуды
Um от
Uc линейна и режим работы соответственно называется линейным. Достоинством режима является низкий уровень шумов и малый коэффициент нелинейных искажений.
Если начальная амплитуда в контуре или усиление в схеме настолько велики, что
Um достигает значения
Uпр на интервале
t1 —
t2, то амплитуда вспышек уже не зависит от амплитуды входного сигнала, и режим называется нелинейным. В этом режиме при изменении амплитуды входного сигнала будет изменяться площадь вспышек (рис. 5.6,
а). Величина продетектированного напряжения изменяется в зависимости от входного сигнала по логарифмическому закону (рис. 5.6,
б).
Рис. 5.6.
Нелинейный режим сверхрегенератора
Такая зависимость выходного сигнала от входного аналогична действию АРУ в приемнике и расширяет его динамический диапазон. К
недостаткам нелинейного режима относятся сильные нелинейные искажения, высокий уровень выходных шумов при отсутствии полезного сигнала и низкая избирательность по соседнему каналу. Сильные шумы на выходе приемника, представляющие усиленные во много раз собственные шумы каскада, являясь недостатком, одновременно, тем не менее, как раз и свидетельствуют о высоком коэффициенте усиления приемника.
По способу получения вспомогательных колебаний напряжения суперизации сверхрегенераторы подразделяются на две группы. Сверхрегенераторы с внешней суперизацией используют вспомогательные колебания, вырабатываемые специальными генераторами. В
сверхрегенераторах с автосуперизаиией создаются условия для возникновения вспомогательных колебаний в самом регенеративном каскаде. Последний вариант используется чаще, так как требует меньших схемотехнических затрат (однако это не значит, что он является лучшим).
Читатели, знающие, что такое спектр сигнала, могут пропустить следующие три абзаца, остальным рекомендуется разобраться с этим понятием. Дело в том, что сигналы, используемые в радиотехнике, могут иметь самую различную форму.
Анализировать прохождение непосредственно самих сигналов через радиотехнические цепи, назначение и структура которых также весьма разнообразны, весьма сложная задача. Поэтому в радиотехнике принято при анализе заменять сигналы их спектрами. Из математики известно, что практически любую функцию можно представить в виде суммы других, более простых функций. Такое представление называется
разложением функции в ряд. Любой реальный сигнал сколь угодно сложной формы представляет собой какую-либо функцию времени, а значит, может быть разложен в ряд.
Наиболее широко применяется разложение
в тригонометрический ряд Фурье. При этом сигнал представляется в виде суммы гармонических колебаний, т. е. колебаний синусоидальной или косинусоидальной формы. Выбор обусловлен тем, что только эти колебания при прохождении через линейную цепь (а большинство радиотехнических цепей могут считаться линейными) не изменяют своей формы. У гармонического колебания может измениться только амплитуда и начальная фаза. Таким образом, анализ прохождения гармонического колебания через любое устройство сводится только к оценке изменения этих двух величин, а в большинстве практических задач — только к оценке изменения амплитуды. Гармонические колебания, в виде суммы которых можно представить исследуемый сигнал, называются его составляющими, а их совокупность и есть спектр сигнала. Выяснив, какие изменения претерпевает каждая из спектральных составляющих при прохождении через исследуемую цепь, достаточно сложить их на выходе, чтобы получить форму выходного сигнала.
При дальнейшем изложении будет использоваться спектр синусоидальных импульсов. Известно, что импульсы тока, представляющие собой отрезки синусоиды (рис. 5.7), содержат в своем составе постоянную составляющую
I0 =
a0(θ)∙
Im и гармоники на частотах, кратных частоте следования синусоидальных импульсов
ω. Так называемые коэффициенты Берга
a0(θ) зависят от угла отсечки импульсов
θ и номера гармоники
n. Количество гармоник в общем случае равно бесконечности, однако их амплитуды с ростом номера гармоники уменьшаются. Обычно практический интерес представляют только несколько первых из них.
Рис. 5.7.
Спектр синусоидальных импульсов
Принцип действия «классического» сверхрегенератора
Для решения задачи, заявленной в начале параграфа, рассмотрим подробно принцип действия реального сверхрегенеративного приемника с автосуперизацией, собранного по «классической» схеме (рис. 5.8). Схема содержит колебательный контур L
кC
5, настраиваемый на частоту сигнала, принимаемого антенной (А). Для уменьшения влияния антенны на параметры контура связь между ними реализована через конденсатор С
3 небольшой емкости.
Рис. 5.8. Принципиальная схема классического сверхрегенератора
Необходимо отметить, что колебательный контур, в отличие от рис. 5.3, включен в коллекторную цепь транзистора, и компенсация потерь энергии сигнала будет происходить непосредственно коллекторным током.
Необходимая для этой цели обратная связь организована следующим образом. Поскольку верхний по схеме, вывод колебательного контура соединен с общим проводом через конденсатор С
2, сопротивление которого на частоте сигнала пренебрежимо мало, высокочастотное напряжение
Uк, существующее на нем, фактически действует между коллектором транзистора и корпусом (см. рис. 5.8).
Это напряжение приложено к делителю, состоящему из конденсатора обратной связи С
6 и дросселя Др
1. Нижний вывод дросселя соединен с корпусом через малое сопротивление конденсатора С
4. Поскольку база транзистора также соединена с корпусом через конденсатор большой емкости C
1, то высокочастотное напряжение обратной связи
Uoc приложено фактически между эмиттером и базой транзистора.
Режим транзистора по постоянному току, как известно, определяется напряжением
Uб-э. Так как сопротивлением дросселя Др
1 постоянному току можно пренебречь, то это напряжение будет представлять собой разность
Uб-э =
UR2 —
Uс. Оно и определяет положение рабочей точки на характеристиках транзистора.
Напряжение
UR2 снимается с нижнего плеча делителя R
1R
2 и может регулироваться переменным резистором R
1. Элементы R
4C
7 являются фильтром нижних частот и предназначены для выделения полезного сигнала.
В правильно собранной схеме при отсутствии входного сигнала существует режим прерывистых колебаний. Форма напряжений на контуре
Uк и конденсаторе С
4, полученные в результате включения схемы в системе схемотехнического моделирования Micro-Cap 6, приведена на рис. 5.9. Пилообразное напряжение, приведенное на втором графике, и является напряжением автосуперизации в рассматриваемой схеме. Для анализа процессов, происходящих в схеме, выделим одну вспышку высокочастотных колебаний и рассмотрим подробно механизм ее формирования.
Рис. 5.9. Эпюры напряжений в сверхрегенераторе
На рис. 5.10 приведена проходная характеристика транзистора КТ315Б, использованного в схеме, на которой отмечены
Рис. 5.10. Проходная характеристика транзистора
две характерные точки. Точка (1) соответствует напряжению на участке «база-эмиттер», при котором начинает протекать коллекторный ток. Из графика видно, что оно равно
Uб_
э = 0,45 В.
Точка (2) соответствует критической крутизне проходной характеристики
Sкp, при которой в схеме выполняются условия самовозбуждения. Происходит это при
Uб_
э = 0,521 В. Коллекторный ток, соответствующий моменту самовозбуждения, равен 145 мкА. С помощью переменного резистора R
1 устанавливается такое исходное напряжение
Uб-э =
UR2 —
Uс при котором исходная крутизна
Sи >
Sкр. При таких условиях в схеме, как уже говорилось, возбуждаются прерывистые колебания.
Графики в характерных точках схемы, облегчающие понимание принципа действия, приведены на рис. 5.11.
Рис. 5.11. Графики, поясняющие принцип действия сверхрегенератора
Рис. 5.11. Графики, поясняющие принцип действия сверхрегенератора (продолжение)
Поскольку процесс в схеме периодический, рассмотрение можно начать с любого момента времени. Пусть в момент
t = 0 напряжение на конденсаторе С
4, обусловленное предыдущими процессами в схеме, таково, что текущее значение
Uб-э =
UR2 —
Uс < 0,45 В (рис. 5.11,
а, б). Транзистор в этой ситуации заперт, коллекторный ток его равен нулю (рис. 5.11,
в, г), высокочастотное напряжение на контуре отсутствует (рис. 5.11,
д). Происходит разряд конденсатора С
4 через резистор R
3. Напряжение на конденсаторе уменьшается по экспоненциальному закону
где
Uсо — напряжение на конденсаторе в момент запирания транзистора в предыдущем цикле (момент, аналогичный точке 5 на графиках);
τр =
R3C4 — постоянная времени цепи разряда конденсатора.
Как только напряжение
Uб-э станет равным 0,45 В (точка 1), транзистор начнет открываться. Появится коллекторный ток, нарастающий во времени (интервал 1–2 на рис. 5.11,
в, г). Хотя открывшийся транзистор обеспечивает протекание зарядного тока через конденсатор С
4, напряжение на нем по-прежнему убывает (рис. 5.11,
а) пока величина тока разряда конденсатора через резистор R
3 больше зарядного тока.
Поскольку первый из них убывает, а второй нарастает, результирующая скорость роста напряжения
Uб-э замедляется. Тем не менее, в точке 2 это напряжение достигает критического значения
Uб-э = 0,521 В, что соответствует началу самовозбуждения каскада.
В контуре возникают высокочастотные колебания (рис. 5.11,
д), амплитуда которых нарастает в соответствие с выражением (5.7). Здесь уже уместно сделать первый полезный для практики вывод.
Если после открывания транзистора зарядный и разрядные токи конденсатора С
4 сравняются прежде, чем напряжение
Uб-э достигнет
Uкр (в нашем случае 521 мВ), то самовозбуждение каскада не произойдет и сверхрегенератор работать не будет. Скорость уменьшения тока разряда конденсатора определяется постоянной времени
τр =
R3C4 и величиной исходного напряжения на конденсаторе
Uco.
Скорость же нарастания зарядного тока через открывающийся транзистор определяется крутизной транзистора в исходной рабочей точке
Sи, что в свою очередь зависит от соотношения сопротивлений резисторов R
1, R
2 и R
3 и параметра
h21э транзистора. Напряжение
Uб-э, соответствующее
Sи, при желании можно измерить, преднамеренно устранив условия самовозбуждения в каскаде, например временным отключением конденсатора обратной связи С
6. Как видно, резистор R
3 влияет и на
τр, и на
Sи, что усложняет процедуру настройки.
На практике целесообразно выбрать величину R
3, исходя из требуемого значения частоты суперизации, а затем подстройкой R
1 получить прерывистую генерацию. Для полноты картины следует отметить, что величиной R, можно в небольших пределах управлять и частотой суперизации. Действительно, чем больше напряжение
UR2, тем больше напряжение
Uco, до которого зарядится конденсатор С
4, а значит и больше будет время его разряда, определяющее период суперизации.
Вернемся к процессам, происходящим в схеме. Часть напряжения, возникшего на контуре, в виде сигнала обратной связи
Uoc начинает суммироваться с медленно меняющимся напряжением на участке «база-эмиттер». Результирующее напряжение теперь представляет собой алгебраическую сумму трех напряжений (рис. 5.11,
б) и описывается выражением:
Uб-э =
UR2 — (
Uc +
Uос).
Коллекторный ток в результате начинает изменяться по синусоидальному закону (интервал 2–3 на рис. 5.11,
в). Поскольку транзистор при этом работает в режиме класса А, постоянная составляющая коллекторного тока на этом участке практически не меняется (рис. 5.11,
г). Суммарное напряжение
Uб-э на этом интервале тек же содержит синусоидальную составляющую, нарастающую во времени. В момент времени, соответствующий точке
3 на графиках, происходит существенное изменение режима. Суммарное напряжение
Uб-э начинает «цеплять» линию
Uб-э = 450 мВ (рис. 5.11,
б), соответствующую запирающему напряжению транзистора.
Коллекторный ток теперь протекает только в те части периода высокочастотного напряжения, в течение которых напряжение
Uб-э превышает уровень в 450 мВ (интервал 3–5 на рис. 5.11,
в). Именно этот факт является одним из необходимых условий существования режима прерывистой генерации в каскаде и, как следствие, возможности усиления принимаемых колебаний. Посмотрим на процессы,происходящие на интервале 3–5, внимательнее.
С одной стороны короткие импульсы коллекторного тока и являются теми «толчками», которые раскачивают колебания в контуре. Другими словами, первая гармоника этих импульсов обеспечивает формирование на контуре нарастающего гармонического напряжения. Пропорционально растет и напряжение обратной связи, прикладываемое к базе транзистора. Это, в свою очередь, вызывает дальнейший рост амплитуды коллекторных импульсов и напряжения на контуре.
С другой стороны постоянная составляющая импульсов (рис. 5.11,
г) обеспечивает заряд конденсатора С
4, напряжение с которого уменьшает результирующую разность
UR2 —
Uc (рис. 5.11,
б). В итоге уменьшается угол отсечки импульсов коллекторного тока, что должно препятствовать росту напряжения на контуре. Результат зависит от того, что больше: скорость нарастания амплитуды напряжения обратной связи, являющегося частью напряжения на контуре, или скорость нарастания напряжения на конденсаторе
Uc.
В интервале 3–4 соотношение роста амплитуды импульсов коллекторного тока и уменьшения их угла отсечки таково, что и первая гармоника, и постоянная составляющая
Iк0 этих импульсов растут. Последняя обеспечивает увеличение напряжения на конденсаторе
Uс, более того, увеличивается и скорость роста этого напряжения, что хорошо видно на графике (рис. 5.11,
а). Это (через уменьшение угла отсечки) приводит к уменьшению скорости роста напряжения на контуре, но до точки
4 она еще превышает скорость роста
Uc.
Выполнение этого условия принципиально необходимо для нарастания амплитуды вспышки. Для его обеспечения в реальной схеме необходимо помнить, что
Uос является частью напряжения на контуре
Uк, и скорость его нарастания можно регулировать двумя способами: коэффициентом затухания
δ через параметры, в него входящие (формула 5.7), и изменением коэффициента обратной связи, определяющимся соотношением реактивных сопротивлений конденсатора обратной связи С
6 и дросселя Др1. Уменьшать скорость нарастания
Uc можно, в частности, увеличением емкости С
4.
В точке
4 рост амплитуды импульсов коллекторного тока полностью компенсируется уменьшением их угла отсечки. Как следствие, постоянная составляющая
Iк0 перестает изменяться, достигнув своего максимального значения. Далее амплитуда импульсов еще некоторое время растет, но уменьшение угла отсечки уже таково, что постоянная составляющая коллекторного тока уменьшается. Это приводит к уменьшению крутизны нарастания напряжения на конденсаторе.
Само же напряжение продолжает нарастать, смещая рабочую точку транзистора вниз по характеристике, что приводит к уменьшению ее крутизны. Из-за этого начинает уменьшаться амплитуда коллекторных импульсов, что увеличивает скорость спада постоянной составляющей
Iк0. Уменьшается и напряжение на контуре. В точке максимума напряжения
Uc (рис. 5.11,
а) значение постоянной составляющей таково, что ток заряда конденсатора становится равным току разряда, и далее ток разряда превалирует.
В точке
5 амплитуда напряжения на контуре уменьшается до такой величины, при которой напряжение обратной связи перестает превышать пороговый уровень в 450 мВ (рис. 5.11,
б). Транзистор закрывается. Импульсы коллекторного тока исчезают, становятся равными нулю амплитуды первой гармоники и постоянной составляющей коллекторного тока. Напряжение на конденсаторе имеет величину
Uc0. Энергия, запасенная в контуре к этому моменту, обеспечивает существование в нем затухающих колебаний, амплитуда которых убывает в соответствии с формулой (5.7).
Конденсатор С
4, отсеченный от источника питания закрывшимся транзистором, разряжается через резистор R
3 по экспоненте (5.8). Формирование вспышки закончено. Когда напряжение
Uб-э за счет разряда конденсатора С
4, достигнет величины 450 мВ, начнется процесс формирования новой вспышки.
Необходимо особо подчеркнуть, что если скорость уменьшения напряжения на конденсаторе будет больше скорости уменьшения амплитуды колебаний на контуре, то, как это явствует из рис. 5.11,
б, импульсы напряжения обратной связи будут продолжать превышать пороговый уровень и срыва колебаний не произойдет. Каскад перейдет в режим непрерывной генерации. Вышеупомянутые скорости зависят соответственно от величин
τр и
δ. Очевидно, условие существования прерывистых колебаний имеет вид
До сих пор мы считали, что в контуре отсутствует напряжение сигнала. В этом случае процесс формирования всех вспышек абсолютно одинаков, и в результате их амплитуда, длительность и период следования постоянны. Соответственно постоянны эти параметры и у импульсов постоянной составляющей коллекторного тока (рис. 5.11,
г). Пропустив эти импульсы через фильтр нижних частот, получим на его выходе постоянное напряжение, пропорциональное амплитуде импульсов постоянной составляющей.
При поступлении из антенны в контур напряжения сигнала картина меняется. В момент времени, соответствующий критическому значению крутизны транзистора (точка
2), напряжение в контуре начнет нарастать не с нулевого значения, а с величины, равной амплитуде сигнала в контуре. Соответственно увеличатся как максимальная амплитуда вспышек на контуре, так и амплитуда импульса постоянной составляющей коллекторного тока.
В свою очередь, это приведет к увеличению напряжения на выходе ФНЧ. Если сигнал, поступающий в контур, модулирован по амплитуде, то, в конечном счете, окажутся модулированными и импульсы постоянной составляющей коллекторного тока, а значит, сигнал на выходе ФНЧ будет повторять по форме огибающую входного сигнала.
Поскольку в контуре всегда существует собственное напряжение шумов, то при отсутствии входного сигнала напряжение, с которого будут начинаться высокочастотные вспышки, будет определяться значением шумового напряжения в момент, соответствующий точке
2 на графиках. От вспышки к вспышке напряжение шумов меняется по случайному закону, поэтому и на выходе ФНЧ напряжение будет представлять собой случайное колебание, которое воспринимается на слух в виде характерного «суперного» шума.
Фильтр нижних частот, выделяющий полезный сигнал, как следует из вышеприведенных соображений, должен находиться в коллекторной цепи. Иногда так и делается. Однако подробно рассмотренный процесс формирования, в частности, напряжения на конденсаторе С
4, в котором принимает участие постоянная составляющая коллекторного тока
I0, позволяет сделать вывод, что и амплитуда импульсов напряжения на этом конденсаторе так же будет меняться по закону огибающей входного сигнала.
В приведенной на рис. 5.8 схеме использован этот факт, и на вход ФНЧ, состоящего из резистора R
4 и конденсатора С
7, подается пилообразное напряжение суперизации с конденсатора С
4.
В заключение необходимо отметить, что часть напряжения сигнала, поступившего из антенны в контур, по цепи обратной связи попадет на базу транзистора и будет складываться там с пилообразным напряжением суперизации и постоянным напряжением смешения. В результате, момент пересечения суммарным напряжением
Uб-э уровня отпирания транзистора (точка
1 на графиках) от периода к периоду будет изменяться, вызывая изменение частоты следования вспышек во времени по закону огибающей входного сигнала.
При отсутствии полезного сигнала аналогичный процесс будет происходить под действием собственных шумов каскада. Этот факт можно использовать при оптимизации режима работы сверхрегенератора. Подключив осциллограф через конденсатор емкостью 5—15 пФ к коллектору транзистора, можно наблюдать вспышки колебаний на контуре. Выбрав длительность развертки осциллографа такой, чтобы на экране умещалось 4–5 вспышек, и синхронизируя развертку по первой из них, можно наблюдать «дрожание» остальных вдоль оси времени под действием собственных шумов.
В процессе настройки необходимо добиваться как можно большей амплитуды этих «дрожаний», что будет свидетельствовать о максимальном коэффициенте усиления приемника. Вместо высокочастотных вспышек можно наблюдать пилообразное напряжение суперизации, подключив осциллограф к конденсатору С
4.
Изложенный подробный принцип действия сверхрегенератора при внимательном его рассмотрении радиолюбителями позволит облегчить процедуру настройки конкретных конструкций приемников и оптимизацию их параметров.
5.2.2. Классический сверхрегенератор
Принципиальная схема
Практическая схема сверхрегенеративного приемника, первый каскад которого ничем, по-существу, не отличается от рассмотренного в предыдущем параграфе, приведена на рис. 5.12. Подстроечный резистор R2 обеспечивает установку желаемой рабочей точки при настройке приемника.
Ограничительный резистор R1 препятствует выходу из строя транзистора VT1 при случайной установке движка R2 в процессе настройки в крайнее верхнее положение. С выхода фильтра нижних частот R5C7 продетектированный сигнал поступает на вход УНЧ, собранного на транзисторах VT2 и VT3. Непосредственное включение транзисторов с охватом схемы глубокой отрицательной связью по постоянному току через резистор R7 обеспечивает хорошую термостабилизацию положения рабочей точки. Общий коэффициент усиления УНЧ в такой схеме может достигать 1000–3000. Эмиттерный повторитель на транзисторе VT4 обеспечивает развязку приемника с последующими каскадами.
Рис. 5.12. Принципиальная схема классического сверхрегенератора
Детали и конструкция
Печатная плата изображена на рис. 5.13 и никаких комментариев не требует. Все конденсаторы, кроме электролитических С8 и С10, должны быть керамическими. Подстроечный резистор R2 может быть либо СПЗ-38б, либо РG1-6ЗМг. Все транзисторы — либо КТ315, либо КТ3102 с любыми буквенными индексами. Контурная катушка имеет 7 витков провода диаметром 0,5 мм на каркасе с подстроечным сердечником из карбонильного железа. Диаметр каркаса может быть в диапазоне 5–9 мм. Дроссель L1 — стандартный на 20–68 мкГн. В качестве антенны используется штырь либо гибкий провод длиной 20–40 см.
Рис. 5.13. Печатная плата
Настройка
Настройка заключается в установке оптимального режима сверхрегенерации с помощью R2 и настройке контура L2C5 в резонанс по сигналу своего передатчика. Конденсатор С6 должен иметь начальную емкость 15 пФ. Его значение уточняется в процессе настройки до получения максимума колебаний, наблюдаемых осциллографом в точке соединения конденсаторов С7 и С9. Настройка УНЧ сводится к установке на эмиттере транзистора VT4 напряжения, равного 4 В, путем подбора сопротивления резистора R7, для чего временно его целесообразно заменить переменным.
Соединительные провода должны при этом быть как можно короче во избежание наводок на базу VT2. При отсутствии осциллографа к выходу приемника можно подключить высокоомные наушники (например ТОН-2) и подобрать положение движка R2 и величину С6 по максимальной громкости прослушиваемых шумов при выключенном передатчике. Затем включить передатчик (имеется в виду, что он работает в режиме амплитудной модуляции сигналами с выхода шифратора), и настроить входной контур на максимальную громкость. Иногда после этого полезно подобрать положение движка потенциометра R2.
5.2.3. Сверхрегенератор с УРЧ
Основные положения
Поскольку сверхрегенератор представляет собой каскад, работающий в режиме прерывистой генерации, часть мощности колебаний, возникающих в контуре, через конденсатор связи попадает в антенну и излучается. Величина излучаемой мощности может достигать нескольких милливатт, что оказывает нежелательное воздействие на работающую поблизости радиоаппаратуру.
Одновременное управление несколькими моделями, например становится практически невозможным. Для развязки между антенной и сверхрегенеративным каскадом устанавливают усилитель радиочастоты. Проблема таким образом разрешается, поскольку сигнал в усилителе может распространяться только от входа к выходу. Справедливости ради необходимо отметить, что по-прежнему остается, хотя и менее мощное, паразитное излучение самого колебательного контура приемника. Для его устранения катушку контура целесообразно помещать в экран.
К сожалению, увеличения чувствительности УРЧ не дает. У сверхрегенеративного каскада она уже и так велика и определяется только собственными шумами каскада. Чувствительность будет повышена только в том случае, если собственные шумы каскада УРЧ меньше шумов сверхрегенератора.
В этом легко убедиться на простом примере. Пусть чувствительность сверхрегенератора равна 10 мкВ при отношении «сигнал/шум», равном 5. Это означает, что средний уровень собственных шумов, приведенных к входу, равен 10/5 = 2 мкВ. Теперь установим на входе УРЧ с коэффициентом усиления по напряжению
Кu = 10, собранный на таком же транзисторе, что и в каскаде сверхрегенератора. Его собственные шумы также будут равны 2 мкВ. Подадим на вход УРЧ те же 10 мкВ.
На входе сверхрегенератора напряжение сигнала, прошедшего через УРЧ, будет равно 10x10 = 100 мкВ, а напряжение шумов соответственно 2x10 + 2 = 22 мкВ. Результирующее отношение «сигнал/шум» на входе сверхрегенератора стало равным 100/22 = 4,54, что меньше первоначального. Для того чтобы оно осталось прежним, на вход необходимо подавать уже 11 мкВ вместо 10. Как видим, УРЧ даже ухудшил чувствительность. Если же собственные шумы транзистора УРЧ составляют 1 мкВ, то нетрудно посчитать, что теперь будет достаточно сигнала величиной всего 6 мкВ. Но если на таком транзисторе собрать сам сверхрегенератор, результат будет еще лучше. Таким образом, применение УРЧ оправдывается только желанием уменьшить паразитное излучение через антенну.
Принципиальная схема
Принципиальная схема приемника изображена на рис. 5.14. УРЧ собран на транзисторе VT1 по схеме с общей базой. Такое включение транзистора обеспечивает каскаду малое входное сопротивление, что делает его малочувствительным к разбросу параметров антенн. Нагрузкой каскада по переменному току является колебательный контур L1C7, одновременно входящий в состав сверхрегенератора, реализованного на транзисторе VT2. В отличие от предыдущей схемы, в нем, как и в УРЧ, применен высокочастотный кремниевый транзистор прямой проводимости, позволивший реализовать достаточно экономичный вариант приемника. Ток, потребляемый двумя первыми каскадами, не превышает 1,4 мА.
Микросхема DA1 исполняет роль усилителя низкой частоты. Резистор R12 определяет ток потребления микросхемы, ее максимальный коэффициент усиления и полосу пропускания. При указанных на схеме параметрах «обвязки» ток, потребляемый операционным усилителем, составляет всего 0,4 мА, а коэффициент усиления достаточен для получения выходных импульсов в уровнях, пригодных для непосредственной подачи на вход цифровых микросхем дешифратора или распределителя импульсов. Приемник питается от батареи типа «Крона» через стабилизатор DA2, обеспечивающий напряжение 6 В, что исключает «уход» параметров схемы по мере разряда батареи.
Рис. 5.14. Принципиальная схема сверхрегенератора с УРЧ
Детали и конструкция
Печатная плата изображена на рис. 5.15 и никаких особенностей не имеет. Транзисторы КТ3127А можно заменить на КТ3128. Катушка индуктивности L1 содержит 9 витков провода диаметром 0,35 мм на каркасе с резьбовым (М4) подстроечным сердечником из карбонильного железа. Конденсатор С8 лучше составить из двух: постоянного емкостью 24 пФ и подстроечного — 8—30 пФ. Соответствующие места на плате предусмотрены. В качестве антенны можно использовать отрезок провода длиной 20–40 см.
Рис. 5.15. Печатная плата
Настройка
Настройка сводится к подбору величины резистора R1 до получения на базе транзистора VT1 напряжения 4,2 В. Затем, по сигналам собственного передатчика, вращением сердечника катушки настраивается колебательный контур сверхрегенератора, а ротором конденсатора С8 — режим сверхрегенерации, до получения на выходе приемника максимальной амплитуды сигнала. Величина резистора R12 влияет на ток потребления микросхемы и полосу ее пропускания. Если крутизна фронтов выходных импульсов неудовлетворительна, резистор этот нужно уменьшать, однако платой за расширение полосы будет увеличение тока потребления.
5.2.4. Сверхрегенератор на транзисторе в барьерном режиме
Принципиальная схема
Сверхрегенеративный каскад собран на транзисторе VT1 (рис. 5.16). Особенностью каскада является работа транзистора в барьерном режиме. Его база по постоянному току соединена с коллектором через катушку L1. Такой режим, как известно, очень экономичен [8,9]. Ток, потребляемый каскадом, не превышает 70 мкА, и для его питания достаточно напряжения 2–3 В (контрольная точка Кт1).
Рис. 5.16. Принципиальная схема приемника
Для организации положительной обратной связи от части витков катушки L1 сделан отвод, соединенный по переменному току (через С4) с эмиттером транзистора. Глубина обратной связи выбрана такой, чтобы исходная рабочая точка транзистора находилась на участке характеристики с крутизной
S >
Sкр. В результате в каскаде возникают колебания на частоте настройки контура (рис. 5.17, а). По мере роста их амплитуды ток, потребляемый каскадом, увеличивается (увеличивая падение напряжения на резисторе R1) и, как следствие, уменьшается напряжение, питающее транзистор (рис. 5.17,
б). Рабочая точка перемещается на участок с меньшей крутизной, и колебания срываются, что резко уменьшает ток через транзистор. Падение напряжения на R1 уменьшается, а в Кт2 растет по экспоненциальному закону, так как происходит заряд конденсатора С4, подключенного к этой точке. Когда напряжение возрастет до величины, при которой
S >
Sкр, процесс повторится, обеспечивая работу каскада в режиме прерывистой генерации.
Рис. 5.17. Эпюры в характерных точках
При поступлении в контур сигнала из антенны, амплитуда и частота экспоненциальных импульсов в Кт2 оказываются промодулированными огибающей входного сигнала. В спектре импульсов появляются гармоники огибающей. Выделенные фильтром нижних частот R3C6, они поступают на усилитель нижних частот, выполненный на первых трех элементах цифровой схемы DD1.
Резисторы цепи обратной связи R4, R5 обеспечивают работу микросхемы в линейном режиме. От их величины зависит коэффициент усиления УНЧ. На элементе DD1.4 реализован компаратор напряжения, порог которого регулируется потенциометром R6 таким образом, чтобы шумы с выхода УНЧ не вызывали его срабатывания.
Приемник имеет достаточно высокие характеристики. При напряжении питания 5 ±0,3 В ток потребления не превышает 1,8 мА. Чувствительность при отношении «сигнал/шум» в контрольной точке Кт3, равном четырем, не хуже 0,7 мкВ. При установлении порога компаратора, исключающего ложные срабатывания от шумов, чувствительность снижается до 1,5 мкВ. Выходной сигнал приемника представляет собой отрицательные импульсы амплитудой, практически равной напряжению питания. Диапазон перестройки приемника сердечником катушки L1 лежит в пределах 26–32 МГц. При использовании устройства для приема речевой информации, элементы схемы DD1.4, R7, R6, С11 необходимо исключить, а к нижнему (по схеме) выводу С9 подсоединить УНЧ.
Детали и конструкция
Печатная плата выполняется из одностороннего фольгированного стеклотекстолита или гетинакса в соответствии с рис. 5.18. Установочные размеры катушки L1 зависят от диаметра выбранного каркаса (5–7 мм) и могут быть изменены.
Рис. 5.18. Печатная плата
Катушка содержит 2 + 8 витков провода диаметром 0,5 мм. Подстроечный резистор R6 может быть любой, но на плате предусмотрено место для СПЗ-38б. Микросхема может быть заменена K176ЛE5. Не стоит пытаться устанавливать K561ЛA7, в активном режиме она работать не будет. Конденсаторы C1—С4 должны быть керамические, остальные — любого типа. На месте VT1 успешно будут работать транзисторы КТ3127А, КТ3128А. Отличные результаты получаются при использовании транзисторов типа КТ368А и КТ399А, но так как они
n-р-n структуры, схему первого каскада нужно изменить согласно рис. 5.19. Естественно, придется поменять и чертеж соответствующего фрагмента печатной платы. Необходимо обязательно иметь ввиду, что полярность сигналов в Кт2, КтЗ и на выходе приемника поменяется на противоположную!
Питать приемник необходимо либо от внешнего стабилизированного источника, либо установить стабилизатор напряжения на плату, место для него предусмотрено (DA1). Подойдет любой маломощный стабилизатор, например КР1170ЕН5.
Рис. 5.19.
Замена транзистора
Настройка
После проверки правильности монтажа подать питающее напряжение на плату. Сердечник катушки L1 ввернуть полностью. Проверить постоянное напряжение в Кт1. Оно должно находиться в пределах 2–2,5 В, в противном случае ввести его в эти пределы подбором R2. Подключить осциллограф к контрольной точке Кт2. Должны наблюдаться экспоненциальные импульсы, форма и параметры которых изображены на рис. 5.17,
б.
Подбором величины R1 установить частоту их следования равной 40–44 кГц (период 22,7—25 мкс). Дрожание импульсов, начиная со второго, по оси времени является нормальным и свидетельствует об усилении каскадом собственных шумов. Отсутствие импульсов свидетельствует об отсутствии прерывистой генерации в каскаде. Причина может заключаться либо в сильном отклонении частоты настройки контура от указанного выше диапазона, либо в недостаточной величине коэффициента обратной связи в каскаде.
В первую очередь следует вращением сердечника попробовать добиться возникновения колебаний. При этом нужно иметь ввиду, что емкость конденсатора С2 на схеме указана для каркаса диаметром 5 мм. Если используется больший диаметр, индуктивность катушки растет, и емкость конденсатора нужно снижать. Так, при диаметре каркаса 9 мм емкость должна быть 27 пФ. Если генерация все же не возникла, необходимо попробовать увеличить число витков катушки до отвода на 0,5–1 виток.
Полезно проконтролировать форму высокочастотных вспышек на контуре. Для этого нужно подключить осциллограф, параметры которого должны позволять наблюдать высокочастотное напряжение 27 МГц, к коллектору транзистора VT1 через конденсатор, емкостью 2–5 пФ. Установить максимальную чувствительность осциллографа и длительность развертки 10 мкс/дел.
Форма высокочастотных вспышек должна быть примерно такая, как на рис. 5.17,
а. Импульсы должны быть остроконечные и короткие (4–5 мкс). Если импульсы длиннее, о чем будет свидетельствовать наличие примерно плоской вершины, чувствительность приемника будет занижена. В этом случае полезно подобрать число витков катушки до отвода, изменяя их небольшими шагами (по 0,25—0,5 витка).
Усилитель низкой частоты, как правило, настройки не требует. Достаточно проконтролировать постоянное напряжение в Кт3. Оно должно лежать в пределах 2–3 В. Иная величина свидетельствует об ошибке монтажа или неисправности микросхемы.
Для настройки приемника на рабочую частоту необходимо либо подключить к его входу генератор стандартных сигналов в режиме внутренней модуляции, либо расположить на расстоянии 2–3 м включенный передатчик. В первом случае глубину модуляции установить равной 0,9 и амплитуду выходного сигнала — 10 мкВ. Осциллограф подключить к Кт4 и настроить входной контур в резонанс по максимуму наблюдаемого сигнала.
Компаратор настраивается по сигналам передатчика. Вращая движок потенциометра R6 из нижнего по схеме положения, добиться появления на выходе приемника отрицательных прямоугольных импульсов. Для обеспечения максимальной чувствительности продолжать вращение до тех пор, пока на экране не начнут проскакивать короткие импульсы, вызванные срабатыванием компаратора от шумов. Затем следует повернуть движок в обратную сторону на небольшой угол, при котором шумовые срабатывания пропадут.
В заключение отметим, что нагрузочная способность компаратора невелика, поэтому к приемнику можно подключать устройства, имеющие входное сопротивление не менее 10 кОм.
5.2.5. Сверхрегенератор на полевом транзисторе
Принципиальная схема
Чувствительность сверхрегенеративных приемников в значительной степени определяется собственными шумами используемого транзистора. В этом смысле целесообразно применение полевых транзисторов, как менее шумящих. На рис. 5.20 приведена схема одной из возможных реализаций такого приемника.
Рис. 5.20.
Принципиальная схема приемника с УНЧ на транзисторах
Наиболее интересные параметры схемы сведены в табл. 5.1.
Результаты получены при напряжении питания 5 В, глубине модуляции испытательного сигнала
m = 0,9 и частоте модуляции 1 кГц. Приемник предназначен для работы с импульсными сигналами, поэтому выбран нелинейный режим, обеспечивающий эффективную АРУ. При увеличении амплитуды входного сигнала с 3,5 мкВ до 4,5 мВ (в 1300 раз), уровень сигнала в контрольной точке Кт2 меняется всего в пределах 160–350 мВ. Приемник предназначен для работы с амплитудно-манипулированными сигналами.
Сверхрегенеративный каскад собран на транзисторе VT1. Колебательный контур включен в затворную цепь. Это, во-первых, практически исключило шунтирующее действие транзистора на контур, что существенно повысило его нагруженную добротность. Во-вторых, снизило мощность колебаний в контуре и, как следствие, паразитное излучение через антенну. Емкость контура образована двумя конденсаторами С2 и СЗ, точка соединения которых подключена к истоку транзистора, что и обеспечивает положительную обратную связь, необходимую для самовозбуждения каскада.
Величина резистора R1, постоянное падение напряжения на котором определяет исходное положение рабочей точки, выбрано такой, чтобы крутизна в этой точке превышала критическое значение. Совместно с конденсатором С5 этот резистор образует цепь формирования вспомогательных колебаний суперизации.
Форму и параметры колебаний можно проконтролировать осциллографом в контрольной точке Кт1. Они должны соответствовать рис. 5.21,
б. Двузвенный фильтр нижних частот R2, С6, R4, С7 выделяет постоянную составляющую этих колебаний, изменяющуюся, как известно, по закону огибающей принимаемого сигнала, и подавляет колебания на частоте суперизации.
Рис. 5.21. Эпюры в характерных точках
Для того чтобы коэффициент передачи фильтра был близок к единице, он должен быть нагружен на сопротивление, существенно превышающее сумму R2 и R4. С этой целью далее установлен истоковый повторитель на полевом транзисторе VT2. Усилитель низкой частоты реализован на транзисторе V3 и никаких особенностей не имеет.
Конденсатор С9 дополнительно подавляет просочившееся напряжение суперизации. На выходе усилителя выделяется смесь полезного сигнала и шума, отношение амплитуд которых зависит от уровня входного сигнала (см. табл. 5.1). Каскад на транзисторе VT4 представляет собой, по сути, усилитель-ограничитель «снизу». Его рабочая точка выбрана таким образом, что, в отсутствие сигнала, амплитуды шумов недостаточно для отпирания транзистора и выходное напряжение равно нулю. Полезный сигнал, имеющий в точке Кт2 отрицательную полярность и превышающий уровень шумов минимум в четыре раза, открывает последний транзистор, и на его выходе формируются положительные импульсы амплитудой 5 В. Конденсатор С13 очищает фронты импульсов от остатков напряжения суперизации.
Детали и конструкция
Печатная плата приемника выполнена из одностороннего стеклотекстолита. Ее чертеж со стороны проводников приведен на рис. 5.22. Поскольку заявленные характеристики обеспечиваются в достаточно узком диапазоне питающих напряжений 5±0,5 В, источник питания должен быть стабилизирован. Стабилизатор, при желании, может быть размещен на плате приемника, для этого на ней предусмотрено место (элемент DA1). Подойдет, например интегральный стабилизатор 1170ЕН5 или его импортный аналог.
Рис. 5.22.
Печатная плата
Транзистор VT1 может быть заменен на КП303А (Б, В, Ж), при этом может потребоваться подбор величины резистора R1 по указанной ниже методике. Можно использовать и КП303Г (Д, Е), КП302 с любой буквой, но напряжение питания обязательно придется повысить до 9 В из-за того, что у них значительно больше напряжение отсечки. Транзистор VT2 должен быть из серии КП303Г-Е при любом напряжении питания.
Транзисторы VT2, VT3 заменяются на КТ315 и КТ361 соответственно, с любыми буквенными индексами.
Контурная катушка содержит 8 витков и наматывается проводом 0,35—0,5 мм на каркасе диаметром 5–9 мм с карбонильным подстроечным сердечником. Можно использовать и ферритовый, но обязательно убедиться, что он марки 15–50 ВЧ. Высокочастотный дроссель Др1 стандартный, типа ДПМ-0,1, ДМ-0,1 индуктивностью 10–68 мкГн.
Можно использовать и самодельный, намотав 20–25 витков провода 0,15—0,25 мм на ферритовое кольцо диаметром 8—10 мм. Конденсаторы С2, С3 — керамические с хорошим ТКЕ (группы МЗЗ, ПЗЗ, МП0). Остальные могут быть любыми керамическими. Электролитические конденсаторы С8, С12 — любого типа на напряжение не менее 6,3 В. Никаких особых требований не предъявляется и к постоянным резисторам. В качестве антенны приемника используется отрезок провода длиной 25–50 см. Понятно, что чем больше длина антенны, тем больше будет дальность действия аппаратуры. Выход приемника рассчитан на подключение цифровой части, собранной на микросхемах серии КМОП.
Настройка
Настройку приемника желательно проводить с помощью осциллографа. Убедившись в правильности монтажа, временно заменить резистор R1 на подстроечный, сопротивлением 10–47 кОм, подсоединив его к плате как можно более короткими проводниками.
Осциллограф подключить к контрольной точке Кт1. Подать на плату питающее напряжение. Вращением ротора потенциометра добиться появления на экране пилообразных импульсов (рис. 5.21,
б). Ручками синхронизации осциллографа обеспечить неподвижность первого импульса на экране. Подстройкой потенциометра установить частоту их следования равной 30–33 кГц.
Дрожание импульсов, начиная со второго, происходит из-за наличия собственных шумов каскада и свидетельствует о его нормальной работе. Амплитуда их должна быть равной 0,7–0,8 В. Подключив осциллограф к затвору первого транзистора через конденсатор емкостью 3–5 пФ, можно наблюдать вспышки высокочастотных колебаний на контуре (рис. 5.21,
а). Измерить тестером сопротивление потенциометра, предварительно отключив его от схемы, и впаять постоянный резистор ближайшего номинала. Если требуемая частота и амплитуда импульсов одновременно не устанавливается, то подбором сопротивления потенциометра устанавливается нужная амплитуда импульсов, а затем подбором емкости конденсатора С5 — требуемая частота.
При отсутствии осциллографа можно поступить следующим, образом. Временно соединить затвор первого транзистора с корпусом небольшим отрезком провода, обеспечив срыв колебаний. Контролируя вольтметром постоянного тока напряжение в Кт1, вращением оси потенциометра установить его равным 0,6–0,65 В. Убрав перемычку, убедиться, что напряжение возрастает до 0,7–0,9 В, что свидетельствует о возникновении генерации. Установить оптимальные параметры «пилы» при этом методе, к сожалению, не удастся.
Для дальнейшей настройки потребуется либо генератор стандартных сигналов, либо передатчик, совместно с которым планируется использование приемника. Генератор подключается непосредственно к антенному входу и настраивается на требуемую частоту, его выходное напряжение устанавливается равным 100 мкВ, а глубина внутренней модуляции — 90 %. Если используется передатчик, его предварительно настраивают и располагают на расстоянии 2–3 м от приемника.
Осциллограф подключается к точке Кт2. Затвор транзистора VT2 временно соединяется с корпусом, а резистор R7 заменяется подстроечным, сопротивлением 47 кОм. Вращением ротора потенциометра необходимо установить постоянное напряжение в контрольной точке равным 3,15 В. При отсутствии осциллографа сделать это можно и с помощью вольтметра. Одновременно на базе транзистора VT4 (КтЗ) необходимо установить 4,65 В подбором величины резистора R10. В последнем случае на этом настройка и заканчивается.
Отпаять перемычку от затвора VT2. На экране осциллографа должны наблюдаться синусоидальные колебания частотой 1 кГц при использовании генератора или примерно прямоугольные импульсы, когда источником контрольного сигнала служит передатчик. Наличие только шумовой дорожки говорит о том, что входной контур приемника сильно расстроен. Вращением сердечника катушки контура необходимо добиться максимальной амплитуды наблюдаемого сигнала, что будет свидетельствовать о настройке в резонанс. Для обеспечения высокой точности настройки сигнал генератора необходимо постепенно уменьшать до границы чувствительности (передатчик относить на большее расстояние), о чем будет свидетельствовать появление на экране шумов заметной амплитуды. Окончательно установить движок потенциометра в положение, при котором отсутствует ограничение как положительных, так и отрицательных полуволн наблюдаемого сигнала. Заменить потенциометр постоянным резистором соответствующего сопротивления.
Переключить осциллограф на выход приемника. На экране должны наблюдаться положительные импульсы, размахом 5 В. Подбором R10 добиться, чтобы амплитуда шумовых всплесков в их основании не превышала 0,5 В; уменьшать их до нуля не следует, так как снижается чувствительность. На этом настройка приемника закончена.
В заключение следует отметить, что сверхрегенеративный каскад устойчиво работает в интервале питающих напряжений от 3 до 9 В, потребляя ток соответственно 120–650 мкА. Для каждого питающего напряжения необходимо тщательно подбирать величину резистора R1 и конденсатора С4 по приведенной выше методике. Если изменяется напряжение питания всего приемника, то необходимо уточнять и режимы по постоянному току транзисторов VT3 и VT4.
Если несколько снизить требования к экономичности, то усилитель низкой частоты и формирователь импульсов можно реализовать на операционном усилителе К140УД1208 по схеме, приведенной на рис. 5.23. Суммарный ток потребления приемника возрастет при этом до 1–1,2 мА. Конденсатор С9 добавлен для улучшения подавления напряжения суперизации, ухудшающего форму фронтов полезного сигнала. Операционный усилитель работает в режиме компаратора.
Рис. 5.23. Приемник с УНЧ на операционном усилителе
Настройка выходного каскада сводится к следующему.
Ротор потенциометра R10 устанавливается в нижнее (по схеме) положение. Потенциал на выводе
2 микросхемы DA1 оказывается ниже, чем на выводе
3, и контролируемое осциллографом напряжение на выходе каскада должно быть равно нулю. Подав на вход приемника сигнал одним из описанных выше способов, плавным вращением движка потенциометра добиться появления на выходе импульсов положительной полярности.
Поскольку амплитуда сигнала с выхода истокового повторителя лежит в пределах 2—15 мВ, разность потенциалов на выводах
3 и
2 должна быть 1—15 мВ, что требует тщательной установки порога. От величины последнего (разности потенциалов между выводах
3 и
2) зависит чувствительность приемника в целом. Наибольшей чувствительности соответствует такой порог, при котором снятие входного сигнала приводит к появлению на экране осциллографа хаотически изменяющихся импульсов амплитудой около 5 В, симметричных относительно уровня в 2,5 В.
Необходимо иметь в виду, что такая настройка будет вызывать беспорядочное срабатывание исполнительных устройств аппаратуры при отсутствии входного сигнала. Если это недопустимо, то необходимо в отсутствие входного сигнала плавно повышать порог уменьшением сопротивления R10 до того момента, когда шумовые выбросы на экране осциллографа пропадут. Чувствительность приемника при этом снизится до 4–5 мкВ.
Детали и конструкция второго варианта приемника
Печатная плата второго варианта приемника приведена на рис. 5.24. Для того чтобы настройки сохранялись в процессе эксплуатации, напряжение питания приемника должно быть стабилизировано. Стабилизатор может быть общий на все оборудование модели или предусмотренный только для приемника. В последнем случае его можно установить на печатной плате приемника, место для него предусмотрено (элемент DA2). Подойдет интегральный стабилизатор 1170ЕН5 или аналогичный импортный.
Рис. 5.24. Печатная плата второго варианта
5.2.6. Сверхрегенератор на полевом транзисторе с внешней суперизацией
Ранее отмечалось, что многофункциональность сверхрегенеративного каскада усложняет его настройку и уменьшает устойчивость работы в процессе эксплуатации. В значительной степени эти недостатки устраняются применением внешней суперизации в каскаде. Вариант схемы такого приемника приведен на рис. 5.25. При напряжении питания +5 В приемник потребляет ток 1,6 мА. Его чувствительность при отношении «сигнал/шум» = 4 и глубине модуляции
m = 90 % составляет 1–2 мкВ. Частота настройки— 27,12 МГц (28–28,2 МГц). Приемник предназначен для работы с импульсными сигналами.
Рис. 5.25.
Приемник с внешней суперизацией
Первый каскад отличается от рассмотренного в предыдущем параграфе отсутствием RC-цепи, обеспечивавшей режим прерывистой генерации. Теперь такой режим реализован за счет того, что питание на каскад подается через электронный ключ, собранный на транзисторе VT3. Управляется ключ подачей в базу импульсов суперизации со специального генератора, реализованного на элементах DD1.1, DD1.2.
Форма вырабатываемых колебаний в контрольной точке Кт2 изображена на рис. 5.26,
а. Частота суперизации устанавливается подбором величины R6. Интегрирующая цепочка R2C2 преобразует прямоугольные импульсы в экспоненциальные, форма которых в Кт1 приведена на рис. 5.26,
б.
Параметры положительной обратной связи в каскаде подобраны таким образом, что условия самовозбуждения выполняются при напряжении на стоке транзистора, примерно равном
Uс. кр = 1 В (горизонтальная линия на рис. 5.26,
б). На интервале времени, в течение которого напряжение на стоке превышает критическое значение, в контуре возникают нарастающие по амплитуде высокочастотные колебания. На это же время напряжение на стоке транзистора получает дополнительный прирост. При внимательном рассмотрении графика на рис. 5.26,
б это хорошо заметно.
По окончании упомянутого интервала колебания в контуре затухают по экспоненте с постоянной времени, определяемой добротностью контура (рис. 5.26,
в). Существенным является тот факт, что величина прироста напряжения на стоке, а точнее площадь треугольной области стоковых импульсов, находящейся над уровнем
Uс. кр, зависит от амплитуды высокочастотных вспышек.
Рис. 5.26.
Эпюры напряжений в характерных точках
При наличии в контуре напряжения полезного сигнала, амплитуда и площадь высокочастотных вспышек будет изменяться во времени по закону изменения огибающей этого сигнала, аналогично будут меняться и площади упомянутых треугольных областей. Это означает, что в спектре стоковых импульсов содержатся гармоники огибающей принимаемого сигнала.
Выделить их можно с помощью фильтра нижних частот, роль которого в схеме играют элементы R1, С6, R3, С7. Конденсатор С5 предотвращает попадание постоянной составляющей стокового напряжения на базу транзистора VT2. На этом транзисторе собран усилитель низкой частоты, доводящий уровень выходного сигнала до 0,15—0,2 В.
К нагрузке усилителя (резистор R9) непосредственно подключен логический элемент DD1.3, выполняющий функции компаратора. Графики на рис. 5.27 поясняют работу этого устройства.
Напряжение в контрольной точке КтЗ (рис. 5.27,
а) представляет собой сумму постоянного напряжения
UКт3, принятого сигнала в виде отрицательных импульсов и напряжения шумов. Известно, что входное напряжение
Uпор, при котором происходит переключение логического элемента, для микросхем 561-й серии составляет величину, примерно равную половине напряжения питания. С помощью потенциометра R5 устанавливается такое исходное напряжение в КтЗ, при котором пороговый уровень пересекается только отрицательными сигнальными импульсами (рис. 5.27,
а). На выходе приемника при этом формируются положительные импульсы стандартной амплитуды 5 В (рис. 5.27,
б).
Рис. 5.27.
Работа компаратора
Детали и конструкция
Печатная плата приемника изображена на рис. 5.28 и никаких особенностей не имеет. В правом верхнем углу платы предусмотрено место для установки, при необходимости, интегрального стабилизатора напряжения типа КР1170ЕН5. Все детали сверхрегенеративного каскада такие же, как и в предыдущем варианте приемника.
Транзистор VT2 типа КТ315Б, VT2 — любой транзистор
n-р-n структуры. Микросхема DD1 может быть либо K561ЛA7, либо К561ЛЕ5. Подстроечный резистор R5 марки СПЗ-38Б либо любой другой (при изменении рисунка печатной платы).
Настройка приемника. После проверки правильности монтажа подать на схему напряжение 5±0,2 В. Подключить осциллограф к контрольной точке Кт2 и подбором величины резистора R6 установить частоту наблюдаемых прямоугольных импульсов (рис. 5.26,
а) в пределах 40–44 кГц. Убедится,что форма импульсов в Кт1 соответствует рис. 5.26,
б. Подключить осциллограф или высокоомный вольтметр к контрольной точке КтЗ и движком потенциометра R5 установить уровень постоянного напряжения в ней равным 2,5 В.
От генератора стандартных сигналов подать на вход приемника высокочастотное напряжение на предполагаемой частоте работы приемника. Амплитуду установить 10 мкВ, глубину модуляции— 90 %. Вращением сердечника катушки L1 добиться появления на экране осциллографа, подключенного к КтЗ, синусоидального сигнала на частоте 1 кГц амплитудой 100–300 мВ (огибающая испытательного сигнала).
Отсутствие этого сигнала, а также шумовой дорожки на экране осциллографа свидетельствуют об отсутствии генерации в первом каскаде приемника. Дело в том, что питающим напряжением для каскада являются экспоненциальные импульсы (рис. 5.26,
б) и, с учетом разброса параметров транзисторов, их амплитуды может оказаться недостаточно для самовозбуждения каскада. В этом случае следует временно заменить резистор R2 подстроечным на 3,3–6,8 кОм, и вращением его ротора не только добиться появления сигнала в контрольной точке КтЗ, но и сделать амплитуду этого сигнала максимальной.
Полезно иметь в виду, что чувствительность приемника зависит от длительности интервала времени, в течение которого выполняются условия самовозбуждения (рис. 5.26,
б). Чем меньше эта длительность, тем выше чувствительность, поэтому необходимо тщательно подобрать величину резистора R2, чтобы амплитуда импульсов на стоке транзистора превышала порог
Uск. р на небольшую величину. Однако чрезмерно малая величина превышения приводит к неустойчивой работе каскада из-за действия различных дестабилизирующих факторов. Требуется отыскать разумный компромисс между устойчивостью и чувствительностью.
Заключительный этап настройки лучше проводить по сигналам передатчика, совместно с которым планируется использовать приемник. Включив передатчик, расположенный на расстоянии 3–4 м от приемника, необходимо, контролируя сигнал в КтЗ, уточнить положение сердечника катушки L1, добиваясь настройки в резонанс. Затем необходимо уменьшить уровень выходного сигнала в КтЗ до величины, при которой он будет превышать уровень шумов в 4–5 раз (рис. 5.27,
а). Уменьшение сигнала достигается отключением антенны от передатчика, помещением его в металлический сосуд (например кастрюлю), увеличением расстояния до него и т. д. После этого осциллограф переключить на выход приемника и отыскать такое положение движка потенциометра R5, вращая его в небольших пределах вокруг ранее установленной точки, при котором выходные импульсы будут образовываться только отрицательными импульсами сигнала, а срабатывание от шумовых выбросов будет отсутствовать.
Необходимо иметь в виду, что потенциометр R5 определяет величину постоянного напряжения
UКт3. Чрезмерно большая величина зазора
UКт3 —
Uпор. приведет к снижению чувствительности приемника, так как сигнал небольшой амплитуды не будет вызывать срабатывания компаратора. Малая же величина зазора приведет, как это видно из рис. 5.28,
а, к срабатыванию компаратора от шумовых выбросов. Необходимо выбрать разумный компромисс.
В заключение отметим, что при отсутствии входного сигнала (передатчик выключен) амплитуда шумов в Кт3 возрастает и на выходе приемника появляются хаотические импульсы. Если это недопустимо, то порог нужно устанавливать именно в таком положении, добиваясь пропадания ложных срабатываний. Величину его при этом приходится увеличивать, и чувствительность приемника падает до 4–5 мкВ.
Рис. 5.28. Печатная плата
5.2.7. Сверхрегенератор с внешней суперизацией на двухзатворном транзисторе
Принципиальная схема
Основное достоинство этой схемы заключается в разделении функций, выполняемых различными частями схемы, что существенно упрощает настройку приемника. При напряжении питания 9 В и отношении «сигнал/шум» на выходе равном четырем, чувствительность приемника составляет величину 0,8–1 мкВ. Приемник способен работать в диапазоне 26–29 МГц при соответствующей настройке входного контура. Выход приемника аналоговый, поэтому при использовании его для приема импульсных сигналов к выходу следует подключить формирователь импульсов на базе какого-либо порогового устройства.
На транзисторе VT1 собран генератор (рис. 5.29), призванный компенсировать потери сигнала, поступающего в контур L
1C
4 из антенны через конденсатор С
1 небольшой емкости. Положительная обратная связь реализована через элементы С2 и Др
1, не требующие тщательного подбора.
Рис. 5.29.
Принципиальная схема приемника на двухзатворном транзисторе
Последнее объясняется тем, что крутизна транзистора по первому затвору, от величины которой зависит наличие или отсутствие самовозбуждения в каскаде, управляется напряжением суперизации, продаваемым на второй затвор транзистора. Это напряжение вырабатывается автономным генератором прямоугольных импульсов, собранным на элементах DD1.1, DD1.2 по традиционной схеме. Частотой генератора можно легко управлять, подбирая постоянную времени цепи C
nR
5.
Резисторы R
1, R
2 обеспечивают требуемый режим транзистора по постоянному току, а конденсаторы С
5 и С
8 шунтируют их как на высокой частоте принимаемого сигнала, так и на сравнительно низкой частоте суперизации. Конденсатор С
7 обеспечивает соединение по переменному току второго затвора с корпусом, что необходимо для нормальной работы транзистора. Это единственная деталь в схеме, которая выполняет двойную функцию.
Она, совместно с резистором R
3, образует интегрирующую цепочку, превращающую прямоугольные импульсы генератора суперизации в треугольные. Регулируя амплитуду этих импульсов потенциометром R
3, можно изменять продолжительность промежутков времени, в течение которых крутизна транзистора превышает критическое значение. Это позволяет изменять длительность вспышек высокочастотного напряжения на контуре тем самым, устанавливая желаемый режим работы сверхрегенератора: линейный либо нелинейный.
Как говорилось выше, полезная информация заключается в постоянной составляющей коллекторного (в нашем случае стокового) тока, меняющейся по закону амплитудной модуляции принимаемого сигнала. Для ее выделения используется фильтр нижних частот, состоящий из резистора R
4 и конденсатора С
6. Выделенный сигнал через конденсатор С9 поступает далее на У114, собранный на экономичном операционном усилителе DA1 по стандартной схеме включения. Манипулируя величиной R
10, можно уменьшать ток потребления микросхемы. Необходимо иметь в виду, что коэффициент усиления при этом тоже будет уменьшаться.
Детали и конструкция
Конденсаторы С
1—С
8— керамические. С
11 — либо пленочный, либо керамический с малым ТКЕ. С
13 — любой электролитический. Остальные конденсаторы любого типа.
Транзистор VT1 лучше всего использовать типа BF964. Подойдут и отечественные КП306, КП350, КП327, немного ухудшив чувствительность. Микросхема DD1 типа K561ЛA7 или К561ЛЕ5. Операционный усилитель может быть любого типа, включенный по стандартной схеме. Контурная катушка L1 имеет 8–9 витков провода диаметром 0,35—0,5 мм и намотана на каркасе диаметром 5–7 мм с подстроечным сердечником из карбонильного железа.
Печатная плата выполнена из одностороннего фольгированного стеклотекстолита и никаких особенностей не имеет. Ее чертеж приведен на рис. 5.30.
Рис. 5.30.
Печатная плата
Настройка
Для настройки желательно воспользоваться осциллографом. После проверки правильности монтажа и подключения питания, убедиться в наличии прямоугольных импульсов на выводе
4 микросхемы DD1. Подбором величины резистора R5 установить частоту следования этих импульсов равной 50–55 кГц. Проконтролировать постоянные напряжения на выводах
3 и
6 микросхемы DA1. При исправных деталях и правильном монтаже эти напряжения должны быть равны половине напряжения питания.
Измерить постоянное напряжение на верхнем выводе резистора R1. Величина напряжения должна лежать в пределах 0,6–1,2 В. Отсутствие напряжения свидетельствует о неисправности транзистора. Причиной этого обычно является неосторожное обращение с полевым транзистором, который следует предохранять от воздействия статического электричества. Особенно это касается транзисторов отечественного производства.
Подключить осциллограф к стоку транзистора VT1 через конденсатор емкостью 3–5 пФ. Вращая движок потенциометра R3, добиться появления вспышек высокочастотного напряжения на экране (осциллограф должен быть с полосой пропускания не ниже 10 МГц). Если этого достичь не удается, причина заключается в сильной расстройке колебательного контура. В последнем случае необходимо скорректировать настройку катушки L1, перемещая ее сердечник в окрестностях среднего положения.
Подключить к антенному входу генератор стандартных сигналов, настроенный на 27,12 МГц. Глубину модуляции установить 30 %. Уровень выходного сигнала — 50 мкВ. На экране осциллографа, подключенного к выходу приемника, должно наблюдаться гармоническое колебание частотой 1 кГц. Сердечником входной катушки настроить контур в резонанс по максимуму выходных колебаний.
Постепенно уменьшая амплитуду входного сигнала, уточнять положение движка потенциометра R3, обеспечивающее максимум выходного сигнала. Правильно настроенный приемник при амплитуде входного сигнала 1 мкВ должен обеспечивать на выходе амплитуду полезного сигнала 0,5–1 В, превышающего средний уровень шумов не менее чем в 4 раза.
Высокочастотная часть приемника сохраняет работоспособность в интервале питающих напряжений 3,3—12 В. Может потребоваться подстройка R3. Однако используемый операционный усилитель требует минимум 7 В. Применив низковольтный ОУ либо транзисторный УНЧ, можно обеспечить работоспособность всего приемника в указанном диапазоне питающих напряжений.
При отсутствии генератора и осциллографа приемник можно настроить по сигналам передатчика, с которым планируется работать. Подключив к выходу приемника высокоомные наушники (лучше через конденсатор емкостью 10 мкФ), необходимо многократным уточнением положения сердечника входной катушки и движка потенциометра R3 добиться максимальной громкости прослушиваемого сигнала.
В заключение отметим, что при использовании приемника для работы с импульсными сигналами на оставшихся свободными двух элементах микросхемы DD1 удобно выполнить нормализатор импульсов.
5.2.8. Сверхрегенератор с внешней суперизацией и УНЧ на цифровой микросхеме
Основные положения
В приводимой ниже схеме применен двухзатворный полевой транзистор BF964, имеющий коэффициент шума всего 1,2 дБ. Этот фактор совместно с режимом внешней суперизации и использованием цифровой микросхемы в качестве усилителя низкой частоты, позволил получить достаточно высокие характеристики (табл. 5.2 и табл. 5.3) приемника при относительной простоте его конструкции.
Устройство можно использовать как для приема речевой, так и импульсной информации (радиоуправление, охранные системы). В последнем случае к выходу приемника необходимо подключить какое-либо пороговое устройство (компаратор).
Принципиальная схема
Принципиальная схема приемника изображена на рис. 5.31. Сверхрегенеративный детектор собран на малошумящем транзисторе VT1. Каскад представляет собой автогенератор с автотрансформаторной обратной связью. Частота генерации определяется параметрами колебательного контура L1C2, настроенного на 27,12 МГц. Использование двухзатворного транзистора значительно упрощает реализацию режима внешней суперизации. Известно, что значение крутизны характеристики по первому затвору у таких транзисторов зависит от напряжения на втором затворе. Когда это напряжение равно нулю, крутизна меньше критической и генерация отсутствует.
Рис. 5.31.
Принципиальная схема
На второй затвор через потенциометр R3 подается напряжение суперизации частотой 60–70 кГц от генератора, собранного на элементах DD1.1 и DD1.2. Конденсатор С5 соединяет второй затвор с корпусом по переменному току и, кроме того, придает импульсам суперизации треугольную форму. Регулировка амплитуды треугольных импульсов с помощью потенциометра R3 позволяет плавно изменять время, в течение которого крутизна превышает критическое значение, а значит и длительность высокочастотных вспышек в контуре L1C2. Тем самым можно изменять режим работы сверхрегенератора, устанавливая либо линейный, при котором достигается максимальная чувствительность, либо нелинейный, при котором наиболее эффективно реализуется АРУ.
Нагрузкой сверхрегенеративного детектора является низкочастотный фильтр R6C6. Полезный сигнал амплитудой порядка 1–3 мВ с этого фильтра через конденсатор С9 подается на УНЧ, в качестве которого использованы два оставшихся элемента микросхемы DD1. Отрицательная обратная связь по постоянному току через элементы R5, R7, С10 обеспечивает работу цифровой микросхемы в линейном режиме. Элементы С12, С13, R8 устанавливают частоту среза АЧХ усилителя в окрестностях 3 кГц.
Резистор R1 служит для образования на первом затворе отрицательного (по отношению к истоку) напряжения смешения, обеспечивающего исходное значение крутизны меньше критического. Весьма существенна вторая функция этого резистора. Его величина определяет исходное значение постоянной составляющей тока через транзистор, а значит и уровень собственных шумов. При указанных на схеме значениях элементов этот ток составляет всего 80–90 мкА, что, помимо прочего, делает пренебрежимо малым паразитное излучение сверхрегенератора, поскольку вся потребляемая им от источника мощность не превышает 0,5 мВт.
Конденсатор С3 выбран значительной величины, поскольку должен шунтировать резистор R1 как на несущей частоте, так и на частотах суперизации и огибающей принятого сигнала.
Детали и конструкция
Печатная плата приемника изображена на рис. 5.32 и никаких особенностей не имеет. С незначительным ухудшением характеристик приемника в качестве транзистора VT1 можно применить отечественные КП306, КП350, КП327, КП346А9, принимая меры по защите их от статического электричества при монтаже. Конденсатор С3 должен быть керамическим.
Его можно заменить на пленочный при условии параллельного подключения керамического конденсатора емкостью не менее 1000 пФ. Для обеспечения стабильной частоты суперизации конденсатор С8 желательно использовать пленочного типа, например К73-17. Потенциометр R3 — СПЗ-38б либо РП1-6ЗМг. Остальные детали могут быть любой марки. Контурная катушка намотана на каркасе диаметром 5 мм и содержит 9 витков провода диаметром 0,35—0,5 мм. Внутрь каркаса ввинчивается сердечник из карбонильного железа.
Поскольку нагрузочная способность микросхемы К561ЛЕ5 невелика, устройство, подключаемое к выходу приемника, должно иметь входное сопротивление не менее 30 кОм. В качестве усилителя низкой частоты вместо элементов DD1.3, DD1.4 можно использовать УНЧ любой конструкции с коэффициентом усиления не менее 1000. При напряжениях питания более 5 В хорошие результаты дает, например экономичный ОУ К140УД1208. Суммарный ток потребления при напряжении питания 9 В не превышает в этом случае 1,5 мА. Мультивибратор вспомогательных колебаний может быть собран и на транзисторах по любой известной схеме. Важно лишь выдержать требуемую частоту.
Рис. 5.32.
Печатная плата
Настройка
После проверки правильности монтажа приемника установить движок потенциометра R3 в левое по схеме положение. Включить питание (номинальным является 4 В) и убедиться, что постоянное напряжение на резисторе R1 лежит в пределах 0,6–0,7 В. В противном случае транзистор неисправен и требует замены. Подключить осциллограф к выводу
10 DD1.2 и проверить наличие прямоугольных импульсов частотой 60–70 кГц.
При необходимости уточнить частоту подбором величины R4. Переключить осциллограф на выход приемника. Плавно поворачивая движок потенциометра R3, добиться появления на экране низкочастотных шумов. Подключить к антенному входу генератор стандартных сигналов, установив на его выходе колебания с частотой 27,12 МГц, амплитудой 100 мкВ и глубиной модуляции 0,9.
Вращением сердечника катушки настроить контур в резонанс по максимуму амплитуды на экране осциллографа. Вернуть движок потенциометра R3 в исходное положение (колебания на выходе приемника при этом исчезнут). Плавным вращением движка восстановить эти колебания и найти такое его положение, при котором амплитуда напряжения на выходе приемника перестанет нарастать. Уменьшив входное напряжение до 1 мкВ (при необходимости уточняя настройку контура), проконтролировать правильность положения движка потенциометра.
Такая настройка соответствует нелинейному режиму сверхрегенератора. Дальнейшее увеличение с помощью R3 напряжения суперизации нецелесообразно, поскольку полезный сигнал увеличивается незначительно, шумы же возрастают существенно. Если теперь движок потенциометра поворачивать в обратном направлении, установится линейный режим, при котором отношение «сигнал/шум» незначительно улучшается, однако амплитуда выходного сигнала падает.
Необходимо иметь в виду, что хотя интервал питающих напряжений, при котором сохраняются основные параметры приемника, указан 3–9 В, для каждого конкретного выбранного напряжения необходимо уточнять оптимальное положение движка потенциометра R3 по вышеприведенной методике.
При отсутствии ГСС можно воспользоваться передатчиком, с которым предполагается работа приемника, располагая его на таком удалении от приемника, при котором выходной сигнал еще не ограничивается.
В заключение необходимо отметить, что, как и у любого сверхрегенератора, помехоустойчивость приемника и его избирательность невелики, поскольку полоса пропускания, равная примерно двум частотам суперизации, составляет величину 120–140 кГц.
5.3. Супергетеродинные приемники АМ-сигналов
5.3.1. Приемник на транзисторах
Принципиальная схема
Достоинства супергетеродинных приемников и принципы обработки сигналов в них хорошо известны и поэтому здесь не рассматриваются. Принципиальная схема приемника показана на рис. 5.33. Сигнал с антенны поступает во входную цепь, представляющую собой два связанных через конденсатор С7 колебательных контура, настроенных на частоту 27,12 МГц. Такая конструкция обеспечивает высокую избирательность по зеркальному каналу при выбранной промежуточной частоте в 465 кГц.
Рис. 5.33.
Принципиальная схема приемника на транзисторах
После УРЧ на транзисторе VT2 принятые колебания подаются на первый затвор VT3, выполняющий функции смесителя. На второй его затвор поступает напряжение с кварцевого гетеродина VT1. Сигнал промежуточной частоты селектируется пьезоэлектрическим фильтром ZQ2 и подается на УПЧ VT4—VT6. В качестве нагрузки смесителя применен колебательный контур L6, С14, обеспечивающий согласование с фильтром и подавление побочных продуктов преобразования за пределами полосы прозрачности фильтра.
УПЧ аналогичен описанному в [10] и имеет коэффициент усиления по напряжению не менее 6000. После детектора с удвоением, реализованного на диодах VD1, VD2, импульсы подаются на компаратор DA1. Потенциометром R19 устанавливается порог срабатывания компаратора, а подбором резистора R22 — величина «гистерезиса».
Детали и конструкция
Транзисторы VT1, VT4—VT6 можно заменить отечественными КТ3102 с любой буквой или импортными ВС546. Полевой транзистор VT2 — на КП303 с любой буквой, при этом несколько возрастет потребляемый ток. Можно использовать и КП307Ж или импортный BF245. Двухзатворный VT3 заменяется на BF981 или отечественный КП327 (КП306, КП350). В последнем случае необходимо принимать меры по защите от статического электричества при монтаже. Кварцевый резонатор ZQ1 можно использовать и на другую частоту, важно только обеспечить равенство |
fкв. прд —
fкв. прм| = 465 (455) кГц при попадании
fкв. прд в разрешенные диапазоны. Керамический фильтр ZQ2 — любого типа на 465 (455) кГц. Подстроечный резистор R19 использован типа СПЗ-19а. Данные катушек приведены в табл. 5.4.
Печатная плата изображена на рис. 5.34. Изготавливается из двустороннего стеклотекстолита. Фольга со стороны деталей обязательно оставляется и соединяется с общим проводом. В противном случае возможно самовозбуждение приемника.
Рис. 5.34.
Печатная плата приемника
Настройка
После проверки правильности монтажа на плату подается питание. Подбором номинала R5 необходимо установить на втором затворе VT3 постоянное напряжение, равное 3 В, а подбором R11 — 4 В на коллекторе VT5. Подключить высокочастотный осциллограф ко второму затвору VT3 и убедиться в наличии гетеродинного напряжения. Отсутствовать оно может только по причине неисправных деталей в гетеродине или из-за неправильного монтажа. Переключить осциллограф к выходу фильтра ZQ2 (база VT6). При подключенной к входу приемника антенне включить в режим непрерывной генерации передатчик, с которым планируется его совместное использование, расположив его в 2–3 метрах от приемника.
Подбором чувствительности осциллографа добиться появления на экране синусоидального напряжения промежуточной частоты. Методом последовательных приближений, вращая сердечники катушек L1, L2, L4 и L6, добиться максимума амплитуды наблюдаемых колебаний.
Выключить передатчик и с помощью осциллографа пронаблюдать на входе компаратора (вывод
3 DA1) собственные шумы приемника. Запомнить их максимальную амплитуду. Переключить осциллограф на выход компаратора и установить движок потенциометра R19 в верхнее по схеме положение.
Напряжение на выходе компаратора должно быть близко к нулю, в противном случае уменьшить величину R16. Плавно перемещая движок вниз, добиться появления на экране осциллографа хаотичных положительных импульсов, вызванных срабатыванием компаратора по шумам. Повернуть движок потенциометра в обратную сторону до пропадания импульсов.
Включить передатчик в режим излучения командного сигнала. На выходе компаратора должны наблюдаться прямоугольные командные импульсы. Переключить осциллограф на вывод
3 компаратора. Увеличив чувствительность, убедиться в наличии скачков опорного напряжения. Если величина скачков меньше ранее измеренного напряжения шумов, подобрать величину резистора R22.
5.3.2. Супергетеродин со смесителем, совмещенным с гетеродином
Принципиальная схема
Приемник предназначен для работы с амплитудно-манипулированными сигналами. Рабочая частота — 28 МГц, чувствительность (при отношении «сигнал/шум» = 4) равна 1–1,5 мкВ, потребляемый ток не превышает 10 мА. Работоспособность сохраняется (при отсутствии стабилизатора) при снижении напряжения питания до 2,7 В с соответствующим уменьшением потребляемого тока до 4,7 мА. Выходной компаратор обеспечивает получение прямоугольных импульсов, совместимых по уровням с микросхемами КМОП-серии.
Принципиальная схема приемника изображена на рис. 5.35.
Рис. 5.35.
Принципиальная схема приемника
Усилитель радиочастоты реализован на нижней части двухзатворного транзистора VT1. Колебательный контур входной цепи подключен непосредственно к первому затвору полевого транзистора, отрицательное напряжение смещения на этом затворе, определяющее положение рабочей точки, обеспечивается цепочкой R3C5. Верхняя часть транзистора, кварцевый резонатор и контур C4L4 образуют гетеродин.
Напряжение гетеродина, будучи приложено ко второму затвору, изменяет во времени крутизну транзистора по первому затвору, в результате чего происходит перемножение напряжений сигнала и гетеродина. В стоковой цепи транзистора появляется гармоника тока на промежуточной частоте, выделяемая с помощью фильтра C3L3, настроенного на 465 кГц.
Дополнительно отфильтрованное керамическим фильтром Z2, обеспечивающим избирательность по соседнему каналу не хуже 40 дБ, напряжение промежуточной частоты подается на вход микросхемы DA1. На микросхеме реализованы УПЧ с эффективной АРУ и амплитудный детектор.
Продетектированный сигнал амплитудой 0,5–1,5 В через фильтр нижних частот R8C13 поступает на компаратор, собранный на транзисторе VT2. Порог срабатывания компаратора устанавливается подбором величины резистора R8. Отрицательные импульсы, снимаемые с выхода, имеют амплитуду, практически равную напряжению питания.
Детали и конструкция
Печатная плата приемника никаких особенностей не имеет. Ее чертеж приведен на рис. 5.36. Контурные катушки входной цепи и гетеродина намотаны любым проводом диаметром 0,25 мм на каркасах диаметром 5–6 мм с карбонильными подстроечными сердечниками. Число витков соответственно равно L1 — 3, L2 — 8, L4 — 10.
Катушка ФПЧ (L3) содержит 160 витков провода диаметром 0,1 мм и размещена в ферритовых чашечках диаметром 6 мм с подстроечным сердечником. Можно использовать любую другую стандартную для ФПЧ арматуру с соответствующей коррекцией рисунка печатной платы.
В продаже можно найти уже готовые катушки. Их тоже можно использовать. Необходимо только иметь ввиду, что они, как правило, содержат меньшее количество витков и рассчитаны на использование совместно с конденсатором С3 емкостью 1000 пФ.
Двухзатворный полевой транзистор может быть заменен на 3SK60 или отечественные КП306, КП350, КП327. В последнем случае необходимо принимать меры по защите транзисторов от статического электричества, что требует особой аккуратности при монтаже.
Рис. 5.36. Печатная плата
Конденсаторы С2, С3, С4 должны быть керамическими с группой ТКЕ не хуже М47. Хотя С3 может быть и пленочным. Кварцевый резонатор применен на частоту 27,535 МГц. Приемник может работать на любой частоте в диапазоне частот 26,945—28,2 МГц с соответствующей заменой кварцевого резонатора в гетеродине. Электролитические конденсаторы любого типа.
Микросхема DA1 может быть заменена на аналог 237 серии с изменением рисунка печатной платы. Транзистор VT2 — любой маломощный кремниевый обратной проводимости. Стабилизатор напряжения DA2 на 5 В типа 1157ЕН5 или импортный аналог. Девятивольтовую батарею типа «Крона» можно заменить тремя — четырьмя полуторавольтовыми пальчиковыми элементами с заменой стабилизатора на 1157ЕНЗ. Можно вообще отказаться от стабилизатора и использовать любой источник на напряжение 3–6 В.
Настройка
Настройку приемника следует начинать с преобразователя частоты. Проверка режима транзистора по постоянному току сводится к контролю напряжения на его истоке и втором затворе. На истоке должно быть около 0,4 В (при напряжении питания 5 В), а на затворе— половина напряжения питания (2,5 В). Отличия контролируемых значений от указанных величин свидетельствует об ошибке в монтаже или неисправности транзистора.
Ввиду малой мощности гетеродина не следует пытаться проверять наличие генерации непосредственно на элементах схемы. Это может приводить к срыву работы гетеродина. Лучше всего установить на осциллографе максимальную чувствительность канала вертикального отклонения и закоротить его щупы петлей провода длиной 7—10 см. Петлю расположить вблизи катушки гетеродина, и вращением сердечника L4 добиться появления колебаний на экране осциллографа. Поскольку настройка контура влияет в небольших пределах на частоту колебаний, вырабатываемых гетеродином, то окончательное положение сердечника уточняется в дальнейшем.
Следующим этапом производится уточнение настроек всех контуров приемника. Осциллограф подключается к точке соединения R6 и С13 (при отсутствующем транзисторе VT2). К входу приемника через конденсатор на 1000 пФ подключается ГСС. На его выходе необходимо установить напряжение 300 мкВ частотой 28 МГц. Глубина внутренней модуляции должна быть 90—100 %. Еще лучше воспользоваться передатчиком, совместно с которым предполагается работа приемника, расположив его на расстоянии 1,5–2 м.
В этом случае к входу приемника следует подключить антенну, с которой он будет в конечном счете использоваться. Вращением сердечников катушек L1 и L3 добиться появления на экране осциллографа либо синусоидального колебания при использовании ГСС, либо положительных прямоугольных импульсов при настройке по сигналам передатчика.
Методом постепенного приближения с помощью сердечников всех трех катушек получить максимальную амплитуду неискаженного выходного сигнала, удаляя в процессе настройки передатчик или уменьшая напряжение на выходе ГСС. В последнем случае настройку можно считать удовлетворительной, если на выходе наблюдаются синусоидальные колебания частотой 1 кГц и амплитудой около 0,7–0,9 В, размытые шумами, при напряжении на выходе генератора 1–2 мкВ.
Компаратор настраивается по сигналам передатчика подбором величины резистора R8. Удалив передатчик с отключенной антенной на такое расстояние, при котором импульсы на выходе приемника сопровождаются шумовой дорожкой, составляющей 15–20 % от амплитуды импульсов, впаивают на место транзистор VT2. Переключив осциллограф на выход компаратора, подбором R8 добиться отсутствия срабатывания компаратора от шумовых выбросов.
В заключение необходимо отметить, что при входных сигналах приемника, превышающих 10 мВ, гетеродин переходит в режим захвата частоты входного сигнала и промежуточная частота обращается в нуль. Работоспособность приемника нарушается. Если предполагается работа приемника в условиях большого динамического диапазона входных сигналов, то гетеродин лучше выполнить на отдельном транзисторе, переделав входную часть приемника в соответствии со схемой, приведенной на рис. 537. Катушка L1 должна быть такой же, как и L4. Печатную плату в этом случае нужно будет скорректировать.
Рис. 5.37.
Смеситель с раздельным гетеродином
5.3.3. Приемник на интегральной схеме
Принципиальная схема
Промышленность выпускает специализированную микросхему приемника АМ-колебаний К174ХА36А(Б). Диапазон входных частот, при котором сохраняется работоспособность микросхемы, простирается до 27,5 МГц, что позволяет применить ее в аппаратуре радиоуправления. Микросхема содержит УРЧ, смеситель, гетеродин, УПЧ, детектор, цепи АРУ и предварительный УНЧ с коэффициентом усиления 3–7. Принципиальная схема приемника, рассчитанного на входной сигнал частотой 27,12 МГц, приведена на рис. 5.38.
Рис. 5.38. Принципиальная схема, рассчитанная на входной сигнал частотой 27,12 МГц
Для повышения чувствительности примерно до 1 мкВ применен внешний УРЧ на транзисторе VT1. В остальном схема незначительно отличается от рекомендованного варианта включения [11]. Для уменьшения потребляемого тока предварительный УНЧ (выводы
6, 7, 8, 9) не используются. Схема выходного компаратора, обеспечивающего восстановление формы командного сигнала, полностью аналогична варианту, описанному в
разделе 5.3.1. Намоточные данные катушек приведены в табл. 5.4.
Детали и конструкция
Печатная плата устройства изготавливается из двустороннего стеклотекстолита с использованием фольги со стороны расположения деталей в качестве общего провода. Для этой цели в двух-трех местах схемы необходимо выводы деталей, соединяемых с общим проводом, пропаять с двух сторон платы. Топология печатной платы приведена на рис. 5.39.
Рис. 5.39. Печатная плата
Транзистор VT1 можно заменить BF981 или отечественными КП306, КП350, КП327. Микросхема DA1 может быть и с индексом «Б», но при этом ее питающее напряжение не должно превышать 3 В. Керамический фильтр ФП1П-61,01(0,2; 0,3). Можно и ФП1П-60, но потребуется изменить фрагмент печатной платы в месте его установки.
В процессе настройки используется ГСС или передатчик, предназначенный для совместного использования с приемником. К приемнику подключается штатная антенна. Включив передатчик (частота несущей 27,12 МГц) в режим непрерывного излучения, подключают вход осциллографа к выводу
14 DA1. При включенном питании приемника, уточняя положения сердечников катушек L2, L5 и L7, необходимо добиться максимума амплитуды напряжения промежуточной частоты. Далее передатчик переводится в режим излучения командных импульсов. Осциллограф подключается к правому по схеме выводу резистора R13. Вращением сердечника катушки L9 необходимо добиться максимальной амплитуды наблюдаемых прямоугольных импульсов.
Настройка
Настройка компаратора полностью аналогична описанной в
разделе 5.3.1.
5.3.4. Приемник на двух микросхемах
Принципиальная схема
На рис. 5.40 изображена схема достаточно компактного приемника, чувствительность которого не хуже 3–5 мкВ. При желании, добавлением УРЧ, аналогичного использованному в предыдущем параграфе, ее можно довести до 1 мкВ. Приемник выгодно отличается от предыдущего значительно меньшим количеством катушек индуктивности.
Входной сигнал селектируется контуром C2L1, настроенным на частоту используемого передатчика. Катушка связи L2 обеспечивает согласование контура с симметричным входом микросхемы, содержащей в себе смеситель и гетеродин, частота которого стабилизирована кварцем ZQ1.
Промежуточная частота селектируется керамическим фильтром ZQ2 и поступает на вход микросхемы DA2, содержащей в своем составе УПЧ, детектор и цепи АРУ. Низкочастотный сигнал с выхода детектора (выводе
9 DA2) подается на компаратор, реализованный на транзисторе VT1. Полярность выходных импульсов отрицательна!
Рис. 5.40. Принципиальная схема приемника
Детали и конструкция
Катушки L1, L2 содержат 9 и 3 витка соответственно и намотаны на одном каркасе диаметром 5–7 мм с подстроечным резьбовым сердечником М4 из карбонильного железа. DA1 можно заменить на К174ПС4. Транзистор VT1 — любой кремниевый маломощный обратной проводимости. Фильтр ZQ2 — типа ФП111-61,01 или ему аналогичный. Можно использовать и импортные на 455 кГц, если применить пару кварцев с соответствующей разницей частот.
Печатная плата приемника (рис. 5.41) двухсторонняя. Фольга со стороны деталей используется в качестве общего провода.
Рис. 5.41. Печатная плата
Настройка
Настройка производится по сигналу собственного передатчика, включенного в режим непрерывного излучения. К приемнику должна быть подключена штатная антенна, поскольку ее емкость влияет на настройку входного контура. Контролируя напряжение промежуточной частоты на правом выводе фильтра ZQ2, необходимо добиться его максимума вращением сердечника катушки L1. Переключив осциллограф на выход приемника (база транзистора), потенциометром R6 установить максимальный коэффициент усиления. Передатчик при этом желательно отнести на как можно большее расстояние или уменьшить его мощность излучения, накрыв заземленным ведром. Компаратор настройки не требует. При использовании транзистора другого типа может понадобиться подбор величины резистора R10 по пропаданию хаотических импульсов на выходе, образованных собственными шумами приемника. Подбор производится при отсутствии входного сигнала.
Вариант принципиальной схемы
В приемнике можно использовать и микросхему КР548ХА1, включив ее по стандартной схеме. Такой вариант УПЧ приведен на рис. 5.42. К выходу схемы в этом случае необходимо подключить компаратор из
раздела 5.3.3. Печатная плата, очевидно, потребует коррекции.
Рис. 5.42. Вариант УПЧ
5.3.5. Приемник на микросхеме К174ХА2
Принципиальная схема
Микросхема К174ХА2 предназначена для вещательных АМ-диапазонов, однако она сохраняет свою работоспособность при частотах входных сигналах вплоть до 27 МГц, что позволяет использовать ее в аппаратуре радиоуправления. Приемник имеет чувствительность не хуже 3 мкВ, кроме того, применение в качестве избирательных устройств в УПЧ колебательных контуров позволяет выбрать промежуточную частоту в широких пределах (300—1000 кГц). Этот факт существенно облегчает подбор пары кварцевых резонаторов для передатчика и приемника.
Принципиальная схема приемника изображена на рис. 5.43.
Рис. 5.43. Принципиальная схема приемника
Микросхема DA1 использована в стандартном включении. Частота гетеродина задается кварцевым резонатором ZQ1. Компаратор полностью аналогичен примененному в
разделе 5.3.1. Данные катушек приведены в табл. 5.5.
Параметры катушек индуктивности и конденсаторов фильтров ПЧ даны для частоты 465 кГц. При использовании другой промежуточной частоты
fпр необходимо произвести пересчет количества витков и емкостей конденсаторов, пользуясь простым правилом. Для нового значения частоты вычисляем вспомогательный коэффициент
n =
fпр(кГц)/465. Новое значение емкости вычисляется по формуле
С = 1000 (пФ)/
n, а новое количество витков
N = 78/√
n.
Детали и конструкция
Печатная плата приемника изготавливается из двухстороннего стеклотекстолита в соответствии с рис. 5.44. При желании повысить чувствительность приемника, на его вход можно добавить УРЧ, собранный по такой же схеме, как у приемника на рис. 5.61.
Рис. 5.44. Печатная плата
5.4. Приемники прямого преобразования
5.4.1. Особенности работы приемников
Этот тип приемников, называемых еще гетеродинными, исчерпывающе описан Поляковым В. Т. в многочисленных публикациях. Достаточно познакомится, например с [12]. По этой причине отметим только самые существенные особенности.
Амплитудно-модулированное колебание в простейшем случае, когда модуляция осуществляется одним тоном, выглядит так, как это показано на рис. 5.45.
Аналитическое выражение АМ-колебания при этом имеет вид:
В правой части отчетливо видны три гармонические составляющие, которые и представляют собой спектр этого колебания. Спектр изображен на рис. 5.45,
б.
Рис. 5.45.
Графики AM-колебания
Такое колебание поступает в смеситель (рис. 5.46), где умножается на вторую гармонику гетеродинного напряжения, выражение для которой имеет вид
uг(
t) =
Uг. m∙cos(2π∙2
fг∙
t)
Рис. 5.46. Структурная схема приемника
Частота гетеродина (
fг) выбирается в два раза меньше частоты сигнала (
f0), чтобы предотвратить просачивание гетеродинного напряжения в антенну через входную цепь (ВЦ), настроенную на
f0.
В приемнике используется смеситель на встречно-параллельных диодах, обеспечивающий преобразование на второй гармонике [12]. При этом обеспечивается равенство
f0 = 2
fг. В результате на выходе смесителя получается сумма гармоник:
Первое слагаемое в квадратных скобках представляет собой постоянную составляющую, так как аргумент косинуса равен нулю. Второе слагаемое имеет удвоенную частоту сигнала и через фильтр нижних частот (ФНЧ) не проходит. Третье и пятое слагаемые формулы имеют частоту
Fm, и легко проходят через ФНЧ. Их сумма и представляет собой полезный сигнал, изменяющийся во времени по закону огибающей входного сигнала (рис. 5.45,
г). Четвертое и шестое слагаемые имеют частоты, лежащие в окрестностях удвоенной частоты сигнала и не пропускаются ФНЧ на выход.
Таким образом, рассмотренный принцип приема позволяет без амплитудного детектора выделить полезный сигнал непосредственно (прямо) из принимаемого высокочастотного сигнала. Отсюда и название метода — прямое преобразование. Как видно из схемы и графиков, избирательность по соседнему каналу в таком приемнике будет определяться амплитудно-частотной характеристикой ФНЧ, а на низких частотах, как известно, легко получать несложные фильтры с крутыми спадами характеристики. Смеситель можно располагать непосредственно за ВЦ у самого входа приемника, а стало быть, все усиление можно реализовывать в УНЧ, что существенно упрощает борьбу с самовозбуждением усилителей. Достаточно одного-двух операционных усилителей для обеспечения чувствительности приемника не хуже 1 мкВ.
Существенным недостатком приемников прямого преобразования является очень жесткое требование к стабильности частоты гетеродина. Действительно, вышеприведенные рассуждения справедливы только при условии 2
fг =
f0. Отклонение одной из частот на 100–200 Гц сводит к нулю разборчивость сигнала на выходе приемника. Даже при одинаковых частотах, но меняющейся во времени разности фаз амплитуда выходного сигнала будет «плавать» во времени. Если идет речь о модуляции радиосигнала прямоугольными импульсами, как это имеет место в радиоуправлении, то выходные импульсы будут иметь не только плавающую амплитуду, но и меняющуюся полярность, что, конечно, недопустимо. По этой причине в описанных ниже конструкциях используется расстройка в 10–20 кГц между частотой излучаемого сигнала и частотой второй гармоники гетеродина. В этом случае, как можно самостоятельно убедиться, на выходе смесителя получится низкочастотный сигнал на разностной частоте, промодулированный прямоугольными импульсами (см. рис. 5.48,
а).
5.4.2. Приемник на транзисторах
Принципиальная схема
Приемник предназначен для работы с амплитудно-манипулированными сигналами длительностью не менее 0,5 мс. Частота настройки — 28 МГц. Чувствительность, при отношении «сигнал/шум» = 10 — не хуже 1 мкВ (4–5 мкВ без УРЧ). Амплитуда положительных импульсов на выходах всех каналов практически равна напряжению питания (5–6 В).
Принципиальная схема устройства приведена на рис. 5.47.
Рис. 5.47. Принципиальная схема
Она очень похожа на схему приемника прямого преобразования, но, по сути, представляет собой супергетеродин с очень низкой промежуточной частотой (8—10 кГц). Принимаемый сигнал, представляющий собой высокочастотные импульсы с прямоугольной огибающей, через входной контур поступает на вход усилителя радиочастоты, собранного на транзисторе VT1. Постоянное напряжение на втором затворе управляет коэффициентом усиления транзистора и выбрано таким, при котором УРЧ имеет максимальное усиление (
Кu ~ 10), не приводящее еще к самовозбуждению.
Усиленный входной сигнал поступает на традиционный для многих приемников прямого преобразования смеситель на встречно-параллельных диодах VD1, VD2. На другой вход смесителя через конденсатор С9 подается опорное напряжение частотой 14 МГц с гетеродина, собранного на транзисторе VT2 и стабилизированного кварцем.
Используемый смеситель, как известно, осуществляет преобразование на второй гармонике гетеродинного напряжения. Частоты кварцевых генераторов в передатчике и приемнике сдвинуты в противоположные стороны таким образом, чтобы на выходе смесителя выделялась разностная частота, лежащая в диапазоне 8—10 кГц. При минимальной длительности модулирующего импульса
τ = 0,5 мс, полезный сигнал на выходе смесителя содержит 4–5 периодов частоты заполнения (рис. 5.48,
а), чего вполне достаточно для выделения впоследствии их огибающей (рис. 5.48,
б).
Рис. 5.48. Эпюры напряжений в разных точках приемника
При желании УРЧ можно из схемы исключить, изъяв детали С2, С3, С4, С5, R1, R2, R3 и транзистор VT1. В этом случае нижнюю по схеме точку соединения диодов VD1,VD2 необходимо подключить непосредственно к входному контуру (точка соединения С1 и L1). Чувствительность при этом ухудшится до 4–5 мкВ.
Фильтр нижних частот C9R7C11 подавляет побочные продукты преобразования и препятствует просачиванию напряжения гетеродина в последующие каскады. Сигнал с его выхода поступает на УНЧ, собранный на транзисторах VT3—VT6. В первом каскаде, от характеристик которого в значительной степени зависит чувствительность, использован малошумящий транзистор КТ3103Е с рекомендованным для минимизации собственных шумов режимом работы по постоянному току. Следующие три каскада с непосредственной связью имеют общий коэффициент усиления порядка 20000. Для защиты от «дрейфа нуля» каскады охвачены глубокой отрицательной обратной связью по постоянному току.
Сигнал разностной частоты, смешанный с шумом, с выхода УНЧ подается на компаратор, функции которого выполняет элемент DD1.2. Постоянное напряжение на коллекторе VT6 выбрано таким образом, чтобы не происходило срабатывания компаратора от шумов. На выходе компаратора выделяются прямоугольные импульсы стандартной амплитуды, следующие с частотой 8—10 кГц. Далее они поступают на последовательный амплитудный детектор, выполненный на элементах VD3, С14, R17. Для придания прямоугольной формы продетектированным импульсам используется элемент DD1.3. Если радиоканал применяется для передачи однократных импульсных команд, дальнейшую часть схемы можно не использовать.
Если имеется в виду аппаратура пропорционального управления, например восьмиканальная, то в этом случае командная посылка выглядит так, как это показано на рис. 5.49,
а. В качестве синхронизирующего импульса здесь выступает синхропауза. Именно в таком виде выделяется сигнал на выходе
10 элемента DD1.3 приемника.
Рис. 5.49. Графики, поясняющие работу дешифратора
Для восстановления собственно командных импульсов
τ1—
τ8 этот сигнал поступает на счетный вход двоично-десятичного счетчика DD2. Номер выхода счетчика является номером соответствующего канала. Форма выходных канальных импульсов показана на рис. 5.49,
е-з. Для выделения синхропаузы используются элементы DD1.1 и DD1.4. Принцип действия этой части устройства понятен из рис. 5.49,
б-д. Короткий положительный импульс с выхода дифференцирующей цепочки C16R19 поступает на вход сброса счета микросхемы DD2, подготавливая ее к новому циклу работы.
Устройство можно использовать и для приема аналогового сигнала, например в связной радиостанции или аппаратуре дискретного управления. В этом случае сигнал снимается с коллектора транзистора VT6.
Детали и конструкция
Печатная плата приемника и размещение на ней деталей изображены на рис. 5.50. На плате предусмотрено место для стабилизатора напряжения на 5 Вольт типа КР1170ЕН5 (DA1), отсутствующего на принципиальной схеме. Его устанавливают, если в других блоках аппаратуры отсутствует стабилизированный источник соответствующего напряжения.
Рис. 5.50. Печатная плата
Контурные катушки L1, L2 наматываются на каркасах 5–6 мм и обязательно должны быть заключены в экраны. В противном случае УРЧ будет самовозбуждаться. Катушки одинаковые и содержат по 3+6 витков провода диаметром 0,25—0,3 мм. Катушка L3 намотана проводом диаметром 0,15—0,18 мм на резисторе МЛТ-0,5 сопротивлением не менее 100 кОм и содержит 24 витка с отводом от середины.
Кварцевые резонаторы в передатчике и приемнике желательно применить одинаковые на 14 МГц. В этом случае легко будет добиться их взаимной расстройки, обеспечивающей разностную частоту на выходе смесителя 8—10 кГц.
Диоды смесителя VD1,VD2 типа КД514 можно заменить на КД503А с некоторой потерей чувствительности (примерно в полтора раза). Полевой двухзатворный транзистор BF964 заменяется на отечественные КП306, КП350, КП327 с любой буквой. С изменением рисунка печатной платы можно установить и любой другой УРЧ по одной из схем, широко представленных в радиолюбительской литературе. Если не требуется дальность действия аппаратуры больше 20–30 м, УРЧ из схемы можно исключить так, как это говорилось выше.
Транзисторы VT2, VT4—VT6 могут быть типа КТ315 или КТ3102 с любыми буквенными индексами, VT3 желательно не заменять.
Электролитические конденсаторы — любого типа на напряжение не менее 6,3 В. Остальные конденсаторы — любые керамические.
Все резисторы — МKT-0,125 или им аналогичные. Микросхемы DD1 и DD2 можно заменить их функциональными аналогами из других серий, но обязательно КМОП-структуры.
Антенна приемника — отрезок провода длиной 15–30 см.
Настройка
После проверки правильности монтажа временно впаять вместо резистора R6 подстроенный на 3,3 кОм. Подключить питание той величины в диапазоне 5–6 В, при которой приемник будет эксплуатироваться, и убедиться, что гетеродин возбуждается. Для этого, контролируя осциллографом напряжение на среднем выводе катушки L3, вращением оси подключенного подстроечного резистора получить на экране высокочастотные колебания частоты 14 МГц.
Переключить осциллограф на коллектор транзистора VT6. С помощью потенциометра R13 установить напряжение равным 2 В. Подключив ко входу приемника через конденсатор емкостью не менее 0,01 мкФ генератор стандартных сигналов, установить на его выходе немодулированное напряжение амплитудой 100 мкВ и частотой 28 МГц. Изменяя частоту генератора в небольших окрестностях около 28 МГц, добиться на экране колебаний разностной частоты 8—10 кГц. Сердечниками катушек L1, L2 настроить контуры в резонанс по максимуму амплитуды наблюдаемых колебаний.
Коэффициент усиления настраиваемой части схемы существенно зависит от амплитуды гетеродинного напряжения, подаваемого на смеситель. Для ее оптимизации необходимо изменять амплитуду гетеродинного напряжения с помощью подстроечного резистора, включенного вместо R6, добиваясь максимума наблюдаемых на экране осциллографа колебаний.
Затем измерить сопротивление подстроечного резистора и на его место впаять постоянный, соответствующего номинала. Правильно настроенный приемник должен обеспечивать коллекторе VT6 напряжение разностной частоты не менее 1 В при входном напряжении с генератора стандартных сигналов, равном 5 мкВ.
Цифровая часть схемы никакой настройки не требует. Связь между номерами выводов микросхемы и номерами каналов приведена в табл. 5.7.
5.4.3. Приемник на базе микросхемы К157ХА2
Принципиальная схема
Приемник предназначен для работы с амплитудно-манипулированными сигналами длительностью не менее 0,5 мс. Частота настройки— 28 МГц. Чувствительность при отношении «сигнал/шум», равном 10, не хуже 1 мкВ (10 мкВ без УРЧ). Амплитуда положительных выходных импульсов не менее 200 мВ (Вых.1). Эффективная АРУ обеспечивает изменение этого сигнала в пределах 200–400 мВ при изменении входного в пределах 0,5—2500 мкВ.
Напряжение питания 5–6 В при токе потребления не более 7,5 мА (без УРЧ — 5 мА). Для согласования с цифровой частью аппаратуры (при необходимости) на выходе приемника предусмотрена установка компаратора. Выходной сигнал компаратора (Вых.2) представляет собой отрицательные прямоугольные импульсы стандартной амплитуды, практически равной напряжению питания.
Принципиальная схема устройства приведена на рис. 5.51.
Рис. 5.51. Принципиальная схема
УРЧ, гетеродин и смеситель полностью аналогичны предыдущему варианту.
При желании, как и в предыдущей схеме, УРЧ можно из схемы исключить, изъяв детали С1, С2, С4, С5, R1, R2, R4 и транзистор VT1. В этом случае верхнюю по схеме точку соединения диодов VD1, VD2 необходимо подключить непосредственно к входному контуру (точка соединения С4 и L1). Чувствительность при этом ухудшится до 10 мкВ.
Фильтр нижних частот C9-R3-C6 подавляет побочные продукты преобразования и препятствует просачиванию напряжения гетеродина в последующие каскады. Сигнал с его выхода поступает на микросхему DA1, выполняющую функции
усилителя разностной частоты и
детектора огибающей.
Первые два транзистора в этой микросхеме образуют предварительный усилитель с регулируемым коэффициентом усиления. Питание на него подается через эмиттерный повторитель встроенной системы АРУ и может изменятся в диапазоне 2,3–1,4 В в зависимости от амплитуды входного сигнала. Изменяющийся в результате коэффициент усиления обеспечивает в приемнике
эффективную АРУ, параметры которой приведены в начале параграфа.
Через конденсатор С17 сигнал поступает на основной усилитель, собранный по дифференциальной схеме. Внешний резистор R8 задает режим работы усилителя по постоянному току. К выводу
4 микросхемы подключается конденсатор С19, определяющий величину отрицательной обратной связи по переменному току в каскаде, а значит и его коэффициент усиления. Продетектированный сигнал снимается с вывода
9 микросхемы. Постоянная составляющая продетектированного сигнала управляет коэффициентом усиления предварительного каскада.
Продетектированный сигнал, прошедший фильтр нижних частот R9-C20 (Вых.1), имеет амплитуду 0,2–0,4 В при синусоидальной огибающей и до 3 В при огибающей в виде коротких прямоугольных импульсов. Последнее обстоятельство обусловлено тем, что эффективность АРУ различна при непрерывной и импульсной огибающих.
Для преобразования выходных сигналов приемника к уровням, необходимым для нормальной работы цифровой части аппаратуры, на транзисторе VT3 собран компаратор напряжения, порог срабатывания которого регулируется подбором номинала резистора R11. Выходной сигнал компаратора (Выход 2) представляет собой прямоугольные импульсы отрицательной полярности.
Устройство можно использовать и для приема аналогового сигнала, например в связной радиостанции или аппаратуре дискретного управления. В этом случае сигнал снимается с Вых.1, а каскад на транзисторе VT3 из схемы исключается.
Детали и конструкция
Печатная плата приемника и размещение на ней деталей изображены на рис. 5.52. На плате предусмотрено место для стабилизатора напряжения на 5 В типа КР1170ЕН5 (DA2), отсутствующего на принципиальной схеме. Его устанавливают, если в других блоках аппаратуры отсутствует стабилизированный источник соответствующего напряжения.
Рис. 5.52. Печатная плата
Контурные катушки L1, L2 наматываются на каркасах 5–6 мм и обязательно должны быть заключены в экраны. В противном случае УРЧ будет самовозбуждаться. Катушки одинаковые и содержат по 3+6 витков провода диаметром 0,25—0,3 мм. Катушка L3 намотана проводом диаметром 0,15—0,18 мм на резисторе МЛТ-0,5 сопротивлением не менее 100 кОм и содержит 24 витка с отводом от середины.
Кварцевые резонаторы в передатчике и приемнике желательно применить одинаковые на 14 МГц. В этом случае легко будет добиться их взаимной расстройки, обеспечивающей разностную частоту на выходе смесителя 8—10 кГц. В принципе, можно применить любую пару кварцев при условии, что будет выполнено условие Δ
f = |
fпрд - 2
fгет| = 8…25 кГц. Необходимо только помнить, что разрешенными для передатчика являются частоты (
fпрд), лежащие в интервалах 28–28,2 МГц и 27,12 МГц ± 0,6 % ~= 26,96–27,28 МГц. Испытания показали, что наибольший уровень сигнала на выходе микросхемы DA1, при значениях номиналов навесных элементов, указанных на схеме, получается в случае Δ
f = 20 кГц.
Диоды смесителя VD1,VD2 типа КД514 можно заменить на КД503А с некоторой потерей чувствительности (примерно в полтора раза). Полевой двухзатворный транзистор BF964 заменяется на отечественные КП306, КП350, КП327 с любой буквой. С изменением рисунка печатной платы можно установить и любой другой УРЧ по одной из схем, широко представленных в радиолюбительской литературе. Если не требуется дальность действия аппаратуры больше 20–30 м, УРЧ из схемы можно исключить так, как это говорилось выше.
Транзисторы VT2, VT3 могут быть типа КТ315 или КТ3102 с любыми буквенными индексами.
Электролитические конденсаторы — любого типа на напряжение, не менее 6,3 В. Остальные конденсаторы использовались импортные дисковые, керамические. Их можно заменить на отечественные, например КМ-6, но при этом может потребоваться увеличение установочных размеров на печатной плате.
Все резисторы — МЛТ-0,125 или им аналогичные. Микросхема К157ХА2 может быть заменена на К237ХА2 с изменением рисунка печатной платы.
Антенна приемника — отрезок провода длиной 15–30 см.
Настройка
После проверки правильности монтажа временно впаять вместо резистора R6 подстроечный на 10 кОм. Подключить питание той величины в диапазоне 5–6 В, при которой приемник будет эксплуатироваться, и убедиться, что гетеродин возбуждается. Для этого, контролируя осциллографом напряжение на среднем выводе катушки L3, вращением оси подключенного подстроечного резистора получить на экране высокочастотные колебания частоты 14 МГц.
Переключить осциллограф на
14 вывод микросхемы DA1. Отключить временно АРУ, закоротив вывод 6 микросхемы на корпус. Подключив к входу приемника через конденсатор емкостью не менее 0,01 мкФ генератор стандартных сигналов, установить на его выходе смодулированное напряжение амплитудой 100 мкВ и частотой 28 МГц. Изменяя частоту генератора в небольших окрестностях около 28 МГц, добиться на экране колебаний разностной частоты 8—10 кГц. Сердечниками катушек L1, L2 настроить контура в резонанс по максимуму амплитуды наблюдаемых колебаний.
Коэффициент усиления настраиваемой части схемы существенно зависит от амплитуды гетеродинного напряжения, подаваемого на смеситель. Для ее оптимизации необходимо изменять амплитуду гетеродинного напряжения с помощью подстроечного резистора, добиваясь максимума наблюдаемых на экране осциллографа колебаний. Затем измерить сопротивление подстроечного резистора и на его место впаять постоянный, соответствующего номинала. Правильно настроенный приемник должен обеспечивать на выводе 14 напряжение разностной частоты 12–15 мВ при входном напряжении с генератора стандартных сигналов, равном 10 мкВ.
Далее следует убрать перемычку, блокировавшую работу схемы АРУ и переключить осциллограф на Вых.1 схемы. Отключить временно базу транзистора VT3 от этой точки. На генераторе стандартных сигналов включить режим амплитудной модуляции и установить ее глубину равной 90 %. Уровень выходного сигнала — 100 мкВ. На экране осциллографа должно наблюдаться синусоидальное колебание частотой 1 кГц и амплитудой 300–400 мВ.
На наблюдаемую кривую может быть наложено колебание разностной частоты 8—10 кГц, амплитуда которого не должна составлять более 10 % от основного колебания (рис. 5.53).
Рис. 5.53. Вид сигнала на вых.1
Уменьшая уровень входного сигнала и подстраивая, при необходимости, входные контуры, убедиться, что чувствительность приемника не хуже 1 мкВ. Припаять базу транзистора VT3 на место.
При использовании на выходе приемника компаратора, его настройка сводится к подбору величины резистора R11. Лучше всего временно заменить его подстроечным, величиной 15 кОм. Перед включением схемы установить максимальное значение сопротивления этого резистора (в противном случае может выйти из строя транзистор) и после включения приемника, контролируя осциллографом сигнал на Вых.2, уменьшать величину сопротивления до тех пор, пока у наблюдаемых на экране импульсов прямоугольной формы длительность отрицательной части периода не станет в два раза меньше длительности положительной части. Уровень сигнала с выхода генератора при этом должен быть установлен 3–5 мкВ. Измерив величину получившегося сопротивления подстроечника, впаять в схему постоянный резистор ближайшего номинала.
Еще лучше настраивать приемник по сигналам передатчика, с которым предполагается совместная работа. Передатчик, включенный в режиме амплитудной манипуляции прямоугольными импульсами, расположить на расстоянии 2–3 м от приемника. Подстраивая частоту передатчика с помощью катушки индуктивности, включенной последовательно с кварцем, добиться на выводе
14 микросхемы прямоугольных импульсов с синусоидальным заполнением.
В пределах прямоугольного импульса длительностью 0,5 мс должно умещаться от 5 (минимум) до 10 периодов синусоидального заполнения. Если с помощью упомянутой катушки не удается уложиться в рекомендуемый диапазон, можно дополнительно попробовать изменить частоту гетеродина в приемнике, подбирая величину конденсатора С10. Максимума амплитуды наблюдаемых синусоидальных импульсов необходимо добиваться аналогично тому, как это рекомендовано при настройке с помощью ГСС.
5.4.4. Приемник прямого преобразования на микросхеме МС2833
Основные положения
Специализированных микросхем приемников прямого преобразования промышленность почему-то не выпускает. В предлагаемом разделе нетрадиционное использование микросхемы МС2833 фирмы MOTOROLA, предназначенной для построения передатчиков, с успехом восполняет этот пробел.
Используя только активные элементы, входящие в состав микросхемы, у предлагаемого устройства удалось получить достаточно высокие характеристики. Частота настройки фиксирована и может быть выбрана в диапазоне 26–32 МГц. При замене кварцевого резонатора на колебательный контур приемник можно сделать перестраиваемым. Чувствительность при отношении «сигнал/шум», равном 4, не хуже 0,5 мкВ. Амплитуда выходного сигнала, при сопротивлении нагрузки не менее 2 кОм, 200–300 мВ. Верхняя граничная частота среза УНЧ— 3,5 кГц. Напряжение питания 5–9 В. Ток потребления не превышает 15 мА.
Принципиальная схема
Принципиальная схема приемника приведена на рис. 5.54.
Рис. 5.54.
Принципиальная схема
Транзистор VT1, имеющийся в составе микросхемы, использован в качестве УРЧ. Сигнал, принятый антенной, селектируется по частоте входным контуром L1, C1, C2. Для согласования контура с антенной и входным сопротивлением УРЧ, применено его частичное включение как по входу, так и по выходу. Режим транзистора по постоянному току, определяющий величину коэффициента усиления каскада, задается резистором R1.
Термостабилизация рабочей точки отсутствует, так как ее положение выбрано на линейном участке характеристики, и смешения рабочей точки на величине коэффициента усиления практически не сказываются. Усиленное высокочастотное напряжение сигнала через конденсатор С7 подается на смеситель, выполненный на встречно-параллельных диодах VD1,VD2.
В качестве гетеродина работает задающий генератор микросхемы. Элементы С4, С5 обеспечивают возбуждение генератора на основной гармонике кварцевого резонатора, а подстраиваемая индуктивность — необходимый для гетеродинного приема увод частоты. Через буферный усилитель и конденсатор С8 колебания подаются на второй вход смесителя.
Дроссель Др1 предназначен для обеспечения замыкания на корпус цепи протекания низкочастотных токов разностной частоты. Эти колебания далее отфильтровываются П-образным ФНЧ, состоящим из резистора R2 и конденсаторов С7 и С9. Левый по схеме вывод конденсатора С7 соединен по низкой частоте с корпусом через малое для этих частот сопротивление катушки L2 и блокировочный конденсатор С13.
Низкочастотные колебания с выхода фильтра через разделительный конденсатор С10 поступают на первую ступень УНЧ, собранную на транзисторе VT2, микросхемы. Элементы R3, R4, R5 и C11 обеспечивают выбор рабочей точки транзистора и ее термостабилизацию. Коллекторный ток транзистора не превышает 200–250 мкА, что минимизирует собственные шумы каскада, влияющие на итоговую чувствительность приемника. Модулирующий усилитель (МУ) микросхемы использован в качестве второй ступени УНЧ. Его коэффициент усиления задается резистором R7.
Детали и конструкция
Печатная плата приемника выполнена из одностороннего стеклотекстолита, ее чертеж приведен на рис. 5.55.
Рис. 5.55. Печатная плата
Катушки L1—L3 намотаны на одинаковых каркасах диаметром 5 мм с подстроечными сердечниками из карбонильного железа. Можно применить и другие каркасы диаметром 4–9 мм и сердечники из феррита марки 15—100 ВЧ, однако в этом случае придется корректировать число витков и установочные размеры катушек на печатной плате. Катушка L1 содержит 9 витков провода диаметром 0,25 мм. Отвод сделан от третьего витка. L2 такая же, но отвод выполнен от шестого витка. Начала катушек обозначены на схеме точками. Катушка L3 намотана проводом диаметром 0,15 мм и содержит 20 витков. Дроссель Др1 — стандартный, марки ДМ, на 50–68 мкГн. Его можно заменить самодельным, намотав 25–30 витков любого провода на кольце из феррита 400НН с внешним диаметром 8—10 мм. Катушки L1 и L2 обязательно должны быть снабжены экранами.
Смесительные диоды лучше использовать типа КД514, однако, с небольшим снижением чувствительности, подойдут и КД503А. Устанавливать на плату их придется вертикально.
Конденсаторы C1—С9 должны быть керамическими, С10 и С12 — любого типа, a C11 и С13 — электролитические на напряжение 10 В. Антенна приемника — отрезок провода не менее 15 см. Кварцевый резонатор должен иметь частоту
fc/2, где
fс — желаемая частота приема, лежащая в диапазоне 26–32 МГц.
На печатной плате предусмотрено место для установки стабилизатора DA2 и резистора R0, отсутствующих на принципиальной схеме. Стабилизатор КР1170ЕН5(6) устанавливается при питании приемника от автономного источника. Резистор R0 может понадобиться при настройке гетеродина.
Настройка
Настройку целесообразно начать с установки режима транзистора VT2 по постоянному току. Контролируя высокоомным вольтметром напряжение на выводе
9 микросхемы, подбором величины R4 сделать его равным 2,2–2,5 В.
Далее необходимо подать на вход приемника через конденсатор емкостью 0,01 мкФ сигнал амплитудой 100–300 мкВ с выхода ГСС, настроив его на рабочую частоту приемника. Внутренняя модуляция в генераторе должна быть отключена. С помощью осциллографа убедится в наличии генерации гетеродина, контролируя колебания либо на 14-ом, либо на 15-ом выводах микросхемы. При исправных деталях амплитуда высокочастотных колебаний на них должна быть соответственно равна примерно 120 и 180 мВ.
Переключить осциллограф на выход приемника и небольшими изменениями частоты работы ГСС добиться появления на экране синусоидальных колебаний разностной частоты 1–3 кГц. Вращением сердечников катушек L1 и L2 настроить УРЧ в резонанс по максимуму амплитуды наблюдаемых колебаний. Для этого потребуется постепенное уменьшение сигнала с выхода ГСС. Для получения максимальной чувствительности можно попробовать подобрать величину резистора R1 в диапазоне 47—220 кОм.
На чувствительность влияет также амплитуда гетеродинного напряжения. Подобрать оптимальную можно, переключив нижний конец конденсатора С8 с вывода
14 на вывод
15 (на плате это уже сделано) и изменяя амплитуду колебаний гетеродина с помощью переменного резистора. Переменный резистор на 15 кОм необходимо соединить последовательно с постоянным на 330 Ом и короткими проводами присоединить к соответствующим точкам платы (R0 на печатной плате).
Вращением движка потенциометра добиться максимальной амплитуды наблюдаемого выходного сигнала. Измерив суммарное сопротивление вспомогательных резисторов, установить на плату ближайший по номиналу постоянный резистор.
Может оказаться, что для конкретной пары смесительных диодов максимальная чувствительность получится при снятии гетеродинного напряжения с вывода
14 микросхемы. В этом случае необходимо сделать соответствующие изменения на печатной плате. Поскольку выводы
14 и
15 располагаются рядом, это не составит никакого труда.
5.5. Супергетеродинные приемники ЧМ-сигналов
Из теории известно, что различные способы передачи импульсных сигналов обладают и различной помехозащищенностью. Так, при равной энергии сигналов и отношении «сигнал/шум» на выходе приемника равном 20, вероятность ошибки приема двоичного сигнала при амплитудной манипуляции составляет 0,01, при частотной манипуляции — 0,001, а при фазовой — 0,00001 [14].
Очевидно, что наилучшей является фазовая манипуляция, но ее практическая реализация затруднена необходимостью точного знания на приемной стороне начальной фазы принимаемого сигнала. Частотная модуляция достаточно просто реализуется современными средствами. Хорошо разработана и схемотехника приемников ЧМ-сигналов. Можно считать частотную манипуляцию наиболее приемлемой для использования в аппаратуре радиоуправления.
5.5.1. Приемник на ИМС К174УР7 со смесителем на полевом транзисторе
Принципиальная схема
Приемник (рис. 5.56) представляет собой супергетеродин с однократным преобразованием частоты.
Рис. 5.56. Принципиальная схема приемника
Гетеродин собран на транзисторе VT1 и никаких особенностей не имеет. Смеситель реализован на двухзатворном полевом транзисторе VT2, нагрузкой которого является пьезоэлектрический фильтр ZQ2. Такие фильтры имеют паразитную полосу пропускания в области частот выше резонансной настройки. Для ее подавления используется колебательный контур в стоковой цепи, настроенный на промежуточную частоту. Подобное решение ощутимо заметно отношение «сигнал/шум» на выходе приемника.
В качестве УПЧ и частотного детектора применена экономичная микросхема К174УР7, включенная по стандартной схеме. Для повышения крутизны дискриминационной характеристики частотного детектора вместо опорного контура использован керамический резонатор ZQ3. Если не удастся его приобрести, то можно применить колебательный контур, настроенный на 465 кГц. Продетектированные импульсы с выхода ЧД (вывод
10 микросхемы) подаются на неинвертирующий вход внутреннего операционного усилителя (вывод
12).
Коэффициент усиления ОУ определяется отношением сопротивлений резисторов R9/R8. С выхода ОУ (вывод
13) усиленный сигнал поступает на компаратор напряжения, собранный на транзисторе VT3. Порог компаратора выбран подстройкой R14 таким образом, чтобы шумы не вызывали срабатывания компаратора. В результате на выходе приемника формируются положительные прямоугольные импульсы стандартной амплитуды, примерно равной напряжению источника питания.
Детали и конструкция
Поскольку микросхема работает в достаточно узком диапазоне питающих напряжений 5,4–6,6 В, целесообразным может оказаться применение стабилизатора. Место для него (DA2) на плате предусмотрено. Транзистор VT1 — КТ315 (КТ3102) с любым буквенным индексом. Для максимизации коэффициента передачи смесителя может понадобиться подбор амплитуды гетеродинного напряжения с помощью резистора R1. В качестве VT2 желательно использовать BF964. Ближайшая замена — КП327А.
Транзистор компаратора VT3 может быть КТ361 (КТ3107) с любым буквенным индексом. Кварцевый резонатор применен на частоту 27,535 МГц. Пьезоэлектрический фильтр — ФП1П1-61-01 или ему аналогичный на частоту 465 кГц. Керамический резонатор ZQ3 также на частоту 465 кГц.
Контурные катушки L1, L2 и L3 намотаны на каркасах диаметром 5–6 мм с резьбовым (М4) подстроечным сердечником из карбонильного железа. L1 и L3 содержат по 8 витков провода 0,25 мм диаметром, a L2 — 3 витка провода диаметром 0,15—0,18 мм, намотанных поверх L3. Катушка L4 размешена в стандартной для фильтров ПЧ арматуре и имеет 135 витков провода диаметром 0,1–0,12 мм. Все катушки желательно снабдить экранами. Все неэлектролитические конденсаторы должны быть керамическими.
Печатная плата приемника (рис. 5.57) никаких особенностей не имеет.
Рис. 5. 57.
Печатная плата
Настройка
Настройка приемника производится по сигналам собственного передатчика, расположенного на расстоянии 3–5 м. Вначале убеждаются в работе гетеродина, для чего достаточно расположить короткозамкнутые щупы осциллографа вблизи катушки L1 и включить максимальную чувствительность осциллографа. Подстроечником катушки нужно добиться максимума размаха изображения на экране.
Далее включают передатчик, не подавая на его вход модулирующий сигнал. Осциллограф подключают к выходу фильтра ZQ2. Последовательно подстраивая входной контур и катушку L4, необходимо добиться максимальной амплитуды синусоидального напряжения на экране (частота напряжения должна быть 465 кГц). Далее следует подать модулирующий сигнал на вход передатчика и контролировать импульсный сигнал на выходе приемника (точка соединения резистора R12 и конденсатора С18).
Поскольку дискриминационная характеристика ЧД очень узкая благодаря применению керамического резонатора, может потребоваться подстройка задающего генератора в передатчике с помощью сердечника катушки, включенной последовательно с кварцем. Вместо кварцевого фильтра можно использовать стандартный контур ПЧ, состоящий из параллельно соединенных конденсатора на 1000 пФ и катушки индуктивности на 117 мкГн. Катушка содержит 78 витков провода диаметром 0,1–0,12 мм, помешенных в ферритовый горшкообразный сердечник.
В последнюю очередь устанавливается порог выходного компаратора. Временно на место R14 припаивается подстроечный резистор на 220 кОм. Контролируя осциллографом картину на выходе компаратора, необходимо установить такой порог, при котором, что называется, только-только пропадают срабатывания компаратора от собственных шумов приемника. Это обеспечит максимальную чувствительность приемника. Измерив сопротивление потенциометра, впаивают на место постоянный резистор ближайшего номинала.
5.5.2. Приемник на ИМС К174УР7 со смесителем на биполярном транзисторе
Принципиальная схема этого варианта приемника отличается от предыдущей высокочастотной частью, которая изображена на рис. 5.58. Катушки L2 и L3 содержат по 9 витков провода диаметром 0,25—0,35 мм на цилиндрическом каркасе диаметром 5–7 мм с резьбовым подстроечным сердечником М4 из карбонильного железа. Катушка L1 имеет 3 витка того же провода и намотана поверх L2.
L4— 24 витка провода диаметром 0,12 мм, намотанных на резисторе МЛТ-0,25 сопротивлением не менее 51 кОм. Отвод сделан от середины. В процессе настройки необходимо подобрать величину резистора R8 по максимуму колебаний промежуточной частоты, наблюдаемых с помощью осциллографа на выходе керамического фильтра. Катушки УРЧ должны быть помешены в заземленные экраны.
Рис. 5.58. Принципиальная схема приемника со смесителем на биполярном транзисторе
5.5.3. Приемник на ИМС К174УР7 со смесителем на К174ПС1
Схема приведена на рис. 5.59. УРЧ приемника точно такой же, как и в предыдущем варианте. Сигнал на вход микросхемы подается с катушки L5, содержащей 3 витка провода диаметром 0,25 мм, которую необходимо намотать поверх катушки L3. Никакой дополнительной настройки смеситель не требует.
Рис. 5.59. Принципиальная схема приемника со смесителем на К174ПС1
5.5.4. Приемник на ИМС К174УР7 со смесителем на SA612A
Активный двойной балансный смеситель фирмы «Philips Semiconductors» рассчитан на использование в радиоприемных устройствах вплоть до частоты 500 МГц. Его основные характеристики можно посмотреть в [13]. Вариант его использования в описываемом приемнике приведен на рис. 5.60. Катушка L6 имеет 9 витков провода диаметром 0,25—0,35 мм, намотанных на таком же каркасе, что и катушки УРЧ. Др1 — стандартный дроссель типа ДМ-0,1.
Гетеродинная часть на схеме изображена для случая применения гармоникового кварца. Если в распоряжении имеется резонатор, работающий на основной гармонике, то элементы С4, L6 можно изъять. Безусловно, во всех вариантах можно использовать кварцевые резонаторы и на другие частоты. Важно, чтобы разность между частотами передатчика и гетеродина приемника равнялась частоте настройки применяемого керамического фильтра. Последние выпускаются как на 465, так и на 455 кГц.
Рис. 5.60. Смеситель на SA612А
5.5.5. Приемник на микросхеме К147ХА26
Принципиальная схема
Этот приемник имеет чувствительность не хуже 1 мкВ за счет УРЧ, собранного по каскодной схеме (рис. 5.61). Такое построение каскада обеспечивает высокий устойчивый коэффициент усиления за счет уменьшения результирующей проходной емкости, обычно «виновной» в самовозбуждении каскадов УРЧ.
Микросхема содержит в своем составе гетеродин, смеситель, УПЧ и квадратурный частотный детектор, опорный контур которого подключается к выводу
8. Имеющиеся в составе микросхемы элементы подавителя шумов здесь не используются. Диод VD1 обеспечивает стабилизацию положения рабочей точки компаратора VT3, что сохраняет высокую чувствительность приемника в широком диапазоне температур и питающих напряжений. Его применение позволило отказаться от стабилизатора напряжения питания.
Рис. 5.61. Принципиальная схема приемника
Детали и конструкция
Микросхема DA1 может быть заменена полным импортным аналогом МС3359. Кварцевый резонатор ZQ1 и керамический фильтр ZQ2 должны быть рассчитаны на обеспечение промежуточной частоты 465 (455) кГц при работе с соответствующим кварцем в передатчике. Параметры входного и нагрузочного контура УРЧ такие же, как у варианта на рис. 5.58. Катушка связи L4 имеет 3 витка провода диаметром 0,25 мм, намотанного поверх L3. Опорный контур частотного детектора стандартный на частоту 465 (455) кГц. Его параметры при самостоятельном изготовлении можно посмотреть в предыдущих вариантах.
Печатная плата приемника изображена на рис. 5.62. Все колебательные контуры должны быть снабжены экранами.
Рис. 5.62.
Печатная плата
Настройка
Настройка производится по сигналам собственного передатчика. Подключив осциллограф к выводу
5 микросхемы, уточняют положение сердечников входного и нагрузочного контура, добиваясь. максимальной амплитуды напряжения промежуточной частоты. Частоту, при наличии возможности, полезно измерить, и если она отличается от номинала 465 (455) кГц больше, чем на 2 кГц, необходимо подстроить частоту гетеродина сердечником катушки L5.
Переключив осциллограф на базу транзистора VT3, добиваются максимальной амплитуды наблюдаемых отрицательных импульсов вращением сердечника катушки L6. Если наблюдаемые импульсы имеют положительную полярность, это означает, что контур дискриминатора сильно расстроен по отношению к требуемой частоте. Вращением сердечника необходимо добиться именно отрицательной полярности у выходных импульсов.
Если гетеродин не возбуждается, это свидетельствует о том, что предусмотрена работа кварцевого резонатора на третьей механической гармоники. В этом случае схема подключения кварца должна быть такая же, как на рис. 5.60.
При напряжении питания приемника больше 5 В необходимо на выходе включить резистор величиной 10–15 кОм, чтобы не вывести из строя входные цепи дешифратора.
5.5.6. Приемник на микросхеме МС3361Р
Принципиальная схема
Принципиальная схема приемника приведена на рис. 5.63.
Рис. 5.63. Принципиальная схема приемника с дешифратором
Применена далеко не новая, но хорошо себя зарекомендовавшая микросхема МС3361. Ее паспортная чувствительность 2,6 мкВ, однако чувствительность приемника может быть легко улучшена до 0,5 мкВ. Для этого достаточно включить на входе апериодический УРЧ на полевом транзисторе КПЗОЗЕ (рис. 5.64). На печатной плате приемника, приводимой ниже, места для этих элементов предусмотрены.
Рис. 5.64. Схема УРЧ
Микросхема представляет собой супергетеродинный приемник с однократным преобразованием частоты. Частота гетеродина стабилизирована кварцем ZQ1. Катушка L2 предназначена для обеспечения точного совпадения промежуточной частоты с центральной частотой пьезоэлектрического фильтра ZQ2, входящего в состав УПЧ.
В качестве опорного элемента частотного дискриминатора, входящего в состав микросхемы, использован резонатор ZQ3 на частоту 465кГц. При отсутствии такого резонатора между выводом
8 микросхемы и плюсом источника питания, вместо установленных на схеме элементов, может быть включен параллельный колебательный контур, настроенный на 465 кГц. В качестве индуктивности такого контура можно с успехом использовать катушку на стандартной арматуре от фильтров ПЧ промышленных приемников индуктивностью 117 мкГн. Конденсатор контура должен иметь емкость 1000 пФ. Вывод
9 микросхемы является выходом частотного детектора. Фильтр нижних частот R1, С6 обеспечивает подавление высокочастотных шумов на выходе детектора.
Через разделительный конденсатор С7 принятые импульсы поступают на вход операционного усилителя (вывод 10), имеющегося в составе микросхемы. Его коэффициент усиления определяется резистором R3. С выхода ОУ (вывод
11) усиленный сигнал поступает на селектор импульсов.
Потенциометр R4 обеспечивает установку порогового напряжения на входе ОУ, препятствующего прохождению шумов на его выход. Если приемник будет использоваться автономно, селектор импульсов и последующий дешифратор — а это часть схемы, начинающаяся с элемента DD1.2— из схемы изымаются, и к выводу
11 DA1 подключается нормализатор импульсов (рис. 5.65).
Рис. 5.65. Нормализатор импульсов
Если подразумевается использование в составе аппаратуры пропорционального управления, то целесообразно собирать всю схему вместе с дешифратором, потому что дешифратор разрабатывался именно под этот вариант приемника.
Селектор импульсов собран на микросхеме DD1 и обеспечивает преобразование выходных импульсов приемника искаженной формы в прямоугольные, с крутыми фронтами и постоянной амплитудой. Это необходимо для нормальной работы распределителя импульсов на микросхеме DD2. Кроме того, селектор выделяет из принятого сигнала синхропаузу.
Принцип действия
Логическая часть схемы приемника работает следующим образом. Положительные импульсы с вывод
11 DA1 (рис. 5.66,
б) подаются на элемент DD1.2 для нормализации. С его выхода импульсы стандартной амплитуды (рис. 5.66,
в) поступают на счетный вход
14 микросхемы DD2. При наличии низкого уровня на
13 выводе этой микросхемы счет разрешен и на выводах
2 и
4 последовательно во времени появляются первый и второй канальные импульсы соответственно (рис. 5.66,
з, и).
Рис. 5.66. Эпюры напряжений в дешифраторе
Помимо этого, нормализованные импульсы инвертируются элементом DD1.1 и запускают схему выделения синхропаузы, состоящую из элементов VD1, R6, С13, DD1.4. Отрицательными импульсами с вывода
3 DD1.1 конденсатор С13 быстро разряжается через малое сопротивление открытого диода VD1 до нуля и медленно заряжается в паузах между импульсами через резистор R6 значительной величины.
Постоянная времени цепи заряда выбрана таким образом, что даже при максимальной длительности канальных импульсов напряжение на конденсаторе не успевает дорасти до уровня логической единицы (рис. 5.66,
д) и напряжение на выходе элемента DD1.4 остается равным нулю. По окончании последнего канального импульса напряжение на конденсаторе через некоторое время достигает единичного уровня, и элемент DD1.4 «опрокидывается». Положительный скачок напряжения, соответствующий переднему фронту синхропаузы, через дифференцирующую цепочку С15, R8 подается на вход обнуления счетчика DD2.
Первый же из пришедших импульсов синхропаузы с вывода
11 DD1.4 через диод VD2 заряжает конденсатор С14, обеспечивая на выводе
10 DD1.3 нулевое напряжение, которое, будучи поданным на вход
13 DD2,обеспечивает разрешение счета импульсов по входу
14. Постоянная времени цепи разряда конденсатора С14 выбрана настолько большой, что он не успевает значительно разрядиться в промежутках между импульсами синхропаузы, чем обеспечивается разрешение счета на все время присутствия сигнала на входе приемника. При выключении передатчика входной сигнал пропадает, конденсатор медленно разряжается до нуля и на выходе
10 DD1.3 появляется высокий потенциал, запрещая счет микросхеме DD2. Делается это для того, чтобы счетчик не срабатывал от шумовых выбросов на выходе приемника, что приводило бы к беспорядочному срабатыванию рулевой машинки и регулятора хода и, в итоге, к «подергиваниям» модели. Напряжение питания приемника желательно застабилизировать.
Детали и конструкция
Печатная плата приемника изображена на рис. 5.67. Пунктирная линия под микросхемой DD1 обозначает перемычку, которую необходимо впаять со стороны деталей перед монтажом микросхемы. К контакту X1 припаивается антенна (отрезок провода длиной 15–30 см), к Х2 — провод питания. На плате в непосредственной близости от этого контакта предусмотрено место для установки местного стабилизатора напряжения на 5 В, например К1157ЕН502А. ХЗ и Х4 соединяются с входом регулятора хода и рулевой машинки соответственно.
В случае замены резонатора ZQ3 на колебательный контур, катушка впаивается в отверстия, предназначенные для ZQ3 и С5, а контурный конденсатор — вместо резистора R2. Катушка содержит 78 витков провода диаметром 0,12 мм и помещена в ферритовый сердечник от стандартных катушек ПЧ промышленных приемников. Наличие экранов на катушках необязательно.
Все постоянные резисторы в приемнике — типа МЛТ-0,125. Подстроенный R4 — СПЗ-19а. Конденсаторы С13, С14 — типа К73-17, все остальные, кроме С7 и С10, керамические типа КМ-6 или импортные дисковые. С2, С4 и С5 обязательно должны иметь хороший ТКЕ (МЗЗ, М47).
Пьезоэлектрический фильтр ZQ2 марки ФП1П1-61-01 или ему аналогичный на частоту 465 кГц. ZQ3 — пьезоэлектрический резонатор на частоту 465 кГц. Кварцевый резонатор ZQ1 — на частоту 26,655 МГц. Катушки L1, L2 — на каркасах, аналогичных вышеописанным. Их данные приведены на рис. 5.63. Микросхема DA1 может быть заменена аналогичными устройствами других фирм производителей LM3361 или КА3361.
Рис. 5.67. Печатная плата приемника
Настройка
Настройку приемника удобно производить по сигналам передатчика. Приемник с подключенной антенной необходимо расположить на расстоянии 50—100 см от включенного передатчика и подключить осциллограф к выводу
5 микросхемы DA1. На экране должны наблюдаться синусоидальные колебания на частоте, примерно равной 465 кГц (результат взаимодействия в смесителе входного сигнала и гетеродинного напряжения).
Проверять наличие колебаний гетеродина непосредственно, подключаясь к выводу
1 или
2, не следует, так как подключение осциллографа может приводить к срыву генерации. Вращением сердечников катушек L1 и L2 необходимо добиться максимума амплитуды наблюдаемых колебаний. Для более точной настройки катушек, передатчик целесообразно удалять от приемника в процессе настройки, оставляя уровень сигнала на экране осциллографа минимально необходимым для наблюдения.
Отсутствие колебаний промежуточной частоты на выводе
5 при любом положении сердечника катушки L2 свидетельствует о том, что гетеродин не возбуждается. Если монтаж выполнен правильно и кварц заведомо исправен, можно попробовать подобрать емкость конденсатора С4 в пределах 24–75 пФ. Отрицательный результат говорит о том, что резонатор гармониковый и его нужно включить в соответствии со схемой, приведенной на рис. 5.60.
Следующий этап наиболее ответственный. От тщательности настройки частотного дискриминатора существенно зависит чувствительность приемника, а значит и качество работы системы в целом. Осциллограф подключается к точке соединения резистора R1 и конденсатора С7 (выход фильтра низкой частоты частотного детектора). При включении передатчика вместо шумов на экране должны появиться отрицательные импульсы примерно треугольной формы (рис. 5.66,
а).
Отсутствие импульсов либо положительная их полярность говорят о том, что частота используемого резонатора ZQ3 не равна точно 465 кГц. В этом случае вместо С5 необходимо временно впаять, на как можно более коротких проводниках подстроечный конденсатор на 25—150 пФ, и вращением его ротора добиться амплитуды отрицательных импульсов 0,3–0,4 В.
Измерив получившуюся емкость, впаять постоянный конденсатор. В случае использования опорного колебательного контура, того же эффекта добиваются подстройкой сердечника катушки. Необходимо иметь ввиду, что настройка частотного дискриминатора возможна в трех точках, две из которых ложные. Признаком ложной настройки является положительная полярность наблюдаемых импульсов.
Переключить осциллограф на вывод
11 DA1 и потенциометром R4 добиться на экране осциллографа подавления шумовой дорожки в основании импульсов (рис. 5.66,
б). Проконтролировать эпюры напряжений, приведенные на рис. 5.66, в соответствующих точках селектора и распределителя импульсов. При отсутствии ошибок монтажа эта часть схемы настройки не требует.
5.5.7. Приемник с двойным преобразованием частоты
Принципиальная схема
В [15] предлагается существенно улучшить характеристики приемника, применив две одинаковые микросхемы МС3361Р. Выигрыш достигается в основном за счет того, что первая промежуточная частота выбрана достаточно высокой — 10,7 МГц. В этом случае зеркальный канал отодвигается от основного на 21,4 МГц, что позволяет эффективно его подавлять с помощью простейшего одноконтурного преселектора.
А это означает, что уровень внешних шумов уменьшается практически в полтора раза, за счет чего и растет чувствительность. В указанной статье она задекларирована равной 0,35 мкВ. На рис. 5.68 приведена схема, позаимствованная из этой статьи.
Рис. 5.68. Принципиальная схема приемника с двойным преобразованием частоты
Микросхема DA1 используется частично, в качестве первой ступени преобразования частоты. Поскольку частота гетеродина достаточно низкая и кварц работает на первой гармонике, нет необходимости применения колебательного контура в его цепях. Включение второй микросхемы ничем не отличается от предыдущего варианта приемника, кроме, естественно, гетеродинных цепей.
Детали и конструкция
Все конденсаторы, кроме С13 и С16, должны быть керамическими, у пленочных слишком велика собственная индуктивность. Катушка индуктивности L1 содержит 6 витков провода диаметром 0,16—0,2 мм, намотанных на каркасе диаметром 5 мм рисунка печатной платы здесь сделана перестановка элементов, входящих в состав DD1, что никак не влияет на работу схемы.
Если дешифратор не нужен, у печатной платы отсекается практически вся ее нижняя половина, и выходной сигнал приемника в виде положительных импульсов амплитудой не менее 200–250 мВ, снимается с вывода 11 микросхемы DA2.
Рис. 5.69. Печатная плата приемника с дешифратором
Настройка
Настройка приемника сводится к регулировке входного контура по максимуму напряжения промежуточной частоты на выводе
6 DA2 и подбору величины С11 по максимуму отрицательных импульсов на выводе
10 DA2. Далее потенциометром R6 необходимо установить такое постоянное смещение на выводе
10, при котором пропадает шумовая дорожка в основании прямоугольных импульсов на выводе
11. Настройка производиться по сигналам передатчика.
Данные кварцевых резонаторов и фильтров приведены для частоты входного сигнала 27,12 МГц. Понятно, что можно использовать и другие комбинации параметров этих элементов. Важно только, чтобы были обеспечены равенства
fZQ2 = |
fвх —
fZQ1I и
fZQ4 = |
fZQ2 —
fZQ3I.
5.5.8. Приемник на микросхеме МС3372
Принципиальная схема
В три раза лучшую чувствительность, чем предыдущая, имеет микросхема МС3372. На рис. 5.70 изображена схема приемника на ее базе.
Рис. 5. 70. Принципиальная схема приемника на микросхеме МС3372
Последовательно с антенной включена удлинительная катушка L1, обеспечивающая компенсацию емкостной составляющей укороченной антенны, что благотворно сказывается на ее согласовании с входным контуром. Собственно выходом приемника является вывод
9 микросхемы. Выделенный им сигнал через ФНЧ R2, С12 далее поступает на операционный усилитель (вывод
10), коэффициент передачи которого определяется резистором R5. К выходу усилителя (вывод
11) подключен компаратор напряжения, реализованный на элементах встроенного шумоподавителя.
Приемник целесообразно (но не обязательно) использовать совместно с дешифратором и канальным распределителем, реализованным на микросхеме DD1. На его вход подаются отрицательные импульсы нормированной амплитуды с выхода компаратора (вывод
14).
Элементы VD1, С14 и R9 образуют детектор синхропаузы. Работает он следующим образом. Короткие отрицательные импульсы, соответствующие фронтам командных (рис. 5.71,
а) подаются на динамический вход счетчика DD1. Счет ведется по положительным перепадам этих импульсов. В результате на выводе
2 DD1 появляются канальные импульсы первого канала (рис. 5.71,
в), а на выводе
4 — второго (рис. 5.71,
г). Каждый из коротких входных импульсов успевает через диод VD1 зарядить конденсатор С14 до напряжения питания, делая потенциал выводе
14 равным практически нулю. В промежутке между импульсами конденсатор разряжается через резистор R9.
Напряжение на выводе
14, определяемое выражением
U14 =
Uпит —
UС14, нарастает по экспоненте. Постоянная времени разряда выбрана такой, что нарастающее напряжение не успевает достичь уровня срабатывания (примерно
Uпит/2) входа сброса за время командного импульса. Напомним, что максимальная длительность командного импульса может составлять 2 мс. Синхропауза имеет длительность
Тпаузы минимум в два раза большую, поэтому происходит превышение порога (точка
А на рис. 5.71,
б), и счетчик обнуляется. Далее цикл работы устройства повторяется.
Рис. 5.71. Эпюры в характерных точках дешифратора
Детали и конструкция
Печатная плата приемника изображена на рис. 5.72. Поскольку монтаж достаточно плотный, во избежание самовозбуждения приемника плату целесообразно изготовить из двухстороннего стеклотекстолита, используя фольгу со стороны установки деталей в качестве общего провода. Высокочастотные катушки лучше снабдить экранами.
При входной частоте 27,12 МГц кварцевый резонатор ZQ1 должен быть на 26,655 или 27,585 МГц. Фильтр ZQ2 и резонатор частотного дискриминатора ZQ3 — на 465 кГц. Катушки наматываются проводом диаметром 0,16 мм на цилиндрических каркасах диаметром 5–6 мм с карбонильными подстроечными сердечниками. L1 содержит 12 витков, L2 — 6, a L3 — 9 витков. Резистор R4 устанавливается на плате вертикально. Все конденсаторы, кроме электролитических, керамические. С14 желательно применить пленочный, чтобы исключить влияние температуры на настройку дешифратора.
Рис. 5.72. Печатная плата приемника
Настройка
Методика настройки приемника аналогична вариантам, рассмотренным в предыдущих параграфах. В дешифраторе достаточно только подобрать емкость конденсатора С14 в диапазоне 0,047—0,1 мкФ, добиваясь обнуления счетчика только от импульсов синхропаузы.
Осциллограммы напряжений на выводах
14, 15, 2 и 4 микросхемы DD1 должны мало отличаться от графиков, приведенных на рис. 5.71,
а, б, в, г соответственно. Понятно, что наблюдать осциллограммы необходимо при включенном передатчике комплекта радиоуправления.
5.5.9.
Приемник на микросхеме МС3371
Принципиальная схема
Микросхема МС3371 мало чем отличается от предыдущей, но она дешевле. В [16] опубликован неплохой приемник на ее базе. Приведем схему приемника (рис. 5.73), рассчитанного на работу с входным сигналом частотой 27,12 МГц.
Рис. 5.73. Принципиальная схема приемника на микросхеме МС3371
Основное преимущество применения МС3371 заключается в чрезвычайно простой реализации схемы шумоподавителя. Для его работы используется выход RSSI — измерителя интенсивности радиочастотного сигнала (вывод
13). Увеличение номинала резистора R1 по сравнению с типовым (типовое значение по описанию — 51 кОм) дает возможность поднять напряжение на выводе
13 до уровня, позволяющего управлять работой внутреннего ключа МС3371. Для этого выход RSSI (вывод
13) и управляющий вход ключа (вывод
12) соединены между собой. При высоком уровне входного сигнала выход ключа МС3371 (вывод
14) находится в высокоимпедансном состоянии и не влияет на прохождение информационного сигнала на вход DD1. При недостаточном уровне входного сигнала внутренний ключ замыкает вывод
14 на «землю» и блокирует прохождение шума с выхода МС3371 на вход DD1. Это позволяет избежать самопроизвольного срабатывания рулевых машинок при выключенном передатчике.
Обнуление регистров DD1 для формирования правильной последовательности канальных импульсов осуществляется схемой выделения синхропаузы R7R8VT1R9C13. Синхроимпульс с коллектора VT1 поступает на вход «D» DD1 (вывод
15). Далее DD1 осуществляет «раздачу» последовательности импульсов по канальным выходам с первого по четвертый (выводы
13, 12, 11 и
2 соответственно). При желании число каналов можно увеличить, задействовав второй регистр, имеющийся в корпусе микросхемы, но плату при этом придется переделать.
Настройка
Схема имеет всего две точки настройки. Во-первых, настраивается входной контур на частоту 27,12 МГц по максимуму колебаний на выводе
5 DA1 при передатчике, включенном в режим немодулированной несущей. Затем осциллограф следует подключить к нижнему выводу резистора R2 и убедиться в наличии отрицательных импульсов амплитудой не менее 300 мВ. Передатчик должен быть переведен в режим излучения командной посылки.
Во-вторых, подбирается номинал резистора R5, определяющего уровень срабатывания внутреннего компаратора. Указанный резистор заменяется последовательной цепочкой из постоянного резистора номиналом 220–330 кОм и подстроечного резистора номиналом 1,5–2,2 МОм.
Вращением подстроечника требуется получить первой ножке микросхемы DD1 импульсы шириной 0,3–0,4 мс. После этого цепочка выпаивается, замеряется и заменяется соответствующим постоянным резистором.
Детали и конструкция
Катушка L1 содержит 8, a L2 — 3 витка провода диаметром 0,25 мм, намотанного на каркасе диаметром 5 мм с резьбовым сердечником М4 из карбонильного железа. Дроссели Др1 и Др2 использованы готовые (импортные типа ЕС24). Первый имеет индуктивность 1,8 мкГн, второй — не менее 300 мкГн.
Печатная плата четырехканального варианта приведена на рис. 5.74. Необходимо в первую очередь впаять со стороны расположения деталей перемычки П1 и П2. Отверстия под ножки микросхемы DD1 с номерами
3–7 и
9, 10 на плате не высверливают. Эти ножки у микросхемы следует откусить.
Печатная плата приемника изображена на рис. 5.74. Внешний вид приемника показан на рис. 5.75.
Рис. 5.74.
Печатная плата
Рис. 5.75. Внешний вид приемника
Глава 6
ДЕШИФРАТОРЫ КОМАНД
Принятый сигнал должен быть преобразован в последовательность импульсов, адресованных конкретным исполнительным устройствам. Такое преобразование осуществляется дешифраторами, схемотехнике которых посвящена данная глава.
6.1. Дешифраторы дискретных команд
6.1.1. Дешифратор частотно-кодированных сигналов
Принципиальная схема
В качестве частотно-избирательных элементов таких дешифраторов долгое время использовались колебательные контуры. Поскольку для шифрации команд используются низкие частоты, катушки индуктивности выполнялись на броневых ферритовых сердечниках и имели значительные размеры и вес. Применение активных полосовых фильтров на базе операционных усилителей лишено указанных недостатков. Вариант такого дешифратора приведен на рис. 6.1.
Рис. 6.1. Принципиальная схема дешифратора
Частота настройки фильтра может регулироваться всего лишь одним элементом — резистором R2. Номиналы этого резистора для выбранных ранее частот (раздел 2.2.1) указаны на схеме. АЧХ фильтров для указанных номиналов изображены на рис. 6.2.
Рис. 6.2. АЧХ фильтров
Принцип действия
Сигнал с выхода приемника поступает на входы всех четырех фильтров. Выходной сигнал будет максимален только у того фильтра, частота настройки которого совпадает с частотой командного сигнала. Пусть для примера это первый фильтр (рис. 6.1). Переменное напряжение с его выхода (вывод
13 микросхемы DA1) выпрямляется детектором и поступает на вход компаратора, реализованного на нижнем по схеме операционном усилителе DA1. Напряжение на выводе
5 уменьшается и становится ниже опорного, подаваемого на вывод
6 от общего для всех фильтров делителя R3, R4. На выводе
9 микросхемы появляется высокий потенциал, который далее может использоваться для включения исполнительного устройства. Чувствительность компаратора можно регулировать подбором величины резистора R6.
На рис. 6.3 приведен возможный вариант печатной платы. Полезно иметь ввиду, что коэффициент передачи фильтра около 50, поэтому необходимо обеспечивать, входной сигнал не более 100 мВ.
Рис. 6.3. Печатная плата дешифратора
6.1.2. Дешифратор импульсных команд
Принципиальная схема
Устройство, схема которого изображена на рис. 6.4, предназначено для совместной работы с шифратором, описанным в
разделе 2.2.2. На вход необходимо подавать отрицательные командные импульсы амплитудой не менее 3 В. Элементы DD1.1 и DD1.2 образуют триггер Шмидта, обеспечивающий четкое фиксирование фронта и среза импульсов с выхода приемника и доведение их амплитуды до уровня, стандартного для микросхем КМОП-структуры. Сделано это для устранения «дребезга» срабатывания микросхем дешифратора, который может иметь место при размывании шумами фронтов принимаемых импульсов.
Рис. 6.4. Принципиальная схема дешифратора импульсных команд
При наличии на входе триггера Шмидта отрицательного импульса, он будет продублирован на выходе (вывод
4 DD1.2), но уже в уровнях КМОП. Через конденсатор С1 импульс запустит ждущий мультивибратор DD1.3, DD1.4. Длительность импульса, снимаемого с его выхода (вывод
11 DD1.4) выбрана равной 0,5 с, что немного больше времени прохождения командной посылки максимальной длительности (см.
раздел 2.2.2).
Этот импульс подается на входы всех элементов DD2.3—DD5.3 и блокирует прохождение сигналов с выхода счетчика DD3 на все время счета. Только после того, как на выходе счетчика установится окончательное значение переданной команды, откроется путь для ее прохождения к исполнительным устройствам.
Команды с номерами 6–9 являются командами с памятью. Они вызывают срабатывание триггеров DD7.1—DD8.2, в результате исполнительные устройства, подключенные к их выходам, остаются включенными до повторного нажатия на соответствующую кнопку. Таким образом, любые из последних четырех команд могут исполняться одновременно.
При поступлении продолжительного (длительность 0,6 с) импульса общего сброса в течение 0,1 с, логическая единица поступит и на вывод
1, и на вывод
2 DD2.1. В результате сигнал логической единицы с вывода
4 DD2.2 поступит на входы сброса как счетчика, так и триггеров, переведя дешифратор в исходное состояние.
Цепь задержки R3, СЗ служит для исключения ложных срабатываний устройства сброса. Никакой настройки дешифратор не требует. Для обеспечения стабильности длительности импульса ждущего мультивибратора конденсатор С2 необходимо применить пленочного типа, например К73-17. Устройство питается от любого источника, напряжением 5—12 В.
Детали и конструкция
Печатная плата приведена на рис. 6.5. Она выполняется из одностороннего стеклотекстолита. Со стороны деталей, перед их впаиванием, устанавливаются перемычки П1—П13. Конденсатор С4, отсутствующий на принципиальной схеме, на плату установить желательно. Его величина должна быть 0,1–0,33 мкФ. Выходы дешифратора обозначены на плате цифрами 1–9. Количество команд, исполнение которых производится с запоминанием и без запоминания, можно произвольно изменять, добавляя или исключая инверторы и триггеры в соответствующих цепях. Плату при этом придется корректировать.
Рис. 6.5. Печатная плата
6.1.3. Дешифратор кодово-импульсных команд
Дешифратор, принципиальная схема которого приведена на рис. 6.6, предназначен для совместной работы с шифратором из
раздела 2.2.4.
Рис. 6.6. Принципиальная схема дешифратора
Сигнал с выхода приемника, имеющий вид, изображенный на рис. 6.7,
a, поступает на вход дешифратора. Для примера закодировано число 3. На элементах DD1.1, DD1.3 собрана схема восстановления тактовых импульсов, которые, напомним, соответствуют по времени границам разрядных интервалов.
Выделенные тактовые импульсы подаются на схему формирования импульсов записи, реализованную на элементах VD2, С5, R5, DD1.4. Выходной сигнал этого узла приведен на рис. 6.7,
б. Положительные перепады, как видно, располагаются внутри разрядных интервалов.
Рис. 6.7.
Принцип дешифрации команды
Этими перепадами, поступающими на вход записи сдвигающего регистра DD2, производится последовательная запись информации с входа «D» микросхемы, куда подан сигнал с выхода приемника (рис. 6.7,
а). По окончании четвертого такта записи на выходах регистра DD2 сформировано двоичное число, соответствующее номеру переданной команды. Дешифратор DD4 преобразует это двоичное число в единичный уровень на соответствующем своем выходе. В рассматриваемом примере это вывод 15.
Часть схемы, реализованная на элементах DD1.2 и DD3, обеспечивает формирование импульса разрешения считывания команды (рис. 6.7,
в), который появляется на выходе счетчика DD3 только после окончания записи в регистр всех четырех разрядов поступившей кодовой посылки. Для нормальной работы исполнительных устройств выходы
1–9 дешифратора должны быть подключены к схемам «И-НЕ» точно так же, как это сделано в предыдущем варианте дешифратора (рис. 6.4). Импульс разрешения считывания команды (вывод
12 DD3 на рис. 6.6) необходимо подать на соединенные вместе входы элементов «И-НЕ». Этот сигнал аналогичен по назначению сигналу на выводе
11 DD1.4 на рис. 6.4.
Если в пришедшей кодовой посылке в младшем разряде записана единица, то схема формирования импульсов записи вырабатывает один лишний импульс. Чтобы не происходило сдвига декодируемого числа на один лишний такт, прохождение пятого импульса записи на вход регистра блокируется схемой монтажного «И», собранной на элементах VD3, VD4, R6. Сигнал управления блокировкой формируется на выводе
1 элемента DD3 путем подсчета поступивших на вход импульсов записи.
Если предполагается использовать команды с запоминанием, то входы сброса «R» триггеров DD7, DD8 необходимо соединить с корпусом.
6.1.4. Дешифратор на специализированной микросхеме
Этот дешифратор предназначен для совместной работы с шифратором, описанным в
разделе 2.2.5. Микросхема PTBF978B содержит все элементы, необходимые для усиления командного сигнала с выхода приемника и последующей его дешифрации. Принципиальная схема и печатная плата дешифратора приведены на рис. 6.8 и рис. 6.9 соответственно.
Рис. 6.8. Принципиальная схема дешифратора
Рис. 6.9.
Печатная плата
На элементах DA1.1, DA1.2 выполнен усилитель сигнала, обеспечивающий чувствительность схемы порядка 10–30 мВ, что обеспечивает возможность подключения дешифратора непосредственно к выходу, например сверхрегенеративного каскада. Выходные сигналы дешифратора имеют уровни КМОП-логики.
6.2. Дешифраторы команд пропорционального управления
6.2.1. Двухканальный дешифратор
Задачей любого дешифратора команд является выделение из выходного сигнала радиоприемника канальных импульсов прямоугольной формы и стандартной амплитуды. Длительность выделенных импульсов должна быть равна длительности соответствующих командных импульсов, сформированных в передатчике. Простейший дешифратор, схема которого приведена на рис. 6.10, предназначен для совместной работы с двухканальными шифраторами, описанными в
разделе 2.3.1–2.3.3.
Рис. 6.10.
Принципиальная схема двухканального дешифратора
Поскольку все рассмотренные ранее приемники имеют на выходе устройства, доводящие амплитуду выходных сигналов до стандартных уровней микросхем КМОП-логики, дешифратор рассчитан на работу с входными сигналами амплитудой не менее 80 % от величины питающего напряжения.
Схема представляет собой, по сути, триггер Шмидта, с которого снимаются прямой (вывод
11) и инверсный (вывод
10) сигналы. Напомним, что у соответствующих шифраторов (представляющих собой различные типы мультивибраторов) командные импульсы первого канала есть не что иное, как положительные импульсы мультивибратора, а командные импульсы второго канала — паузы между ними: прямой сигнал на выходе триггера, очевидно, и есть командный сигнал первого канала, а инверсный — соответственно второго.
Соотношение величин резисторов R1, R2 определяет величину «гистерезиса» и чувствительность триггера. При указанных на схеме номиналах требуемая минимальная амплитуда входного сигнала составляет 4 В, а «гистерезис» — 1,5 В. Наладки дешифратор не требует. Печатная плата ввиду простоты ее разводки не приводится.
6.2.2. Многоканальные дешифраторы
Принципиальная схема
При описании схем приемников в
разделах 5.5.6, 5.5.8 и 5.5.9 рассмотрены три варианта многоканальных дешифраторов, которые с успехом можно использовать с любыми другими приемниками. Подробно изложен принцип их работы и порядок настройки. Приведены печатные платы этих дешифраторов (в составе соответствующих приемников), но, при необходимости, эти «шпаргалки» облегчат изготовление и автономных вариантов дешифраторов.
В данном разделе рассмотрим еще один, достаточно универсальный вариант дешифратора на базе сдвоенного компаратора. Его принципиальная схема приведена на рис. 6.11.
Рис. 6.11.
Многоканальный дешифратор
Сигнал с выхода приемника любого типа подается на вход дешифратора. Приведенный на рисунке вариант рассчитан на работу с отрицательными входными импульсами. Компаратор, собранный на верхней части микросхемы, обеспечивает формирование на своем выходе (вывод
1 DA1) положительных импульсов, длительность которых определяется длительностью принятых командных импульсов, а амплитуда практически равна напряжению питания схемы. Этот сигнал подается на счетный вход (вывод 14) канального распределителя, реализованного на микросхеме DD1.
Через диод VD1 первый же из этих импульсов заряжает конденсатор С3 до амплитудного значения. В результате на выводе
7 DA1 устанавливается нулевой потенциал. В паузах между импульсами конденсатор С3 разряжается через резистор R8.
Постоянная времени выбрана такой, что напряжение на конденсаторе не успевает уменьшиться до опорного напряжения, установленного на прямом входе компаратора (вывод
5) за время даже самого длинного командного импульса. За время же синхропаузы конденсатор успевает разрядиться, на выводе
7 компаратора появляется положительный скачок напряжения, который через дифференцирующую цепь C4R10 подается на вход обнуления счетчика (вывод
15), подготавливая его к следующему циклу работы.
Для обеспечения работы дешифратора с положительными входными импульсами, элементы C1, R1, R2 необходимо подключить к выводу
3 микросхемы DAI, a R3, R4, С2 — к выводу
2. Величину резистора R3 при этом нужно уменьшить до 91 кОм.
Детали и конструкция
Печатная плата дешифратора изображена на рис. 6.12. Конденсатор С3, определяющий постоянную времени в схеме выделения синхропаузы, должен быть пленочным. К остальным деталям никаких особых требований не предъявляется.
Рис. 6.12.
Печатная плата
Настройка
Настройка дешифратора сводится к установке порога срабатывания компаратора с помощью потенциометра R4. Осциллограф подключается к выводу
1 DA1, а вход дешифратора — к выходу работающего приемника. Вращением оси потенциометра необходимо добиться появления на экране осциллографа хаотичных прямоугольных импульсов, что будет свидетельствовать о срабатывании компаратора от выходных шумов приемника.
Далее, уводя движок потенциометра вверх по схеме, необходимо «загрубить» чувствительность до пропадания этих импульсов. Напряжение на выходе компаратора при этом должно установиться практически равным нулю. При поступлении на вход приемника сигналов передатчика, на выходе компаратора появляются прямоугольные граничные импульсы.
Распределитель импульсов на микросхеме DD1 в настройке не нуждается.
Глава 7
ИСПОЛНИТЕЛЬНЫЕ УСТРОЙСТВА
Управление кинематическими параметрами на борту модели (по сигналам с дешифратора) производится исполнительными устройствами. Рассмотрены основные типы таких устройств — регуляторы хода и рулевые машинки.
7.1. Исполнительные устройства аппаратуры дискретного управления
Основные положения
Сигналы на выходе дешифраторов дискретной аппаратуры могут быть двух типов. Либо это высокий потенциал, сохраняющийся только на время нажатия соответствующей кнопки управления на пульте передатчика, либо высокий потенциал, сохраняющийся длительное время до повторного нажатия командной кнопки.
Первый вариант имеет место, например на выходах
1–5 дешифратора, описанного в
разделе 6.1.2 (рис. 6.4). Во втором случае команда становиться на самоблокировку, например с помощью RS-триггера, как это сделано на выходах 6–9 этого же дешифратора.
Исполнительные устройства в обоих случаях представляют собой, как правило, электромеханические либо электронные реле.
Принципиальная схема
Поскольку выходной ток микросхем КМОП-серии, на которых собираются дешифраторы, невелик, для управления электромеханическими реле используются транзисторные усилители тока. Возможный вариант простейшего исполнительного устройства приведен на рис. 7.1,
а.
Рис. 7.1. Релейные исполнительные устройства
Электронный ключ VT1 обеспечивает срабатывание электромагнитного реле К1. Контакты реле (на рисунке не показаны) осуществляют необходимые коммутации нагрузки. Диод VD1 служит для разряда электромагнитной энергии, накапливающейся в обмотке реле при протекании в ней тока. После закрывания электронного ключа этот ток ответвляется в диод, рассеивая энергию на нем и обмотке за счет их нагревания. В противном случае на обмотке бы возникала ЭДС самоиндукции значительной величины, что могло бы выводить транзистор из строя.
На рис. 7.1,
б изображен улучшенный вариант этой же схемы. Дело в том, что для срабатывания электромеханического реле требуется значительно больший ток, чем для последующего удержания его в замкнутом состоянии. Например для реле РЭС15 с паспортом РС4591003 эти токи равны 21 и 5 мА соответственно. Следовательно, после срабатывания реле ток через его обмотку можно уменьшать, что позволит экономить энергию бортового источника питания. Эти соображения и положены в основу работы второго варианта схемы.
При открывании транзистора VT2 начинает протекать зарядный ток конденсатора С1, определяющийся в основном резистором R2. Его величина выбрана таким образом, чтобы транзистор VT1 переходил в насыщение. Его коллекторного тока достаточно для срабатывания реле К1. По окончании заряда С1 транзистор VT1 закрывается, и ток через обмотку реле будет определяться суммой ее сопротивления и сопротивления резистора R4. Величину последнего подбирают таковой, чтобы ток через обмотку составлял 1,2–1,3 от паспортного значения тока отпускания используемого реле. После снятия входного сигнала конденсатор C1 разряжается через обмотку реле и последовательно соединенные резисторы R4, R3, R2.
В качестве VT1 и VT2 рассмотренных схем можно использовать любые маломощные транзисторы структуры
n-p-n, например КТ315, КТ3102. Демпфирующие диоды должны выдерживать ток, не менее тока срабатывания используемого реле. В большинстве случаев можно обойтись диодами типа КД521, КД522. Электронные реле отличаются от рассмотренных тем, что вместо электромеханических реле в коллекторную цепь непосредственно включается коммутируемая нагрузка, например электродвигатели. К транзисторам электронного ключа при этом предъявляются повышенные требования. Их максимально допустимый коллекторный ток должен быть не менее тока, потребляемого нагрузкой.
Кроме того, для повышения коэффициента использования питающего напряжения, сопротивление транзистора в открытом состоянии должно быть как можно меньшим. Тяговые двигатели моделей средних размеров могут потреблять токи до 3–5 А.
Памятуя о том, что выходные токи дешифраторов не превышают единицы миллиампер, необходимо использовать в качестве электронных ключей составные транзисторы, имеющие коэффициент усиления потоку 750—1500.
На рис. 7.2 приведены две практические схемы электронных реле.
Рис. 7.2. Электронные реле
Первый вариант (рис. 7.2,
а) подразумевает использование составного транзистора типа КТ829(А — Г), имеющего максимально допустимый ток коллектора 8 А и коэффициент усиления по току не менее 750. Сопротивление участка «коллектор-эмиттер» у него равно 0,6 Ом. Очень выгодно по этому параметру отличается транзистор КТ863А, имеющий сопротивление насыщения всего 0,06 Ом. Однако его коэффициент усиления по току не превышает 100. Для нормальной работы с дешифраторами, собранными на микросхемах КМОП-серии, такой транзистор необходимо включить по схеме, приведенной на рис. 7.2,
б. В качестве транзистора VT2 можно использовать КТ315, КТ3102 и им подобные.
Еще заманчивее применение полевых транзисторов с изолированным затвором, номенклатура которых достаточно широка. Их стоковые токи достигают десятков ампер при сопротивлении насыщения в сотые доли ома.
Для обеспечения реверса исполнительного двигателя используют мостовые схемы управления. На рис. 7.3 приведен вариант такой схемы на биполярных транзисторах. При подаче высокого потенциала (+5 В) на вход «вправо» открывается транзистор VT1, и протекающий через него ток открывает транзисторы VT3 и VT6. Последние переходят в режим насыщения, обеспечивая подачу питающего напряжения на двигатель M1. Ток через двигатель протекает, по схеме, слева направо.
Рис. 7.3.
Мостовая схема
При подаче высокого потенциала на вход «влево» происходит переключение направления вращения двигателя. При отсутствии входных сигналов все транзисторы заперты, и ток, потребляемый схемой, пренебрежимо мал.
Дроссели Др1, Др2 и конденсатор С1 служат для подавления помех, создаваемых искрящим коллектором двигателя M1.
Дроссели могут быть самодельными. Для их изготовления необходимо намотать по 15 витков провода диаметром 0,25 мм на кольцах с внешним диаметром 7—10 мм из феррита любой марки. Номиналы резисторов указаны для питающего напряжения 6 В. При повышении напряжения необходимо пропорционально ему увеличивать сопротивления всех резисторов, кроме R1—R4.
Схема рассчитана на применение двигателей с током потребления до 8 А. Для менее мощных двигателей, потребляющих ток не более 1–2 А, в мостовом каскаде можно применить транзисторы КТ816 на месте VT3, VT5 и КТ817 на месте VT4, VT6.
Еще удобнее использовать комплементарную пару полевых транзисторов, включив их так, как показано на рис. 7.4,
а.
Рис. 7.4.
Мостовые схемы на полевых транзисторах
Управляющие сигналы должны иметь амплитуду, равную напряжению питания. Работает схема следующим образом. При отсутствии входных сигналов затворы транзисторов VT1, VT3 соединены с корпусом. Поскольку их истоки подключены к плюсу источника питания, это равносильно подаче на затвор отрицательного напряжения, открывающего транзисторы с каналом
р-типа.
Транзисторы VT2 и VT4 имеют канал
n-типа, и поэтому подключение их затворов к корпусу обеспечивает им запертое состояние. Двигатель обесточен.
Подача положительного напряжения, например на вход «вправо», закрывает транзистор VT3 и отпирает VT4. Через двигатель протекает ток снизу вверх. При подаче положительного напряжения на вход «влево» открытыми окажутся транзисторы VT2, VT3, и двигатель будет вращаться в обратную сторону. Диоды VD1—VD4 обеспечивают протекание тока самоиндукции, который возникает в обмотках двигателя при отключении входных сигналов.
Полевые транзисторы должны быть обязательно с индуцированными каналами. У таких транзисторов выходной ток начинает протекать при достижении напряжения на затворе некоторой определенной величины. Чтобы в транзисторах не возникали сквозные токи, напряжение отпирания должно быть больше половины напряжения питания.
На рис. 7.4,
б приведена реальная схема, реализованная на двух микросборках DA1, DA2, содержащих комплементарные пары полевых транзисторов с изолированными затворами.
Транзисторы имеют следующие характеристики:
♦ максимальный ток стока — 2 А;
♦ максимальное напряжение «исток-сток» — 25 В;
♦ сопротивление канала в открытом состоянии — не более 0,15 Ом;
♦ отпирающее напряжение на затворе — 3 В.
Очень удобно для реверсивного управления двигателями использовать
специализированные микросхемы драйверов. В этом случае полностью отсутствуют навесные детали, за исключением элементов искрогашения двигателя. Номенклатура таких микросхем весьма широка. Основные типы и характеристики можно посмотреть, например в [17]. На рис. 7.5 приведена схема исполнительного устройства на микросхеме ВА6229.
Рис. 7.5. Исполнительное устройство на специализированной микросхеме
Драйвер имеет широкий диапазон питающих напряжений 8—23 В, максимальный выходной ток — 1,2 А, встроенную защиту от перегрузок. Вход микросхемы совместим с уровнями ТТЛ. Можно использовать микросхемы, совместимые с уровнями КМОП, например ВА6209 и многие другие. В каждом случае драйвер нужно включать по рекомендованной схеме, приводимой в справочниках.
Логика работы всех микросхем одинакова. При нулевых потенциалах на обоих входах напряжение на двигатель не подается (режим холостого хода). При подаче единичного уровня на один из входов двигатель вращается в соответствующую сторону. Очень полезен режим электрического торможения двигателя путем короткого замыкания его роторной обмотки. Включается этот режим подачей единичных уровней на оба входа драйвера.
Детали и конструкция
Печатные платы рассмотренных устройств не приводятся ввиду простоты их самостоятельного изготовления.
7.2. Регуляторы хода
7.2.1. Первый вариант регулятора хода
Основные положения
Логика работы регуляторов хода любого типа одинакова и была рассмотрена по структурной схеме в
разделе 1.2.2. Ниже будут рассматриваться только конкретные схемотехнические решения, рассчитанные на входные сигналы со стандартными параметрами, а именно:
♦ амплитуда канальных импульсов — 5 В;
♦ исходная длительность импульса — 1,5 мс;
♦ диапазон изменения длительности командного импульса — 1–2 мс.
Принципиальная схема
На рис. 7.6 приведен вариант схемы регулятора хода, реализованного в основном на транзисторах.
Рис. 7.6. Регулятор хода. Вариант № 1
Устройство предназначено для использования на моделях с низковольтным питанием (5–7 В). Выходные каскады рассчитаны на применение двигателя мощностью до 15–20 Вт.
Канальный импульс положительной полярности, информация о величине команды в котором содержится в длительности Δ
τ, подается на один из входов временного дискриминатора, собранного на элементах DD1.3, DD1.4, и на вход инвертора DD1.2. Отрицательный импульс с вывода
4 инвертора также подается на дискриминатор и на дифференцирующую цепь C5R4. Короткий отрицательный импульс, соответствующий переднему фронту канального, через развязывающий диод VD2 запускает ждущий мультивибратор, в состав которого входят транзистор VT1, инвертор DD1.1 и времязадающий конденсатор С4.
В исходном состоянии транзистор открыт за счет подачи на его базу положительного потенциала (примерно 0,6 В) через резистор R3 (рис. 7.7,
в). На коллекторе, а значит и на входах инвертора DD1.1 низкий потенциал (логический 0), а на выходе — 1. Конденсатор С4 заряжен до напряжения
Uc, определяемого положением движка потенциометра R1.
Рис. 7.7. Формирование опорного импульса
Отрицательный импульс с выхода дифференцирующей цепи (рис. 7.7,
б), соответствующийпереднему фронту канального импульса, запирает транзистор. Потенциал коллектора скачком возрастает до уровня питающего напряжения (рис. 7.7,
г), инвертор DD1.1 опрокидывается, на его выходе устанавливается нулевой потенциал, и левая обкладка конденсатора С4 через диод VD1 оказывается подключенной к корпусу. Отрицательное напряжение с правой обкладки прикладывается к базе транзистора, удерживая его в запертом состоянии (рис. 7.7,
в).
Конденсатор С4 начинает перезаряжаться по экспоненциальному закону по цепи: плюс источника питания — подстроечный резистор R3 — конденсатор С4. Когда напряжение на нем достигнет напряжения отпирания транзистора (примерно 0,6 В), произойдет обратное опрокидывание схемы, и на коллекторе транзистора будет сформирован положительный импульс, длительность которого
τ0 определяется как исходным напряжением на конденсаторе С4, так и постоянной времени заряда цепи С4-R3. Этот импульс и его инвертированная копия с вывода
3 DD1.1 подаются на оставшиеся входы временного дискриминатора.
Читателю будет легко самостоятельно убедиться, что импульс разностной длительности Δ
τ появится на выводе
10 дискриминатора — если длительность пришедшего канального импульса
τк меньше длительности ждущего мультивибратора
τ0, и на выводе
11 — в противном случае. Полярность разностных импульсов в обоих случаях положительна.
На транзисторах VT2, VT3 собраны удлинители импульсов с коэффициентом удлинения 40. Необходимость удлинения импульсов пояснялась в
разделе 1.2.2. Механизм удлинения рассмотрим на примере верхнего канала. Короткий разностный импульс с вывода
10 через резистор R8 заряжает конденсатор С7 до некоторого напряжения
Uc, пропорционального длительности разностного импульса, а в конечном счете — величине передаваемой команды.
По окончании разностного импульса напряжение с конденсатора прикладывается к базе транзистора VT2 отрицательной полярностью, так как левая обкладка конденсатора через резистор R8 и вывод
10 DD1.3 соединяется с корпусом. Конденсатор начинает перезаряжаться, формируя на коллекторе положительный импульс, длительность которого определяется неизменной величиной — постоянной времени C7R10 и напряжением
Uc. Процессы при этом полностью аналогичны рассмотренным для конденсатора С4. Параметры схемы выбраны таким образом, чтобы коэффициент удлинения равнялся 40.
Силовая часть схемы, обеспечивающая питание двигателя, полностью аналогична изображенной на рис. 7.3.
Детали и конструкция
Печатная плата изготавливается из одностороннего стеклотекстолита в соответствие с рис. 7.8.
Перед распайкой деталей необходимо установить две перемычки: под микросхемой DD1 и у транзистора VT9. Конденсаторы С4, С7 и С9 должны быть обязательно пленочные, например К73-17. Потенциометр R1 —типа СПЗ-386.
Рис. 7.8. Печатная плата
Настройка
Настройка регулятора хода производится в следующей последовательности. Движок потенциометра R1 устанавливается в среднее положение, двигатель временно отключается. После подачи напряжения питания проверить наличие +3 В на выходе стабилизатора.
Подключить осциллограф к выводу
3 DD1 и подать на вход схемы импульсы длительностью 1,5 мс с периодом повторения 20 мс и амплитудой 3–5 В. Вращением оси R1 установить длительность импульсов на экране осциллографа равной 1,5 мс. Подключая осциллограф поочередно к коллекторам VT2, VT3, убедиться, что длительность положительных импульсов изменяется от нуля до 20 мс при отклонении ручки управления от нейтрального до крайнего положения. В противном случае подобрать величину конденсаторов С7, С9.
Иногда может понадобиться увеличение стабилизированного напряжения с трех до пяти вольт. Подключить двигатель и убедиться в плавности регулировки оборотов при отклонении ручки управления. При напряжении питания 6 В в крайнем положении ручки управления напряжение на двигателе должно быть не менее 5,2 В при «висячих» колесах модели.
7.2.2. Второй вариант регулятора хода
Принципиальная схема
Устройство рассчитано на работу с двигателями постоянного тока мощностью до 50 Вт при напряжении питания выходного каскада 7—27 В. Суммарное падение напряжения на выходных транзисторах при полной нагрузке не превышает 1,3–1,5 В.
Принципиальная схема этого варианта приведена на рис. 7.9.
Рис. 7.9. Регулятор хода. Вариант № 2
Канальный импульс положительной полярности поступает на инвертор DD1.2. К его выходу подключена дифференцирующая цепь R5C4, обеспечивающая формирование короткого отрицательного импульса, соответствующего переднему фронту канального.
Этим импульсом запускается ждущий мультивибратор, собранный на базе таймера DA1. Длительность получаемых на выводе
3 положительных импульсов определяется постоянной времени цепи R1R2C1 и устанавливается равной 1,5 мс. Временной дискриминатор аналогичен рассмотренному выше с одним отличием: разностные импульсы на его выходах имеют отрицательную полярность.
Разностные сигналы с вывода
10 или
11 DD1 поступают на удлинители импульсов, включающие интегрирующие цепочки с различными постоянными времени заряда и разряда. Рассмотрим принцип действия остальной части схемы для случая появления разностного импульса на выводе
10 микросхемы.
В исходном состоянии конденсатор С7 заряжен до напряжения, равного половине напряжения питания (
Uс = +2,5 В). Этот потенциал приложен к прямому входу компаратора DA3.1. На инверсном входе (вывод
4 компаратора) с помощью потенциометра R14 установлено несколько меньшее опорное напряжение
Uоп. В результате на выходе компаратора (вывод
2) потенциал примерно равен напряжению питания выходных каскадов.
Такая же величина и на базе транзистора VT1. Транзистор заперт. Высокое напряжение с вывода
2 приложено и к инверсному входу компаратора DA3.4 (вывод
8). Поскольку опорное напряжение на прямом входе (вывод
9) значительно меньше, на выходе компаратора устанавливается низкий потенциал, практически равный нулю.
Транзистор VT4 в результате заперт. Легко убедится, что заперты и транзисторы VT2 и VT3. Разностный импульс с вывода
10 быстро разряжает конденсатор С7 через резистор R7 на величину, пропорциональную значению команды управления. Восстановление напряжения производится через резистор R9 по гораздо более пологой экспоненте.
До тех пор, пока напряжение на конденсаторе ниже опорного, на выходе компаратора DA3.1 присутствует отрицательный импульс, отпирающий транзистор VT1. На выходе компаратора DA3.4 импульс будет наоборот положительным, что в свою очередь приведет к отпиранию транзистора VT4. Двигатель начнет вращаться.
Потенциометром R14 выбирается порог, при котором коэффициент удлинения разностных импульсов равен сорока. В этом случае, при изменении разностного импульса в пределах 0–0,5 мс, постоянная составляющая напряжения на двигателе будет меняться от нуля до напряжения питания, пропорционально меняя скорость вращения двигателя. В качестве выходных выбраны транзисторы с малым напряжением насыщения, что обеспечивает суммарное падение напряжения на паре открытых транзисторов, не превышающее 1,3 В при токе нагрузки до 1,5 А.
Конденсаторы С9 и С11 предназначены для гашения помех, возникающих в коллекторном узле двигателя. Стабилизатор напряжения DA2 на 5 В исключает уход параметров импульсов ждущего мультивибратора и компараторов при снижении напряжения питающей батареи.
Детали и конструкция
Печатная плата регулятора хода изображена на рис. 7.10. Она выполнена из одностороннего стеклотекстолита толщиной 1,5 мм. Электролитические конденсаторы С5 и С10 рассчитаны на рабочее напряжение 6,3 и 25 В соответственно, устанавливаются на плату горизонтально.
Выходные транзисторы — вертикально. Их выводы формуются таким образом, чтобы транзисторы расположились в шахматном порядке, не касаясь друг друга коллекторными пластинами. Радиаторы на транзисторы устанавливаются, если рабочий ток двигателя превышает 1,5 А. В этом случае конфигурация фрагмента платы, на котором установлены транзисторы, изменится. Перемычки П1—ПЗ устанавливаются со стороны расположения деталей.
Времязадающие конденсаторы С1, С6, С7 должны быть пленочного типа (например К73-17), остальные— керамические. Микросхему таймера КР1006ВИ1 можно заменить импортными аналогами LM555, NE555. Счетверенный компаратор КР1401СА1— на импортную микросхему LM339N. Выходные транзисторы можно менять на любые мощные, соответствующих проводимостей, но потери мощности на них в этом случае увеличатся, что крайне нежелательно при батарейном питании модели. Диоды — любые маломощные кремниевые. Подстроечные потенциометры — типа СПЗ-38 или РП-1.
Рис. 7.10.
Печатная плата регулятора хода
Настройка
Настройка регулятора хода сводится к установке опорной длительности импульсов ждущего мультивибратора и установке порога срабатывания компараторов, обеспечивающего коэффициент удлинения равный 40.
Временно отключают двигатель. На вход устройства подают канальные импульсы от формирователя команд собственного передатчика или прямоугольные импульсы с выхода генератора сигналов. Импульсы должны быть положительной полярности и иметь амплитуду 4–5 В. Их длительность устанавливается равной 2 мс, а период следования — 20 мс.
Контролируя на выводе
3 микросхемы DA1 наличие положительного импульса, установить его длительность равной 1,5 мс с помощью потенциометра R2. Длительность отрицательного разностного импульса на выходе временного дискриминатора (выводе
10 DD1.3) должна быть равна 0,5 мс.
Переключить осциллограф на выход компаратора (вывод
2 DA3) и потенциометром R14 установить длительность отрицательного импульса равной 19–19,5 мс.
Подключить двигатель и убедится, что его скорость вращения плавно меняется при изменении длительности входного импульса в пределах 1–2 мс от максимальной до нуля, а после смены направления движения — опять до максимальной.
Для лучшего подавления помех от искрящего коллектора полезно соединить выводы двигателя с его корпусом через конденсаторы емкостью 0,1 мкФ, расположив их непосредственно на двигателе. В цепи питания двигателя желательно также включить дроссели на 20–50 мкГн.
При отсутствии таймера КР1006ВИ1 ждущий мультивибратор можно собрать по схеме, приведенной на рис. 7.11. Печатную плату при этом придется, естественно, переделать. Микросхема DD2 соответствует микросхеме DD1 на рис. 7.9. Требуемая длительность опорного импульса устанавливается потенциометром R2. Диод VD1 может быть типа КД521, КД522.
Рис. 7.11. Вариант ждущего мультивибратора
7.2.3. Третий вариант регулятора хода
Принципиальная схема
Компактная схема регулятора хода приведена на рис. 7.12. Здесь ждущий мультивибратор и временной дискриминатор выполнены всего на одной микросхеме DD1. Удлинители импульсов реализованы на компараторах DA1.1 и DA1.2. Элементы DA1.3 и DA1.4 выполняют функции инверторов. Использование полевых транзисторов в мостовой схеме управления двигателем существенно повышает КПД выходного каскада.
Рис. 7.12.
Регулятор хода. Вариант № 3
В качестве транзисторов VT1—VT4 можно подобрать большое количество комплементарных пар, ориентируясь на имеющееся напряжение питания и мощность исполнительного двигателя. Печатная плата (рис. 7.13) разведена под использование в выходном каскаде двух транзисторных сборок типа IRF7105, упоминавшихся выше. Они в своем составе содержат и демпфирующие диоды VD3—VD6. В этом случае напряжение питания может лежать в пределах 7—25 В при токе нагрузки не более 2 А.
Рис. 7.13. Печатная плата
Транзисторные сборки обозначены на плате как DA3 и DA4 и монтируются со стороны печатных проводников, так как они выполнены в корпусах, предусматривающих поверхностный монтаж. Конденсаторы С2, С4 и С5 должны быть пленочными (К73-17). Подстроечный резистор R10 — типа СПЗ-19 или аналогичный по размерам импортный прямоугольной формы. Стабилизатор DA2 — малогабаритный 1170ЕН5 или его импортный аналог.
Настройка
В процессе настройки после проверки правильности монтажа подают питание на плату и убеждаются в наличии +5 В на выходе стабилизатора напряжения DA2. Двигатель при этом должен быть отключен. Затем на вход регулятора следует подать прямоугольные импульсы амплитудой 4–5 В, длительностью 2 мс и с периодом повторения 20 мс. Подключив осциллограф к выводу
3 DD1, установить длительность наблюдаемого положительного импульса равной 1,5 мс. Установка производится подбором величины резистора R1, для чего на его место можно временно подключить последовательно соединенные резистор номиналом 33 кОм и потенциометр— 100 кОм. Далее на выводе
11 контролируется наличие разностного положительного импульса длительностью 0,5 мс.
Переключив осциллограф на вывод 2 DA1, настраивают порог срабатывания компаратора удлинителя импульсов. Движок потенциометра R10 устанавливается в верхнее (по схеме) положение и затем медленно вращается до появления на экране осциллографа отрицательных импульсов.
Настройку можно считать законченной, когда длительность отрицательных импульсов станет примерно равной 19 мс, т. е. они практически сольются. Присоединив двигатель, необходимо убедиться, что направление его вращения соответствует направлению отклонения ручки управления. В противном случае выводы двигателя необходимо поменять местами.
При отсутствии полевых транзисторов, силовую часть и удлинители импульсов можно выполнить на биполярных транзисторах, по схеме, приведенной на рис. 7.6. Стыковка производится по выводам
10 и
11 микросхемы DD1. Плата при этом разводится заново.
7.2.4. Четвертый вариант регулятора хода
Принципиальная схема
В разделе 7.1 уже упоминались специализированные микросхемы (драйверы) для управления двигателями постоянного тока. Их с успехом можно применять и в регуляторах хода. На рис. 7.14 приведен вариант такой схемы. Ждущий мультивибратор и временной дискриминатор здесь ничем не отличаются от использованных в варианте 2 (рис. 7.9). Удлинитель импульсов реализован на сдвоенном операционном усилителе DA2.
Рис. 7.14.
Регулятор хода. Вариант № 4
Двигателем управляет драйвер ВА6209, что позволяет использовать двигатели с током потребления до 1,6 А и питающим напряжением 12 В. Контактные площадки Х4, Х5 служат для подключения двигателя, Х2, Х3 — для подключения питания, а X1 — для подачи канального импульса с выхода приемника. Для повышения эксплуатационной надежности к контактным площадкам всех плат удобно припаять штырьки подходящего диаметра от штепсельных разъемов, вставив их до упора в соответствующие отверстия плат со стороны расположения деталей.
Детали и конструкция
Конденсаторы С1, С5, С7 регулятора хода должны быть пленочными (К73-17). Микросхему DA2 можно заменить на К157УД2, DA4 — на ВА6219 (8—18 В; 2,2 А), ВА6222 (5—15 В; 2,2 А), ВА6229 (8—23 В; 1,2 А), ТА7291Р (18 В; 1,2 А) без изменения рисунка печатной платы. Напряжение питания
Uп выбирается в зависимости от применяемой микросхемы и используемого двигателя. Чертеж печатной платы регулятора хода приведен на рис. 7.15.
Рис. 7.15. Печатная плата
Настройка
Настройка ждущего мультивибратора аналогична рассмотренной в
разделе 7.2.2, а удлинителя импульсов аналогична предыдущему варианту. Необходимо учитывать, что падение напряжения на внутренних транзисторах микросхем при работающем двигателе может достигать 1,5–2 В. При желании, ждущий мультивибратор можно реализовать по схеме, приведенной на рис. 7.11.
7.2.5. Пятый вариант регулятора хода
Принципиальная схема
Удлинитель импульсов в предыдущей схеме можно выполнить на транзисторах. Поскольку он требует подачи на вход положительных разностных импульсов, необходимо изменить и схему временного дискриминатора. Такой вариант регулятора хода приведен на рис. 7.16.
Рис. 7.16.
Регулятор хода. Вариант № 5
Детали и конструкция
Поскольку схема состоит из фрагментов, входивших составными частями в предыдущие регуляторы хода, порядок настройки и выбор деталей можно позаимствовать в соответствующих вариантах. Печатная плата изображена на рис. 7.17. Перед установкой микросхемы DD1 необходимо впаять перемычку П1.
При отсутствии таймера КР1006ВИ1 ждущий мультивибратор и временной дискриминатор можно выполнить по схеме, изображенной на рис. 7.6.
Рис. 7.17. Печатная плата
7.2.6. Шестой вариант регулятора хода
Принципиальная схема
Регулятор хода можно существенно упростить, используя схему, приведенную на рис. 7.18.
Ждущий мультивибратор и схема формирования разностных импульсов выполнены на элементах DD1.1—DD1.4. Далее следуют удлинители импульсов на транзисторах VT1, VT2 и специализированная микросхема управления двигателями DA2.
Рис. 7.18.
Регулятор хода. Вариант № 6
Детали и конструкция
Печатная плата регулятора хода приведена на рис. 7.19. Между выводами
10 и
11 микросхемы DD1 и корпусом при необходимости можно включить конденсаторы емкостью 0,01 мкФ, место на плате для них предусмотрены.
Необходимость в этих конденсаторах может возникнуть при использовании мощного (сильно искрящего) двигателя. Для этой же цели предусмотрена установка конденсаторов емкостью по 0,1 мкФ между выводами
2 и
10 DA2 и корпусом. Микросхема ТА7291Р рассчитана на подключение двигателей с максимальным током, не превышающим 1,2 А.
Конденсаторы C1, С3 и С4 являются времязадающими и должны быть обязательно пленочными (например К73-17). Длительность импульсов ждущего мультивибратора, равная 1,5 мс, определяется величиной резистора R1 и устанавливается его подбором.
Рис. 7.19. Печатная плата
7.2.7. Седьмой вариант регулятора хода
Принципиальная схема
Лучшую пропорциональность между входными и выходными импульсами обеспечивает цифровой удлинитель. Вариант регулятора хода с таким удлинителем приведен на рис. 7.20. Ждущий мультивибратор, временной дискриминатор и удлинитель импульсов существенно отличаются от примененных в предыдущих вариантах, поэтому рассмотрим их принцип действия подробнее.
Рис. 7.20. Регулятор хода с цифровым удлинителем
В исходном состоянии на прямом выходе триггера DD1.1 (вывод
1) — уровень логического нуля. Достигается это заземлением асинхронного входа «S1» (вывод
7). Конденсатор С1 разряжен через открытый диод VD1 практически до нуля. На синхронный вход «J1» (вывод
6) подан высокий потенциал, что в соответствии с логикой работы триггера вызывает его опрокидывание по переднему фронту положительного канального импульса
τк.
На выходе триггера устанавливается высокий логический уровень, диод VD1 запирается, начинается заряд конденсатора С1 через большое сопротивление резисторов R1 и R2. Напряжение на асинхронном входе «R1» (вывод
4) нарастает. При достижении этим напряжением уровня логической единицы происходит обратное опрокидывание триггера.
Конденсатор быстро разряжается через открывающийся диод VD1. Таким образом, на выходе формируется положительный импульс, длительность которого
τоп можно регулировать потенциометром R2. Временной различитель реализован на микросхеме DD2. Легко убедиться, что если
τк >
τоп, то разностный импульс Δ
τ положительной полярности образуется на выводе
10 этой микросхемы, а в противном случае — на выводе
4. Эти выходы подключены к асинхронным входам второго триггера микросхемы DD1.
В первом случае высокий потенциал появится на выводе
15 триггера, диод VD2 запрется и разблокирует базовую цепь транзистора VT4. При наличии положительных импульсов на выводе
7 микросхемы DD4 (их происхождение выясним позже) транзистор будет открываться сам и отпирать выходные ключи VT2, VT6, обеспечивая вращение двигателя.
Во втором случае полностью аналогично будет обеспечено вращение двигателя в противоположную сторону. Полезно обратить внимание на то, что теперь управляющие импульсы поступают в обоих случаях с одного и того же выхода удлинителя импульсов (выводе
7 DD4).
Теперь собственно об удлинителе. Разностные импульсы, при любом соотношении
τк и появляются на одном и том же выходе временного различителя (вывод
11 DD3.4). Они имеют отрицательную полярность. Инвертированные вторым элементом микросхемы DD3, эти импульсы (пропорциональные величине переданной команды), поступая на вывод
6 DD3.3, разрешают работу тактового генератора, собранного на этом элементе.
Период тактовых импульсов (Т1) с помощью потенциометра R8 выбирается таким образом, чтобы при максимальной величине команды (Δ
τ = 0,5 мс) на выходе генератора успели сформироваться ровно 15 импульсов (рис. 7.21,
а, б). Их полярность отрицательная, поэтому они инвертируются элементом DD3.4, что необходимо для нормальной работы реверсивного счетчика DD4.
Рис. 7.21. Графики, поясняющие работу цифрового удлинителя
Через развязывающий диод VD5 положительные импульсы поступают на счетный вход микросхемы (вывод
15). В течение времени Δ
τ на переключающем входе микросхемы (вывод
10) присутствует высокий потенциал с вывода
3 DD3.2, что обеспечивает счет на увеличение. Счет ведется по переднему фронту тактовых импульсов.
В первый же момент, в соответствии с логикой работы счетчика, на выходе переноса (вывод
7) появляется высокий уровень, сохраняющийся там все время, пока содержимое счетчика не равно нулю (рис. 7.21,
в). Именно этот импульс и управляет выходными транзисторами. Покажем, что его длительность пропорциональна длительности разностного импульса Δ
τ.
Выходной импульс, помимо прочего, подается на вывод
12 второго тактового генератора, собранного на элементе DD3.1, разрешая его работу. Период следования этих импульсов (Т
2) устанавливается потенциометром R5 в соответствии с равенством
Т2 = 40∙
T1 (рис. 7.21,
г). Короткие положительные импульсы с выхода дифференцирующей цепи, соответствующие положительным перепадам (рис. 7.21,
д), подаются на счетный вход счетчика.
К моменту прихода первого из них высокий потенциал на переключающем входе (вывод
10) уже отсутствует, и счетчик работает на вычитание. Процесс продолжается до тех пор, пока содержимое счетчика не обратиться в нуль. В этот момент заканчивается положительный импульс на выводе
7 счетчика, и работа второго тактового генератора прекращается.
Из графиков видно, что длительность выходного импульса будет составлять величину, в сорок раз большую длительности Δ
τ. Хотя длительность будет изменяться дискретно, шаг дискретизации настолько мал, что на плавности регулировки скорости вращения двигателя практически не сказывается.
При изменении Δ
τ в пределах 0–0,5 мс, количество импульсов, генерируемых обоими тактовыми генераторами, будет пропорционально изменяться в пределах 0—15 с сохранением коэффициента удлинения выходного импульса (в нашем случае — 40).
Схема выходного ключевого усилителя никаких особенностей не имеет.
Детали и конструкция
Печатная плата изображена на рис. 7.22 и никаких комментариев не требует. Перед монтажом деталей необходимо впаять перемычки П1—П6. Конденсаторы С10 и СИ устанавливаются непосредственно на двигателе. Требования к деталям такие же, как и в предыдущем варианте. Напомним, что времязадающие конденсаторы C1, С4 и С7 должны быть пленочными.
Рис. 7.22. Печатная плата
Настройка
Ждущий мультивибратор настраивается по вышеописанной методике на опорную длительность
τ оп = 1,5 мс. Далее, обеспечив разность Δ
τ = 0,5 мс, потенциометром R8 необходимо добиться, чтобы на выводе
10 DD3.4 вырабатывалось
15 импульсов. Аналогичное количество импульсов, но гораздо большей длительности, устанавливается на выводе
11 DD3.1 с помощью потенциометра R5. При исправных деталях и правильном монтаже остальная часть схемы в проверке не нуждается. Настройки производятся при отключенном двигателе.
7.2.8. Восьмой вариант регулятора хода
Принципиальная схема
Мостовые схемы управления двигателями имеют несомненные достоинства, однако при любом направлении вращения двигателя, последовательно с ним, включаются коллекторные переходы двух транзисторов, на которых создается падение напряжения порядка 0,5–2,5 В, что снижает КПД устройства.
Для экономии энергии бортовых источников питания можно с успехом применять регуляторы хода с релейным реверсом. В этом случае используется один ключевой транзистор, и потери можно существенно уменьшить. Так, у транзистора КТ863А сопротивление насыщенного коллекторного перехода составляет всего лишь 0,06 Ом.
Даже при токе нагрузки в 2 А на нем будет падать всего 0,12 В и рассеиваться мощность не более 240 мВт. Наилучший же выбор — современные полевые транзисторы с изолированным затвором. На рис. 7.23 приведена схема регулятора хода с релейным реверсом и аналоговым удлинителем импульсов.
Рис. 7.23. Принципиальная схема регулятора хода с релейным реверсом
Ждущий мультивибратор реализован на первом триггере DD1. Длительность опорных импульсов определяется постоянной времени R2C2. Временной дискриминатор DD2 обеспечивает формирование разностных импульсов отрицательной полярности на выводе
4 DD2.4 при любом соотношении длительностей опорного импульса и принятого канального. Разностные импульсы поступают на удлинитель, собранный на компараторе DA1. Потенциометром R8 устанавливается требуемый коэффициент удлинения.
Если длительность канального импульса превышает длительность опорного (движение модели вперед), то разностные положительные импульсы формируются на выводе
10 DD2, а на выводе
11 присутствует нулевой потенциал. RS-триггер DD1.2 устанавливается в единичное состояние, на его инверсном выходе (вывод
14) — нулевое напряжение, и транзисторный ключ VT1 закрыт. Реле К1 обесточено, и его нормальнозамкнутые контакты коммутируют обмотку двигателя для вращения вперед. Если есть импульсы с выхода удлинителя, двигатель вращается.
При обратной ситуации с длительностями импульсов, что соответствует движению назад, положительные разностные импульсы появятся на выводе
11 DD2, и RS-триггер установится в нулевое состояние. Единичный уровень с инверсного выхода откроет транзистор VT1, реле сработает, переключив выводы двигателя на вращение в обратную сторону. Поскольку модель движется в обратном направлении значительно меньшее время, чем вперед, расход энергии на удержание реле в сработанном состоянии при данной логике работы минимизируется. Для еще большей экономии релейный каскад можно сделать по схеме, изображенной на рис. 7.1,
б.
Напряжение питания
Uп можно выбирать в пределах 7—27 В, в зависимости от используемого двигателя. Под выбранное напряжение и ток нагрузки необходимо подбирать и реле К1. Если верхний вывод этого реле переключить на левый вывод стабилизатора напряжения DA2, то можно установить реле с напряжением срабатывания 3–5 В при любых значениях
Uп. Подойдет, например реле РЭС9 с паспортом РС4.524.214П2. Коммутируемый контактами ток не должен превышать 3 А. Еще удобнее использовать импортные реле серии BT-S.
Они достаточно малогабаритны, и их надежность измеряется сотнями тысяч срабатываний. При унифицированном исполнении их выпускают на напряжение срабатывания 3, 5, 6, 9, 12, 24, 48 В. Основные характеристики таких реле приведены в
приложении 1.
Вместо транзисторов VT2, VT3 можно установить один составной типа КТ829 при токе через двигатель не более 8 А, однако у него сопротивление насыщения практически в десять раз больше, чем у рекомендованного в схеме.
Детали и конструкция
Печатная плата изображена на рис. 7.24.
Для реле на плате зарезервировано только место, поскольку конкретный тип его будет зависеть от выбора напряжения питания и ходового двигателя.
Рис. 7.24. Печатная плата
Настройка
Настройка сводится к установке длительности опорных импульсов и требуемого коэффициента удлинения. После проверки правильности монтажа к плате подключается питание, и контролируются наличие и величина стабилизированного напряжения на выходе DA2.
На место резистора R2 временно впаивается с помощью коротких проводников последовательно соединенные резистор номиналом 33 кОм и любого типа потенциометр — 100–150 кОм. На вход схемы необходимо подать прямоугольные импульсы амплитудой 4–5 В и длительностью 2 мс, следующие с периодом повторения 20 мс.
По экрану осциллографа, подключенного к выводу
1 DD1, потенциометром устанавливается длительность положительных импульсов, равная 1,5 мс. Отключив временную цепочку от схемы, измеряют ее сопротивление, и на плату устанавливается ближайший по номиналу постоянный резистор.
Отрицательный разностный импульс на выводе
4 DD2 в этом случае будет иметь длительность 0,5 мс. Переключив осциллограф на вывод
7 компаратора DA1, потенциометром R8 устанавливают длительность наблюдаемых положительных импульсов равной 18–19 мс.
Если при переходе ручки управления через нейтральное положение наблюдается задержка в смене направления вращения двигателя, необходимо подобрать емкость конденсатора С5 в сторону уменьшения.
7.2.9. Девятый вариант регулятора хода
Принципиальная схема
На рис. 7.25 изображена схема регулятора хода с релейным реверсом и цифровым удлинителем разностных импульсов. Силовая часть полностью аналогична предыдущему варианту, удлинитель импульсов такой же, как в варианте 7, только на его входе отсутствует инвертор, поскольку разностные импульсы на выводе
3 DD2 уже положительной полярности.
Рис. 7.25.
Регулятор хода. Вариант № 9
Детали и конструкция
Ждущий мультивибратор и временной дискриминатор реализованы на микросхеме DD1 и элементах DD2.1 и DD2.2. RS-триггер, управляющий электромеханическим реле, собран на элементах DD2.3 и DD2.4. Печатная плата изображена на рис. 7.26. На плате устанавливаются две перемычки — П1 и П2.
Рис. 7.26. Печатная плата
Настройка
Настройка традиционная. Длительность опорного импульса устанавливается равной 1,5 мс с помощью временно подпаянной цепочки R4, R5. Затем на плату впаивается эквивалентный постоянный резистор (R4 на рис. 7.26). Частота работы генераторов DD3.1 и DD3.2 устанавливается по технологии, описанной в разделе 7.2.7, после чего на плату впаиваются постоянные резисторы R7 R9, подобранные только что упомянутым способом.
При напряжении питания 15–24 В можно рекомендовать реле типа РЭС9 с паспортом РС4.524.200П2.
7.2.10. Десятый вариант регулятора хода
Принципиальная схема
Компактный регулятор хода можно собрать по схеме, представленной на рис. 7.27. Подробное описание находится в [18].
Элементы DD1.1 и DD2.1 здесь образуют ждущий мультивибратор и временной различитель, a DD1.2 — устройство определения направления вращения двигателя. При условии, что длительность канального импульса больше опорного, высокий потенциал формируется на вывод
13 DD1, в противном случае — на вывод
12.
Разностные импульсы с вывода
3 DD2 поступают на удлинитель, реализованный на элементах VD1, R4, R5, R6, R7 и DD2.2. Через буферные элементы DD2.3, DD2.4 удлиненные импульсы управляют электронным ключом VT2. Длительность опорных импульсов устанавливается потенциометром R1, а коэффициент удлинения — потенциометром R7.Технология настройки неоднократно излагалась выше.
Рис. 7.27.
Регулятор хода. Вариант № 10
Детали и конструкция
Печатная плата этого варианта приведена на рис. 7.28. Диод VD2 на плате отсутствует, поскольку для маломощных реле можно обойтись и без демпфирования.
Рис. 7.28. Печатная плата
7.3. Рулевые машинки
7.3.1. Первый вариант рулевой машинки
Основные положения
Как отмечалось ранее, рулевые машинки отличаются от регуляторов хода меньшей мощностью используемых двигателей и наличием механической обратной связи между двигателем и потенциометром, определяющим длительность опорных импульсов. Кроме того, часто целесообразно коэффициент удлинения разностных импульсов делать больше 40.
В связи с этим схемотехника рулевых машинок во многом сходна со схемотехникой регуляторов хода. Один из возможных вариантов механической обратной связи между рулевым устройством и потенциометром, определяющим длительность опорных импульсов, будет рассмотрен в
главе 8.
Рассматриваемые далее сервоусилители работают по единому принципу и отличаются только схемотехникой решения отдельных функциональных узлов. Описание работы таких узлов и порядок их настройки для исключения дублирования приводятся ниже для какого-нибудь одного варианта и распределены по разделам. Поэтому при реализации конкретного варианта целесообразно внимательно прочитать всю главу.
Принципиальная схема
Принципиальная схема первого варианта (рис. 7.29) мало чем отличается от схемы регулятора хода, изображенной на рис. 7.6.
Рис. 7.29. Схема сервоусилителя рулевой машинки. Вариант № 1
Полностью аналогичен и принцип действия, за одним исключением: в процессе отработки двигателя, по мере поворота рулевого устройства, меняется длительность опорных импульсов до обращения в нуль длительности разностного импульса.
Для обеспечения угла поворота рулевого устройства в требуемых пределах последовательно с потенциометром R1, который теперь имеет величину 4,7 кОм, включены два постоянных резистора, точное значение которых подбирается при регулировке. Выходные транзисторы мостового каскада заменены на менее мощные. Напряжение питания должно быть 7–9 В.
Печатная плата используется такая же, как та, что изображена на рис. 7.8. Потенциометр R1 теперь устанавливается в рулевом устройстве и с платой соединяется тремя проводниками. Дополнительные резисторы R1' и R1" припаиваются непосредственно к выводам R1. Этот потенциометр должен иметь высокую износостойкость и малое трение оси во втулке. Наиболее подходящими являются резисторы типа СП3-4, СП4-1 (25000 циклов) или РП1-46д (100000 циклов). Настройка устройства аналогична рассмотренной в следующем разделе.
7.3.2. Второй вариант рулевой машинки
Принципиальная схема
В этом варианте удлинитель реализован на операционном усилителе DA2, что повлекло за собой необходимость замены микросхемы DD1 на другой тип. Принципиальная сема второго варианта приведена на рис. 7.30.
Рис. 7.30.
Сервоусилитель рулевой машинки. Вариант № 2
Канальный импульс положительной полярности подается на один из входов временного дискриминатора, собранного на элементах DD1.3, DD1.4, и на вход инвертора DD1.2. Отрицательный импульс с вывода
10 инвертора также подается на дискриминатор и на дифференцирующую цепь C3R3.
Короткий отрицательный импульс, соответствующий переднему фронту канального, через развязывающий диод VD1 запускает ждущий мультивибратор, в состав которого входят транзистор VT1, инвертор DD1.1 и времязадающий конденсатор С2. Принцип действия этого устройства описан в
разделе 7.2.1. Из-за замены микросхемы DD1 разностные импульсы на выходе временного дискриминатора теперь имеют отрицательную полярность.
Далее разностные импульсы необходимо подвергнуть удлинению. Рассмотрим эту процедуру для ситуации, когда
τк >
τ0. Удлинитель для этого случая реализован на интегрирующей цепи R7R8C6 и верхней части операционного усилителя DA2, работающего в режиме компаратора напряжений. В исходном состоянии конденсатор С6 заряжен до некоторого напряжения U
c (рис. 731,
б), которое прикладывается к инверсному входу ОУ.
Рис. 7.31. Графики работы удлинителя
Опорное напряжение на прямом входе (вывод
2) компаратора выбрано с помощью потенциометра R15 несколько ниже (
Uоп). В результате потенциал на выходе ОУ (вывод
10) практически равен нулю, транзистор VT2 заперт, заперты и управляемые им выходные транзисторы мостовой схемы VT4 и VT7. По аналогичной причине закрыта и другая пара выходных транзисторов. Напряжение питания на двигатель не поступает.
Отрицательный разностный импульс с выхода временного дискриминатора (рис. 7.31,
а) разряжает конденсатор С6 через резистор R8. Постоянная времени разряда выбрана таким образом, чтобы даже при максимальной величине Δ
τ разряд был практически линеен. В этом случае уменьшение напряжения на конденсаторе пропорционально величине передаваемой команды.
В момент пересечения уровня опорного напряжения, практически совпадающего с передним фронтом разностного импульса, на выходе компаратора устанавливается высокий потенциал (рис. 7.31,
в), что приводит к отпиранию транзисторов VT4, VT7. По окончании разностного импульса начинается медленный заряд конденсатора через большое сопротивление резисторов R7 и R8. В момент обратного пересечения порогового уровня напряжение на выходе компаратора возвращается к исходному значению, формируя удлиненный импульс (рис. 7.31,
в).
Удлиненные импульсы следуют с периодом повторения равным 20 мс, обеспечивая вращение исполнительного двигателя со скоростью, пропорциональной постоянной составляющей этих импульсов. Двигатель поворачивает рулевое устройство и ось потенциометра обратной связи R1 до обращения в нуль разностного импульса. При этом рулевое устройство занимает новое устойчивое положение, пропорциональное углу отклонения ручки управления в передатчике команд.
Стабилизатор напряжения DA1 обеспечивает стабильность временных процессов в одновибраторе и удлинителе импульсов. Конденсаторы С9, С10 снижают уровень помех от коллекторного узла двигателя и предотвращают перегрузки выходных транзисторов от ЭДС самоиндукции, возникающей в обмотке двигателя вследствие питания его импульсным напряжением.
Детали и конструкция
Печатная плата устройства приведена на рис. 7.32. На ней предусмотрены места для конденсаторов С0 и С26, отсутствующих на принципиальной схеме. Необходимость в них может возникнуть при использовании двигателей с сильно искрящим коллектором. Оба конденсатора по 0,1 мкФ. Выходные транзисторы устанавливаются вертикально и радиаторов для охлаждения не требуют.
Рис. 7.32. Печатная плата
Транзисторы КТ814 и КТ815 могут быть заменены КТ816 и КТ817 соответственно. Операционный усилитель К140УДЗ заменяем К140УД2 без ухудшения качества работы. Потенциометр обратной связи должен быть как можно более износоустойчивым. Наилучший тип из отечественных — РП1-46Д, имеющий гарантированную износостойкость 100000 циклов.
Можно обойтись и СПЗ-4М либо СП4-1, имеющими надежность 25000 циклов. Важной характеристикой потенциометра является также величина усилия, требуемого для поворота оси. Чем оно меньше, тем меньшей мощности можно использовать двигатель в рулевой машинке. Выше получается и точность отработки команд.
Времязадающие конденсаторы С2, С5 и С6 должны быть обязательно пленочными, например типа К73-17, остальные — любого типа. Постоянные резисторы — типа MЛT или С2 мощностью 0,125 Вт (R20 и R21 — 0,5 Вт).
Настройка
Для настройки устройства понадобится генератор импульсов положительной полярности амплитудой 2–3 В, длительность которых можно было бы менять в пределах 1–2 мс. Для этой цели можно воспользоваться формирователем команд самой аппаратуры управления.
Канальный импульс подают на вход устройства и контролируют наличие коротких импульсов с выхода дифференцирующей цепи на катоде диода VD1. Двигатель рулевого устройства временно отсоединяют от выходных транзисторов и, поворачивая шестерни редуктора, устанавливают рулевое устройство (например передние колеса автомобиля) в нейтральное положение.
Ось потенциометра R1, связанную с редуктором, устанавливают в среднее положение. Контролируя с помощью осциллографа импульс ждущего мультивибратора отрицательной полярности на выводе
3 элемента DD1.1, потенциометром R3 устанавливают ее равной 1,5 мс. Вручную вращая шестерни редуктора, устанавливают последовательно рулевое устройство в крайние положения (ось потенциометра должна быть жестко связана с редуктором). Длительность собственных импульсов мультивибратора должна изменяться на ±0,5 мс.
Если изменение длительности больше указанной величины, необходимо установить рулевое устройство в нейтральное положение и освободить ось потенциометра от механической связь с редуктором. Затем повернуть ее на небольшой угол в направлении, соответствующем перемещению движка потенциометра в сторону заземленного вывода (если диапазон меньше ±0,5 мс, то в обратном направлении). Потенциометром R3 вновь установить исходную длительность 1,5 мс. Закрепив ось потенциометра, заново проверяют изменения длительности в крайних положениях редуктора. Методом последовательных приближений необходимо добиться, чтобы и среднее значение импульса и его отклонения соответствовали стандартным.
Далее настраивается удлинитель импульсов. Подав на входкомандный импульс, соответствующий одному из крайних положений ручки управления (например 2 мс), убедиться, что на выводе
10 элемента DD1.3 присутствует отрицательный импульс длительностью 0,5 мс (рулевое устройство должно находиться в нейтральном положении). Подключить осциллограф к выводу
13 ОУ и убедиться в наличии на этом выходе удлиненного импульса положительной полярности. Если импульс отсутствует, вращением потенциометра R15 добиться его появления, а затем установить его длительность равной примерно 20 мс.
Подключить исполнительный двигатель и убедиться, что рулевое устройство отслеживает изменения положения ручки управления, расположенной в формирователе команд. Если двигатель отрабатывает в крайнее положение, необходимо поменять местами выводы двигателя. Изменяя в небольших пределах положение оси потенциометра R15 (регулируя, тем самым, коэффициент удлинения), необходимо установить максимальную скорость отработки рулевого устройства, при которой еще отсутствует колебательный процесс на подходе к положению равновесия.
Если рулевое устройство отрабатывает в сторону, противоположную отклонению ручки управления, то необходимо поменять местами как выводы двигателя, так и крайние выводы потенциометра R1. При этом может потребоваться переустановка исходного положения оси потенциометра по вышеоговоренной методике.
Следует отметить, что эффективность работы рулевого устройства существенно зависит от используемого двигателя.
Внимание! Нельзя применять двигатели от детских игрушек — такие двигатели имеют большой ток потребления, сильное трение в подшипниках, большую величину напряжения трогания, сильно искрят и т. п.
Приемлемые результаты получаются с двигателями от аудиоплейеров на 1,5–6 В. Наилучшие же двигатели для рулевых машинок — двигатели с полым ротором серии ДПР, обладающие малой инерционностью и небольшим напряжением трогания.
7.3.3. Третий вариант рулевой машинки
Принципиальная схема
Количество транзисторов в выходном каскаде можно уменьшить, собрав сервоусилитель по схеме, приведенной на рис. 7.33. Элементы C1, R5, R23 и С4, R6, R22 обеспечивают отрицательную обратную связь по скорости, что делает подход рулевого устройства к новому положению равновесия более плавным.
Рис. 7.33. Схема сервоусилителя рулевой машинки. Вариант № 3
Практика показала, что их можно и не устанавливать, если тщательно настроить удлинители импульсов.
Выходной каскад никакой настройки не требует, остальные узлы, а значит и их настройка, полностью совпадают с предыдущим вариантом.
Детали и конструкция
Печатная плата изменяется незначительно, поэтому читателю предлагается развести ее самостоятельно.
7.3.4. Четвертый вариант рулевой машинки
От транзисторов в выходном каскаде можно вовсе отказаться, если в распоряжении имеется специализированная микросхема ВА6218 либо BA6418N. Первая работает в диапазоне напряжений 5—18 В при максимальном токе нагрузки 0,7 А, вторая — в диапазоне 5—15 и токе до 0,5 А. Цоколевка микросхем полностью совпадает. Принципиальная схема сервоусилителя принимает вид, показанный на рис. 7.34, а печатная плата — на рис. 735. Принцип действия и порядок настройки можно найти в предыдущих разделах.
Рис. 7.34. Схема сервоусилителя рулевой машинки. Вариант № 4
Рис. 7.35.
Печатная плата
7.3.5. Пятый вариант рулевой машинки
Промышленность выпускает мощные сдвоенные операционные усилители КР1040УД2 (импортный аналог L2724) с допустимым током нагрузки до 1 А, что позволяет объединить функции удлинителя импульсов и выходного мостового каскада. Действительно, ведь выходы операционных усилителей выполняются по двухтактным схемам, образуя, фактически, половину моста. Схема принимает вид, изображенный на рис. 7.36. На рис. 7.37 приведена печатная плата.
Рис. 7.36. Схема сервоусилителя рулевой машинки. Вариант № 5
Рис. 7.37.
Печатная плата
7.3.6. Шестой вариант рулевой машинки
На рис. 7.38 изображена схема сервоусилителя, в которой транзисторы полностью отсутствуют. Ждущий мультивибратор выполнен на одном из триггеров микросхемы DD1. Длительность импульса, формируемого этим устройством, определяется величиной исходного напряжения на конденсаторе С2, которое изменяется при вращении оси потенциометра R2, связанного с рулевым устройством.
Рис. 7.38. Схема сервоусилителя рулевой машинки. Вариант № 6
Печатная плата приведена на рис. 7.39. Перед монтажом микросхемы DD2 на плату со стороны деталей необходимо установить перемычку П1.
Потенциометр R6 после установки требуемой длительности опорных импульсов при установке на плату заменяется постоянным резистором соответствующего номинала.
Рис. 7.39.
Печатная плата
Ждущий мультивибратор и
временной дискриминатор можно выполнить по схеме, изображенной на рис. 7.40. В качестве DA1 используется КР1006ВИ1 или ее импортный аналог. Выводу
10 DD1 подключается к диоду VD2, а вывод 11 — к диоду VD3. Понятно, что печатную плату придется скорректировать.
Рис. 7.40.
Вариант схемы ждущего мультивибратора
7.3.7. Седьмой вариант рулевой машинки
Принципиальная схема
Компактная рулевая машинка может получиться на основе схемы регулятора хода, опубликованной в [18]. Принципиальная схема соответствующего сервоусилителя изображена на рис. 7.41.
Ждущий мультивибратор и схема формирования разностных импульсов выполнены на элементах DD1.1—DD1.4. Далее следуют удлинители импульсов на элементах VD1, VD2, R4—R9, С3 и С4. Входы специализированной микросхемы управления двигателями DA1 имеют гистерезис, что очень удобно для реализации удлинителя.
Рис. 7.41.
Схема сервоусилителя рулевой машинки. Вариант 7
Детали и конструкция
Печатная плата регулятора хода приведена на рис. 7.42. Микросхема ТА7291Р рассчитана на подключение двигателей с максимальным током, не превышающим 1,2 А. Если нет необходимости в такой мощности, можно использовать микросхему меньших габаритов TA7291S с предельным током 0,4 А. Необходимо только учесть, что цоколевки ТА7291Р и TA7291S — различны. Конденсаторы C1, С3 и С4 являются времязадающими и должны быть обязательно пленочными (например К73-17).
Резистор R3 необходимо механически связать с рулевым устройством. Номиналы резисторов R1 и R3 подбираются таким образом, чтобы в среднем положении рулевого устройства длительность импульса ждущего мультивибратора составляла 1,5 мс, а в крайних положениях изменялась бы на ±0,5 мс.
Рис. 7.42.
Печатная плата
Настройка
Процедура настройки такая же, как и в варианте № 2. На плате предусмотрено место для конденсатора
Сбл. Необходимость его установки может возникнуть при использовании относительно мощного двигателя с искрящим коллектором. Признаком этого будет неравномерное, с подергиваниями, движение рулевого устройства. Емкость конденсатора может лежать в диапазоне 0,033—0,1 мкФ.
7.3.8. Восьмой вариант рулевой машинки
Основные положения
Ранее уже упоминалось о том, что в драйверах управления двигателями предусматривается режим эффективного торможения. Для перевода драйвера в этот режим необходимо на оба управляющих входа подавать высокий потенциал. Режим торможения очень полезен в рулевых машинках. Дело в том, что к их работе предъявляются противоречивые требования.
Во-первых, желательно иметь высокую скорость отработки сервопривода, для чего обычно увеличивают коэффициент удлинения импульсов. Во-вторых, подход к новому положению рулевой машинки должен быть плавным, что требует постепенного снижения напряжения, питающего двигатель в процессе отработки команды.
В противном случае возникает колебательный процесс в окрестностях нового положения равновесия. Традиционный способ решения этой задачи заключается в применении скоростной отрицательной обратной связи, как это сделано, например в схеме, изображенной на рис. 7.33.
В остальных вариантах, рассмотренных в книге, просто обеспечивается настройка «компромиссного» коэффициента удлинения разностных импульсов. Это означает, что напряжение питания двигателя в процессе отработки рулевой машинки выбирается таким, при котором колебательный процесс из-за инерционности ротора двигателя еще отсутствует. Но при этом и сама скорость отработки — не максимально возможная.
Принципиальная схема
Принципиальная схема сервопривода, в котором используется режим торможения, приведена на рис. 7.43. Ждущий мультивибратор реализован на элементе DD1.1. Длительность опорного импульса управляется потенциометром R2, механически связанным с редуктором двигателя рулевой машинки.
Рис. 7.43. Принципиальная схема сервоусилителя с использованием режима торможения
Роль временного дискриминатора играет элемент DD2.1. После буферного каскада DD2.2 на выводе
10 выделяются разностные положительные импульсы при любом соотношении длительностей опорного и канального импульсов, кроме ситуации, при которой эти длительности равны.
Элемент DD1.2 определяет знак разности. Если канальный импульс длиннее опорного, то высокий потенциал появляется на выводе
13, при обратной ситуации — на выводе
12. На микросхеме DD3 собран ждущий мультивибратор с перезапуском. Его длительность импульсов выбрана несколько большей, чем период повторения канальных импульсов.
Удлинитель в схеме отсутствует. Схема работает следующим образом. При равенстве длительностей канального и опорного импульсов, что соответствует какому-либо устойчивому положению рулевой машинки, разностные импульсы на входе ждущего мультивибратора DD3 отсутствуют. На его инверсном выходе (вывод
7) присутствует высокий потенциал, который через развязывающие диоды VD1 и VD2 приложен к обоим входам драйвера DA2. Состояние выходов триггера DD1.2 на работу драйвера при этом никак не влияет. Двигатель заторможен.
При поступлении команды на изменение положения рулевого устройства один из импульсов, поступающих на входы временного дискриминатора DD2.1, становится длиннее другого. Какой именно, зависит от направления отклонения рычага управления на пульте передатчика команд. Пусть, для определенности,
τк >
τоп. В этом случае: во-первых, появятся разностные положительные импульсы, поступающие на вход ждущего мультивибратора DD3. С поступлением первого из них мультивибратор начнет формировать собственный импульс. Потенциал на инверсном выходе (вывод
7 DD3) станет равным нулю. Поскольку длительность мультивибратора выбрана больше опорной, то каждый следующий разностный импульс будет его перезапускать, сохраняя низкий потенциал на инверсном выходе.
Во-вторых, появится высокий потенциал на выводе
13 триггера DD1.2. Через диод VD1 он будет воздействовать на вывод
1 драйвера DA2. На втором входе драйвера в это время потенциал нулевой, в чем легко убедиться. К двигателю прикладывается полное напряжение питания, и он вращает рулевое устройство с максимальной скоростью к новому положению равновесия.
Сопротивление потенциометра обратной связи R2 меняется таким образом, что длительность опорного импульса возрастает, уменьшая длительность разностного. Все это будет происходить до тех пор, пока рулевое устройство не займет новое устойчивое положении, и длительности импульсов сравняются.
Запускающие импульсы перестанут поступать на вход ждущего мультивибратора и спустя 21–22 мс на его инверсном выходе установится высокий потенциал, переведя драйвер в режим торможения. За столь небольшое время выходной вал редуктора рулевой машинки провернется на очень малый угол, и потенциометр R2 практически не изменит длительности опорного импульса.
Если команда имеет противоположное значение, то
τоп >
τк, и ситуация будет отличаться от описанной только тем, что высокий потенциал теперь появится на выводе
12 DD1.2, и двигатель будет вращаться в противоположном направлении.
Детали и конструкция
Печатная плата этого варианта сервоусилителя приведена на рис. 7.44. Отверстие под десятую ножку DA3 не высверливается.
Времязадающие конденсаторы С1 и С3 должны быть пленочными. Перезапускаемый мультивибратор можно реализовать на импортной микросхеме CD4047, включив ее по типовой схеме. Печатная плата при этом, очевидно, измениться. Поскольку режим торможения существует практически во всех микросхемах управления двигателями постоянного тока, на месте DA2 можно использовать любой драйвер с учетом его стандартной схемы включения и соответствующей переделкой печатной платы.
В справочнике [17] можно отыскать достаточное количество и полных аналогов используемой микросхемы, что позволит использовать предлагаемую печатную плату без переделки.
Рис. 7.44. Печатная плата
Настройка
В процессе настройки подбором положения корпуса потенциометра R2 и величины резистора R1 устанавливают требуемую исходную длительность опорного импульса и диапазон ее перестройки так, как это описано в
разделе 7.3.2. Затем подбором величины R3 необходимо установить длительность отрицательных импульсов ждущего мультивибратора на выводе
7 DD3 равной 21–22 мс. Для этой цели временно отключают двигатель от микросхемы драйвера, а на вход устройства подают канальные импульсы при соотношении
τоп не равно
τк.
Подключив двигатель, проверяют работу схемы в целом. Если наблюдается колебательный процесс при переходе к новому положению равновесия, необходимо добиться его устранения подключая со стороны печатных проводников между выводом
4 DD3 и корпусом конденсатор, емкость которого подбирается опытным путем в диапазоне 1000—15000 пФ. Этот конденсатор должен подавлять короткие импульсы на выходе временного различителя, которые могут появляться вследствие того, что двигатель останавливается не мгновенно.
7.3.9. Девятый вариант рулевой машинки
Принципиальная схема
Если удастся приобрести специализированную микросхему M51660L, то сервоусилитель можно собрать по ее стандартной схеме включения, изображенной на рис. 7.45. На вход необходимо подавать канальные импульсы положительной полярности и амплитудой 4–5 В. Напряжение питания микросхемы 4,8–7 В. Максимальный ток, отдаваемый в нагрузку, не должен превышать 0,8 А.
Рис. 7.45.
Сервоусилитель на специализированной микросхеме
Детали и конструкция
Печатная плата руленой машинки приведена на рис. 7.46. Транзисторы VT1, VT2 можно заменить ВС327, отечественными КТ814 или любыми другими, с максимальным током коллектора, превышающим ток, потребляемый двигателем.
Основные характеристики двигателей, которые можно использовать в рулевых машинках и регуляторах хода, приведены в
приложении 2.
Рис. 7.46. Печатная плата
Глава 8
МОДЕЛЬ АВТОМОБИЛЯ С ПРОПОРЦИОНАЛЬНЫМ УПРАВЛЕНИЕМ
Специально для данной книги автор разработал радиоуправляемую модель автомобиля. Следуя материалам главы, читатель сможет собрать оригинальную конструкцию, не требующую больших материальных затрат и специальных навыков.
8.1. Компоновка модели и схемы
Любую модель, в том числе и автомобиля, можно изготовить, что называется, «с нуля». Однако такой процесс требует от исполнителя определенных навыков, да и необходимый инструмент не всегда может оказаться под руками. Ниже рассматривается вариант изготовления модели, в процессе выполнения слесарно-механических работ над которой потребуется лишь паяльник, напильник, лобзик и дрель.
Все основные элементы, составляющие узлы регулятора хода и рулевой машинки, будут изготавливаться из готовых «полуфабрикатов». Прежде всего, сам автомобиль: очень удобно взять за основу готовую игрушку отечественного или китайского производства, благо в продаже имеется несметное количество моделей.
Желательно выбирать машинку с инерционным двигателем, в этом случае проблема с редуктором привода заднего моста существенно упрощается. Модель выбираемого автомобиля полностью зависит от вкуса конструктора, а вот его размеры должны обеспечить возможность установки на игрушке достаточно емкого аккумулятора.
В нашем случае выберем необслуживаемый герметичный свинцовый аккумулятор китайского производства типа LEOCH DJW12-1,3, напряжением 12 В и емкостью 1,3 А/ч. Такой аккумулятор обеспечит непрерывную работу модели в течение 1,5–2 часов. Срок службы аккумулятора 5 лет. Габаритные размеры 97x43x53 мм, вес — 0,6 кг. Внешний вид приведен на рис. 8.1. Аккумулятор имеет достаточно высокие характеристики и приемлемую стоимость.
Рис. 8.1. Аккумулятор
Далее для примера рассмотрим модификацию автомобиля, представленного на рис. 8.2. Габаритные размеры модели 280x105x105 мм.
Рис. 8.2. Внешний вид модели
Доработке подлежит только шасси модели, исходный вид которого приведен на рис. 8.3. Переднюю подвеску необходимо переделать полностью, а вот задний мост нуждается лишь в замене маховика инерционного двигателя на электродвигатель. В первую очередь шасси нужно укрепить. Для этого из фольгированного стеклотекстолита толщиной 1,5 мм лобзиком выпиливается пластина по контуру днища автомобиля.
Рис. 8.3. Днище модели до переделки
Процесс будет идти быстрее, если пользоваться пилочками по дереву, а не по металлу, но хорошего качества. Ребра жесткости, имеющиеся на днище, аккуратно, чтобы не допустить образования трещин, срезаются ножом. Размеры пластины здесь не приводятся, так как ее конфигурация полностью определяется выбранной моделью. Результат усовершенствования днища показан на рис. 8.4. В носовой части видны вырезы под передние колеса, а также кронштейн (две втулки № 1) для крепления передней подвески. Подробнее об этой конструкции будет рассказано в
разделе 8.3.
Рис. 8.4. Результат модернизации днища
Далее необходимо выбрать основной двигатель, который будет приводить модель в движение. Для определения требуемой мощности двигателя можно воспользоваться формулой, приведенной в [19]:
N =
F∙
V/100∙
η,
где
N — мощность двигателя (Вт);
F — сила сопротивления движению (Н);
V — скорость движения модели (см/с);
η — КПД редуктора.
Силу сопротивления вычисляют по формуле
F = 9,8∙
Р∙
k.
Здесь
Р — вес модели в кг,
k — коэффициент сопротивления.
Последняя величина зависит от типа дороги. Для гладкой поверхности (стол, пол) коэффициент можно взять равным 0,04, а для неровной (земля, глина) — 0,1 [19]. Взвесив модель вместе с аккумулятором и добавив ориентировочный вес двигателя и плат с электроникой, получаем
F примерно 10 Н.
Редуктор модели будет использован от инерционного двигателя, в котором применены пластмассовые шестерни с малым коэффициентом трения. Его КПД можно принять равным 0,7–0,8.
Скорость можно задать любую, но обычно выбирают такую, при которой модель за одну секунду проходит 0,5–1,5 своей длины. При длине выбранной модели 30 см для движения по грунту получаем минимальную требуемую мощность двигателя
V = 0,4 Вт.
Эта величина совместно с выбранным напряжением источника питания (12 В) и кладется в основу выбора двигателя. Во всяком случае,
не рекомендуется использовать простейшие двигатели от игрушек. У них слишком мал КПД и очень несовершенен коллектор, являющийся мощным источником помех для борговой аппаратуры.
Подойдут двигатели от лентопротяжных механизмов кассетных магнитофонов, они обычно имеют мощность 0,5–1,1 Вт и напряжение питания 9—12 В. Очень хорош двигатель заправки кассеты от видеомагнитофонов. Его легко можно приобрести в магазинах по продаже запчастей к бытовой электронике, причем встречаются как отечественные, так и импортные варианты исполнения.
На нем в рассматриваемом примере и остановимся. Еще лучше двигатели серий ДПМ и ДПР, но они значительно дороже. Основные характеристики последних двух типов приведены в
приложении 2. Если все-таки удалось раздобыть такой двигатель но он оказался рассчитан на напряжение 27 В, можно изготовить достаточно компактный преобразователь напряжения по схеме приведенной в
разделе 9.1. Внешний вид указанных двигателя приведен на рис. 8.5.
Рис. 8.5.
Варианты двигателей для модели
Лучшим двигателем для рулевой машинки является представитель малоинерционной серии ДПР, рассчитанный на напряжение 12 В, поскольку его можно запитывать непосредственно от аккумуляторной батарей. Однако совсем неплохо работают и малогабаритные моторчики от аудиоплееров. Они достаточно дешевы и распространены, напряжение питания колеблется в пределах 1,5–6 В.
При выбранном аккумуляторе лучше использовать двигатели на 6 В, так как в этом случае потери на понижающем стабилизаторе напряжения будут меньше. В модели используется именно такой двигатель (изображен на рис. 8.5 последним справа).
Для выбранного ходового двигателя номинальный ток равен 120 мА, а стартовое значение не превышает 0,8 А. В качестве регулятора хода применим вариант № 3, как удовлетворяющий этим требованиям и обеспечивающий минимальные потери энергии на ключевых транзисторах мостового каскада. Сам каскад реализуем на транзисторных сборках IRF7105.
Двигатель рулевой машинки потребляет максимум 0,4 А, поэтому можно использовать любую схему сервоусилителя, например вариант № 7.
Установим на модели супергетеродинный приемник с дешифратором, выполненный по схеме, изображенной рис. 5.70.
Поскольку в процессе управления модель автомобиля все время находится в поле зрения оператора, то дальность действия аппаратуры не должна быть особенно большой. Вполне достаточно передатчика мощностью не более 10 мВт. Как говорилось выше, построение такого передатчика не требует получения разрешения в инспекции электросвязи. Остановимся на варианте, схема которого приведена на рис. 3.35. Совместно с передатчиком будет использоваться шифратор, изображенный на рис. 2.49.
8.2. Конструкция заднего моста
Для переделки инерционного двигателя его необходимо отсоединить от днища автомобиля, открутив два винта-самореза. Корпус состоит из трех стенок: двух внешних и одной внутренней (рис. 8.6). Подшипники шестерен редуктора крепятся к средней и правой (по рисунку) внешней стенке. Далее редуктор разбирается, для чего достаточно открутить два самореза на его корпусе.
После этой операции, отодвинув левую стенку, извлекают маховик инерционного двигателя. На оси маховика закреплена внатяг пластмассовая ведущая шестерня. Она достаточно легко снимается с маховика и надевается на ось ходового двигателя. Диаметры осей маховика и двигателя совпадают, поэтому никаких дополнительных мер по закреплению шестерни на валу двигателя не требуется. В левой стенке лобзиком выпиливается отверстие по диаметру корпуса двигателя.
Рис. 8.6. Задний мост до переделки
Для удобства проведения этой манипуляции стенку можно снять с оси, предварительно сняв левое колесо. Колесо напрессовано на рифленый конец оси, поэтому снимать его нужно без вращения. В противном случае отверстие в пластмассовой ступице увеличится в диаметре, и при возвращении колеса на место не будет обеспечено его жесткое крепление на оси.
В торце двигателя со стороны оси имеются два крепежных отверстия с резьбой М3, расположенные на расстоянии 17 мм друг от друга. В средней стенке редуктора необходимо просверлить два ответных отверстия и закрепить двигатель двумя винтами М3. Винты должны быть достаточно короткими, чтобы, углубившись в корпус двигателя, не мешали вращению его ротора. Левая стенка редуктора привинчивается на место. Переделанный редуктор заднего моста изображен на рис. 8.7.
Габариты двигателя таковы, что приходится удалять левую лапку крепления на корпусе редуктора, но достаточная жесткость фиксации сохраняется и с одной лапкой. При желании, можно применить дополнительный крепежный уголок, поместив его на торцевой стенке редуктора. Далее собранный узел устанавливается на свое место.
Рис. 8.7. Задний мост после переделки
8.3. Механизм поворота передних колес
Для изготовления передней подвески понадобится односторонний фольгированный стеклотекстолит, два потенциометра типа СПЗ-4, шкив диаметром 14–18 мм, винт с резьбой М3 длиной не менее 50 мм, двигатель от плеера (желательно с уже посаженным на вал шкивом), две клеммные колодки с соединительными втулками двух типоразмеров. Втулки у одной должны иметь внутренний диаметр 4 мм, а у другой — 2,7 мм.
Поскольку на этих изделиях никакой маркировки автор не обнаружил, то чтобы было понятно, о чем идет речь, их фотографии приведены на рис. 8.8. Там же изображен шкив от лентопротяжного механизма аудиоплейера, который можно приобрести в отделах запчастей для бытовой радиоаппаратуры. Для определенности в дальнейшем втулку меньшего размера будем называть втулка № 1, а большего — втулка № 2.
Рис. 8.8. Покупные комплектующие передней подвески
При жестком креплении всех четырех колес к модели не обеспечивается их постоянное сцепление с дорогой, если последняя не представляет собой идеальную плоскость. В результате радиус поворота модели увеличивается из-за проскальзывания передних колес. В реальных автомобилях для исключения этого недостатка применяется свободная подвеска каждого из передних колес. В модели можно поступить проще, переднюю подвеску сделаем качающейся в поперечном направлении, при жестком креплении полуосей колес к самой подвеске.
Далее будет излагаться только «идеология» изготовления передней подвески без указания конкретных размеров отдельных элементов, поскольку эти размеры зависят от выбранной модели автомобиля.
Прежде всего, из стеклотекстолита выпиливаются две панели, которые будут служить основанием подвески. Нижняя панель изображена на рис. 8.9.
Рис. 8.9. Нижняя панель
Две втулки № 1 припаиваются вдоль оси симметрии панели. Предварительно отверстия в них рассверливаются до диаметра 3 мм. Расстояние между втулками должно быть равно удвоенной длине втулки. Такие же отверстия должны быть во втулках кронштейна, припаянного к днищу в носовой части (рис. 8.4). После сборки передней подвески втулки нижней панели совмещаются с втулками кронштейна и пронизываются стержнем диаметром 3 мм. С помощью пайки один из концов стержня фиксируется. Закрепленная таким образом передняя подвеска должна свободно качаться на кронштейне в поперечном направлении.
Весь механизм поворота передних колес монтируется на верхней панели. На рис. 8.10 приведен ее вид сверху. Три отверстия по краям предназначены для крепления к нижней панели (для точного совпадения высверливаются через отверстия этой панели, при ее наложении на верхнюю перед монтажом остальных деталей).
Рис. 8.10. Верхняя панель в сборе, вид сверху
Слева и справа в панели высверливают отверстия диаметром 6 мм. В них закрепляются два потенциометра типа СПЗ-4. У одного из них (правого на рис. 8.10) предварительно снимается защитный колпачок и удаляется все содержимое, кроме оси. К оси припаивается поволок, выпиленный из стеклотекстолита с прорезью для ведущего штифта.
Ширина прорези должна как можно точнее равняться диаметру штифта для уменьшения люфта, который неизбежно возникнет в механизме. В то же время штифт должен достаточно легко скользить в прорези, не создавая излишних потерь на трение. На штифт надета и припаяна пластина-фиксатор, призванная обеспечить вертикальное позиционирование штифта при движении по прорези.
Двигатель со шкивом на оси припаивается в двух-трех точках к текстолитовой рамке, которая винтом М3 крепится к верхней пластине подвески. Отверстие в этой пластине под винт делается продолговатым (на рисунке не видно) для того, чтобы можно было регулировать натяжение пассика, соединяющего шкив двигателя со шкивом червячной передачи.
Потенциометры СПЗ-4 бывают с алюминиевой втулкой и с латунной. Последние предпочтительнее, так как стальная ось лучше скользит по латуни, чем по алюминию. Желательно подобрать пару с как можно меньшим трением. Еще лучше использовать импортные аналоги. Ось у последних вращается очень легко, несмотря на то, что втулки силуминовые.
В правом нижнем углу панели видны винты крепления подшипника червячной передачи, расположенного с противоположной стороны панели. Вид этой стороны изображен на рис. 8.11.
Рис. 8. 11. Верхняя панель, вид снизу
Червячная передача состоит из винта с резьбой М3. Резьба нарезана на длине 45 мм; часть стержня длиной 13–15 мм, оставлена без резьбы. На винт до упора накручивается гайка, затем надевается пластмассовый шкив диаметром 14–18 мм, который фиксируется еще одной гайкой.
В качестве подшипника используется втулка № 1, отверстие в которой рассверливается до 3 мм. Втулка припаивается к текстолитовой пластине, в которой просверлены два отверстия для крепления подшипника к верхней пластине передней подвески. В подшипник вставляется хвостовик винта червячной передачи, на котором резьба отсутствует. Затем прокладывается шайба и припаивается стопор. Стопор представляет собой гайку М3, в которой резьбовое отверстие рассверлено до диаметра 3 мм. Стопор необходимо припаять таким образом, чтобы при отсутствии люфта винт еще легко вращался в подшипнике.
Штифт диаметром 2–3 мм впаивается в отверстие прямоугольной пластины размером 8x16 мм и пропускается через прорези верхней панели подвески и поводка (рис. 8.10). Подшипник вместе с винтом червячной передачи прикручивается к верхней панели. На винт накручивается втулка № 1, в отверстии которой предварительно нарезана резьба М3. Втулка припаивается к прямоугольной пластине со штифтом.
Перед установкой подшипника на шкив червячной передачи необходимо надеть резиновый пассик подходящего диаметра. Такие пассики различных типоразмеров из комплектов аудиоплееров имеются в магазинах запасных частей для бытовой техники. На этом сборку механизма поворота передних колес можно считать законченной.
Ось с передними колесами, снятую с модели, необходимо распилить на две части. Основой подвески каждого из передних колес служат втулки № 2. Одно из резьбовых отверстий, имеющихся во втулке, рассверливается до 3 мм и выполняется сквозным. В него со стороны полукруглой поверхности вставляется полуось с предварительно надетой шайбой. Затем надевается еще две шайбы; внешняя припаивается к полуоси. Выступающая часть полуоси отпиливается. К противоположному торцу втулки припаивается рычаг трапеции, в котором просверлено отверстие диаметром 4 мм. Чтобы отверстия в рычаге и во втулке совпадали, пайку нужно вести, вставив во втулку стержень диаметром 4 мм.
Далее втулка надевается на ось ранее закрепленного на панели потенциометра и фиксируется винтом М3 через второе резьбовое отверстие втулки. Аналогично монтируется второе колесо. Рычаги трапеции соединяются коромыслом, для чего на концах рычагов и коромысла сверлятся отверстия диаметром 0,8–1 мм. В эти отверстия вставляются гвоздики подходящего диаметра. Гвоздик со стороны, противоположной шляпке, припаивается к коромыслу.
На рис. 8.12 изображен общий вид передней подвески.
Рисунок дает более наглядную картину сборки подвески передних колес. Верхняя и нижняя панели соединяются в трех точках через распорные стойки винтами М2,5 длиной 20 мм. В качестве стоек используются три втулки № 1.
Рис. 8.12. Передняя подвеска в сборе
Полностью смонтированное шасси автомобиля показано на рис. 8.13. Печатная плата регулятора хода крепиться позади редуктора на двух стойках, в качестве которых используются втулки № 2. Аккумулятор фиксируется к днищу автомобиля с помощью
n-образного хомута. Печатные платы приемника и сервоусилителя рулевой машинки привинчиваются вертикально по обеим сторонам от аккумулятора к стойкам, функции которых выполняют все те же втулки № 2. Перечисленные элементы на рисунке не показаны. На верхней панели передней подвески достаточно свободного места, и ее можно использовать в качестве печатной платы сервоусилителя рулевой машинки примерно так, как это показано на следующем рисунке.
Рис. 8. 13. Общий вид шасси автомобиля
Если предполагается запускать модель на ровной поверхности, то переднюю подвеску можно не делать «плавающей», что несколько упростит конструкцию. В этом случае целесообразно элементы подвески и всю электронику разместить на одной плате, как это показано на рис. 8.14. Здесь изображено шасси другой модели автомобиля с иными вариантами приемника, регулятора хода и сервоусилителя рулевой машинки.
Рис. 8.14. Вариант модернизации шасси
Общий вид платы выбранного варианта передатчика с шифратором приведен на рис. 8.15.
В простейшем случае потенциометры, задающие длительности командных импульсов, располагают непосредственно на плате так, как это показано на рисунке. Ручки управления закрепляются на осях потенциометров с помощью втулки № 1, распиленной пополам.
Корпус для пульта управления можно подобрать готовый или спаять его из панелей, вырезанных из фольгированного стеклотекстолита. Панели собираются фольгой вовнутрь и пропаиваются по швам. Снаружи корпус покрывается самоклеящейся пленкой.
Процедура настройки всех составных частей бортовой аппаратуры и передатчика описана ранее и здесь не приводится.
Рис. 8.15.
Передатчик с шифратором
Автор предлагает несколько полезных конструкций:
♦ преобразователь напряжения позволит расширить номенклатуру применяемых электродвигателей;
♦ индикатор напряженности поля и измеритель мощности помогут при настройке передатчиков
♦ зарядное устройство — поможет продлить срок службы аккумуляторов.
Уже отмечалось преимущество применения в моделях двигателей серий ДПМ и ДПР. Практика показывает, что достаточно сложно приобрести такие двигатели, рассчитанные на напряжение питания шесть или двенадцать вольт. Значительно чаще встречаются экземпляры, работающие от 27 В. Такие двигатели имеют и свои преимущества.
Повышенное напряжение питания при той же мощности означает уменьшение потребляемого тока, что снижает требования к транзисторам выходных каскадов сервоприводов рулевых машинок и регуляторов хода. Кроме того, повышается КПД узлов управления двигателями, что экономит ограниченные энергетические ресурсы, имеющиеся на борту модели.
Схема, приведенная на рис. 9.1, представляет так называемый
обратноходовый преобразователь с широтно-импульсной стабилизацией выходного напряжения.
Рис. 9.1. Принципиальная схема
При входном напряжении 4,5—12 В стабилизированное выходное напряжение может быть установлено любым в пределах 18–27 В, изменяясь не более чем на 0,1 В при увеличении тока нагрузки от 1 до 500 мА. КПД преобразователя с полной нагрузкой — 85 %.
На элементах DD1.1 и DD1.2 собран задающий генератор, вырабатывающий прямоугольные импульсы. На входы
8, 9 элемента DD1.3 они поступают дифференцированными цепью C2R2R3, причем номиналы резисторов выбраны с таким расчетом, что постоянная составляющая напряжения в точке их соединения несколько превышает пороговый уровень
Uп, при котором элемент DD1.3 изменяет свое состояние.
Отрицательные выбросы, пересекая порог, формируют на выходе элемента DD1.3 (вывод
10) короткие положительные импульсы. Последние заряжают конденсатор С5 через малое прямое сопротивление участка «база-эмиттер» транзистора VT2.
По окончании импульса левая (по схеме) обкладка конденсатора С5 оказывается соединенной с общим проводом, а напряжение, до которого зарядился конденсатор, — приложенным к базе транзистора VT2 в отрицательной полярности, запирая его. Далее начинается перезарядка конденсатора С5 коллекторным током транзистора VT1.
Скорость этого процесса зависит от напряжения на базе VT1. Транзистор VT2 остается запертым, пока напряжение на его базе не достигнет приблизительно 0,8 В.
В результате на коллекторе VT2 и входах
12, 13 элемента DD1.4 формируются положительные импульсы, длительность которых зависит от режима работы транзистора VT1. Дважды инвертированные элементом DD1.4 и транзистором VT3 импульсы открывают силовой ключ — полевой транзистор VT4. Эпюры напряжения в упомянутых выше точках устройства приведены на рис. 9.2.
Рис. 9.2.
Напряжения в характерных точках
При открытом транзисторе VT4 ток в катушке индуктивности L1 нарастает по линейному закону. После запирания транзистора этот ток не прерывается и продолжает течь, спадая через диод VD1 и заряжая накопительный конденсатор С8. Установившееся напряжение на конденсаторе превышает напряжение питания во столько раз, во сколько время накопления энергии в магнитном поле катушки L1 (длительность положительных импульсов на затворе транзистора VT4, см. рис. 9.2) превышает время ее передачи в конденсатор С8 (длительность отрицательных импульсов там же).
Часть выходного напряжения с движка переменного резистора R14 подается на инвертирующий вход усилителя постоянного тока на ОУ DA2. На его неинвертирующий вход подано образцовое напряжение с резистивного делителя R4R5. Выходное напряжение ОУ, пропорциональное разности образцового и выходного (с учетом делителя R13R14) напряжения, поступает на базу транзистора VT1 и управляет длительностью импульсов, отпирающих транзистор VT4. Таким образом, образуется замкнутая цепь автоматического регулирования.
Если выходное напряжение снизилось (например в результате увеличения тока нагрузки), напряжение на инвертирующем входе ОУ уменьшится, а на его выходе — увеличится. В результате уменьшится эмиттерный ток транзистора VT1, протекающий через резистор R8, а это приведет к уменьшению и коллекторного тока транзистора. Конденсатор С5 будет перезаряжаться медленнее. Длительность открытого состояния транзистора VT4 возрастет, выходное напряжение преобразователя увеличится.
Напряжение питания основных узлов преобразователя стабилизировано интегральным стабилизатором DA1.
Устройство собрано на односторонней печатной плате размерами 70x55 мм, показанной на рис. 9.3. Подстроечный резистор R14 — СП3-38Б или РП1-63М. Остальные пассивные элементы — любого типа, подходящие по параметрам и габаритам.
Рис. 9.3.
Печатная плата преобразователя
В качестве микросхемы DD1 кроме K561ЛA7 можно использовать K561TЛ1, прочие микросхемы серии К561 при напряжении питания 3 В работают неустойчиво. По той же причине не следует заменять микросхему К140УД608 (DA2) другими ОУ. Транзисторы VT2, VT3 могут быть любыми серий КТ315 или КТ3102, a VT1 — серий КТ361, КТ3107.
КПД преобразователя заметно падает с увеличением падений напряжения на диоде VD1 и на открытом транзисторе VT4. Последнее пропорционально приводимому в справочниках сопротивлению канала открытого транзистора. Поэтому, подбирая замены указанным транзистору и диоду, следует обращать особенное внимание на эти параметры. Напряжение отсечки полевого транзистора должно быть не более 4 В.
Амплитудное значение коммутируемого им тока в рассматриваемом случае значительно больше тока нагрузки, поэтому транзистор следует выбирать с допустимым током стока не менее 6 А. Если под нагрузкой транзистор VT4 заметно нагревается, его необходимо снабдить теплоотводом, место для которого на плате предусмотрено. Диод VD1 должен быть рассчитан на прямой ток не менее 10 А. Использованный в схеме КД2998В можно заменить на КД213А.
Катушка L1 индуктивностью 18–20 мкГн должна иметь малый магнитный поток рассеивания, поэтому для нее выбран броневой магнитопровод Б-26 из феррита М1500НМ. Обмотку из 5 витков жесткого изолированного провода диаметром 1,5–2 мм наматывают на оправке подходящего диаметра, сняв с оправки, защищают слоем изоляционной ленты и помещают в магнитопровод. Между его чашками необходим немагнитный зазор 0,2 мм.
Изоляционную прокладку соответствующей толщины укладывают между центральными кернами чашек. Это предотвращает их поломку при стягивании магнитопровода винтом. К плате катушку L1 крепят лежащей на боку, что позволяет немного уменьшить площадь платы. Выводы обмотки вставляют в соответствующие отверстия и припаивают к контактным площадкам.
Конденсаторы С7 и С9 показаны на схеме (см. рис. 9.1) и чертеже платы (см. рис. 9.3) штриховыми линиями. Обычно в них нет необходимости, но если транзистор VT4 сильногреется, а на осциллограмме напряжения на его затворе видны «паразитные» положительные импульсы в интервалах между основными, установка этих конденсаторов может помочь. Их емкость подбирают опытным путем.
Приступая к проверке собранного преобразователя, следует иметь в виду, что при выходном напряжении 27 В и токе нагрузки 0,5 А первичный источник питания напряжением 6 В должен быть рассчитан на ток не менее 2,5 А. Перед первым включением преобразователя движок потенциометра R14 должен находиться в среднем положении, в дальнейшем с его помощью устанавливают необходимое выходное напряжение.
Если преобразователь не работает, следует временно выпаять катушку L1 и, подав в выходную цепь напряжение +27 В от внешнего источника, добиться, чтобы форма сигналов в точках, указанных на рис. 9.2, соответствовала приведенной на этом рисунке. Период повторения импульсов задающего генератора устанавливают подборкой номинала резистора R1, а длительность положительных импульсов на затворе транзистора VT4 — переменным резистором R14.
Образцовое напряжение на неинвертирующем входе ОУ устанавливают следующим образом. При выпаянной катушке L1 базу транзистора VT1 временно отключают от выхода ОУ и соединяют с движком переменного резистора номиналом 47 кОм, один из крайних выводов которого соединяют с выходом интегрального стабилизатора DA1, а другой — с общим проводом.
Вновь введенным переменным резистором устанавливают длительность положительных импульсов на затворе VT4 равной 16 мс. Измеряют напряжение на базе транзистора VT1 и устанавливают такое же на входе
3 ОУ DA1, подбирая номинал резистора R5. Восстановив все соединения, переменным резистором R14 добиваются нужного напряжения на выходе преобразователя.
Еще более совершенный преобразователь напряжения описан в [20]. Его схема приведена на рис. 9.4. Преобразователь имеет КПД не хуже 90 %.
Рис. 9.4. Преобразователь напряжения
Трансформатор Т1 выполнен на двух склеенных кольцевых магнитопроводах К45х28х12 из феррита 2000НМ-17. Обе обмотки намотаны проводом МГТФ-0,75: первичная содержит 5 витков из восьми сложенных вместе проводников, ее разделяют на две части (по четыре проводника, соединенные параллельно) и конец одной соединяют с началом второй, сделав от места соединения вывод; вторичная обмотка содержит 13 витков в два провода.
Настройка сводится к установке частоты задающего генератора равной 80—100 кГц путем подбора конденсатора С3 или резистора R3.
При настройке маломощных передатчиков удобно пользоваться индикаторами напряженности поля. Это устройство не требует подсоединения к передатчику и поэтому не влияет на его работу. Традиционно индикатор представляет собой антенну (чаще всего, в виде короткого штыря), амплитудный детектор (выпрямитель РЧ напряжения) и стрелочный измеритель (как правило, микроамперметр).
Для повышения чувствительности индикатор делают активным, снабжая его усилителем РЧ до детектора или усилителем постоянного тока после детектора. В [21] предлагается конструкция более совершенного устройства на базе аналогового перемножителя К174ПС1. Принципиальная схема этого варианта приведена на рис. 9.5.
Рис. 9.5. Принципиальная схема
Входной сигнал, принятый антенной WA1, поступает на два входа микросхемы — выводы
8 и
11 (два других — выводы
7, 13 — соединяют по переменному току с общим проводом), и она осуществляет перемножение сигнала по принципу «сам на себя».
Если входной сигнал записать в виде
u(
t) =
Um∙cos(
ωt),
то на выходе микросхемы (выводы
2 и
3) будет сигнал
uвых(
t) =
K∙
U2∙cos
2(
ωt),
где
К — коэффициент передачи микросхемы. Вспомнив школьный курс тригонометрии, это выражение можно преобразовать к виду
uвых(
t) = (
K∙
U2/2) — (
K∙
U2/2)∙cos(2
ωt),
Таким образом, в выходном сигнале микросхемы присутствует постоянная составляющая и переменная составляющая удвоенной частоты. Постоянная составляющая пропорциональна квадрату входного напряжения, поэтому показания микроамперметра РА1, подключенного к выходу микросхемы, будут пропорциональны мощности сигнала, излучаемого передающей антенной. Переменная составляющая легко подавляется конденсатором С7. Диоды VD1, VD2 служат для защиты входных цепей микросхемы от мощных сигналов.
Питается устройство от батареи напряжением 9 В («Крона», «Корунд», «Ника») и потребляет ток примерно 1,5 мА. Работоспособность сохраняется при уменьшении напряжения питания до 6 В. Максимальный ток через микроамперметр РА1 ограничен резисторами R1, R2.
В устройстве можно применить практически любой малогабаритный стрелочный индикатор с током полного отклонения стрелки от 50 до 150 мкА. На частоте 28 МГц чувствительность устройства (минимальный регистрируемый сигнал) составляет 2–3 мВ.
Вместо указанной на схеме K174ПС4 допустимо применить микросхемы К174ПС1, К174ПС2. Диоды VD1, VD2 — типа КД510А, подойдут и КД522Б, КД503Б. Плата измерителя должна быть заключена в экранированный корпус.
Налаживания устройство не требует, но если будет применена другая микросхема, то придется подобрать резисторы (они должны быть одинаковых номиналов), чтобы на выходах микросхемы было напряжение, примерно равное половине напряжения источника питания. При необходимости балансировку прибора (нулевые показания микроамперметра РА1 в отсутствие сигнала на входе устройства) можно произвести подбором резистора R1 или резистора R2.
При желании индикатор можно сделать избирательным, установив на его входе перестраиваемый LC-контур.
Его же можно использовать как достаточно точный измеритель мощности для передатчиков, рассчитанных на подключение пятидесятиомной нагрузки. Вместо антенны в этом случае устанавливается разъем СР-50, через который с помощью коаксиального кабеля устройство подключается к выходу передатчика. Вход измерителя дорабатывается так, как это показано на рис. 9.6.
Рис. 9.6. Входная цепь для измерителя мощности
Резистор R1 служит эквивалентом антенны, поэтому его мощность рассеивания должна быть не менее выходной мощности передатчика. Его можно, при необходимости, набрать из соединенных параллельно маломощных резисторов. Для исключения высокочастотных наводок непосредственно на резисторы делителя R2, R3 все три резистора должны быть размещены в отдельных экранированных секциях.
Для калибровки измерителя на его вход необходимо подать сигнал от какого либо источника высокочастотного напряжения (примерно 27 МГц) с заведомо известной мощностью, например Р1. Поскольку стрелка выходного микроамперметра отклоняется пропорционально квадрату входного напряжения, то для мощности шкала является линейной. В этом случае достаточно откалибровать ее в одной точке. Подбором величины резистора R3 необходимо вывести стрелку микроамперметра на деление, соответствующее мощности Р1.
Все описанные выше варианты схем пропорциональной управления работают со стандартными канальными импульсами. Такие импульсы имеют исходное значение длительности, соответствующее нулевой величине команды, равное 1,5 мс. При отклонении ручек управления в крайние положения она меняется на ±0,5 мс. Стандартный период повторения канальных импульсов выбирается равным 20 мс. Схема устройства, формирующей импульсы с указанными параметрами, приведена на рис. 9.7. Она полностью повторяет фрагмент шифратора, описанного в
разделе 2.3.6, поэтому принцип действия и процедура настройки здесь не приводятся.
Печатную плату так же можно взять из упомянутого параграфа, удалив лишние фрагменты.
Выход схемы подключается непосредственно к входу настраиваемой рулевой машинки или регулятора хода. Предварительно потенциометром R8 устанавливается требуемая амплитуда выходных импульсов (3 или 5 В в зависимости от варианта настраиваемого устройства).
Рис. 9.7. Принципиальная схема устройства
Если в модели используются малогабаритные цилиндрические аккумуляторы, ассортимент которых в торговой сети достаточно широк, то они обычно продаются наборами, в которые входят и штатные зарядные устройства.
Для тех типов аккумуляторов, которые рекомендуется заряжать постоянным током, можно рекомендовать зарядное устройство, схема которого приведена на рис. 9.8. Устройство, по сути, представляет собой регулируемый стабилизатор тока, величина которого устанавливается переменным резистором R6.
Рис. 9.8.
Зарядное устройство
Зарядный ток и величина этого резистора связаны выражением R6 = 1,25/
Iзар — 2,5. Максимальный ток заряда ограничивается резистором R7 и равен 0,5 А. Минимальный ток заряда — 10 мА.
Потенциометром R2 устанавливается конечное напряжение заряжаемого аккумулятора. При достижении этой величины напряжение на выводе
3 DA3 превышает опорное, на выходе операционного усилителя возникает положительный скачек напряжения, приводящий к отпиранию транзистора VT1. Срабатывает реле К1, отключая аккумулятор от зарядного устройства. Одновременно загорается светодиод VD2, сигнализируя об окончании зарядки. Напряжение окончания зарядки зависит от типа аккумулятора и устанавливается потенциометром R2 в пределах 3,5—13,5 В.
Микросхему SD1084 можно заменить отечественной КР142ЕН12. Ручки потенциометров R2 и R6 выводятся на переднюю стенку корпуса зарядного устройства и градуируются. Входное напряжение подается на зарядное устройство от любого источника постоянного тока напряжением 15–27 В, рассчитанного на ток нагрузки не менее 0,5 А.
Если же на модель устанавливаются необслуживаемые герметичные гелево-кислотные аккумуляторы, упоминавшиеся в
разделе 8.1, то можно воспользоваться схемой, приведенной в [22]. Такие аккумуляторы заряжают по следующей методике. Сначала на разряженный аккумулятор подается номинальный ток заряда, приводимый для каждого типа в документации или непосредственно на корпусе. Например для выбранного в
разделе 8.1 аккумулятора номинальный ток заряда обозначен на корпусе и равен 0,39 А.
По мере заряда напряжение на аккумуляторе растет, а ток остается неизменным. При достижении напряжением определенного порога (его рекомендованное значение также указывается на корпусе) дальнейший его рост необходимо ограничить. При этом зарядный ток начинает снижаться. К моменту окончания зарядки зарядный ток становится равным току саморазряда, и в этом состоянии аккумулятор может находиться в зарядном устройстве сколь угодно долго без перезаряда.
Принципиальная схема зарядного устройства изображена на рис. 9.9. Основу ее составляет специализированная микросхема L20 °CV. Микросхема содержит последовательно включенные стабилизатор тока и стабилизатор напряжения. Величина стабилизируемого тока, который необходимо выбирать равным номинальному значению для каждого типа аккумуляторов, определяется резисторами R1—R5. Расчет номинала резистора в омах производится по формуле
R = 0,45/
Iзар. ном, где ток подставляется в амперах. Номинальные напряжения зарядки устанавливаются подстроенными резисторами R7 и R8.
Аналогичное зарядное устройство можно собрать на двух микросхемах SD1084 (КР142ЕН12, КР142ЕН22). На первой необходимо реализовать стабилизатор тока по схеме, аналогичной изображенной на рис. 9.8. На второй собирается стабилизатор напряжения по стандартной схеме включения.
Зарядные устройства целесообразно монтировать в моделях автомобилей, снабдив их разъемом для подключения внешнего источника питания.
Рис. 9.9.
Зарядное устройство для гелево-кислотных аккумуляторов
Особенности: две пары контактов на переключение; высокая эксплуатационная надежность; герметичный корпус.
Электродвигатели серии ДПМ содержат кольцевой постоянный магнит из сплава ЮНДК. Основные технические данные приведены в таблице П.1.
Электродвигатели серии ДПР — малоинерционные, содержат наружный и внутренний статоры, в воздушном зазоре между которыми располагается цилиндрическая часть полого якоря, выполненного в виде стакана, своим дном закрепленного на валу. Электродвигатели этой серии обладают хорошим быстродействием, обусловленным малым моментом инерции якоря. Основные характеристики приведены в таблице П.2.
Примечания:
1. Первые две цифры в обозначении типа ДПМ — диаметр корпуса в мм; последние — номер исполнения; Н1 — двигатели с одним, а Н2 — двигатели с двумя выходными концами вала, Н3 — обозначение встроенного стабилизатора.
2. Длины корпусов для исполнения НЗ: ДПМ-20 — 50 мм; ДПМ-25 — 59 мм, ДПМ-30— 72 мм, для исполнения Н1/Н2: ДПМ-20— 38 мм; ДПМ-25 — 45,5 мм; ДПM-30 — 57 мм; ДПМ-35 — 64,5 мм.
3. Первая цифра, стоящая после обозначения серии ДПР, обозначает габарит двигателя; вторая — число полюсов; цифры 1 и 2, стоящие после буквы Н, указывают на число выходящих концов вала; последние цифры означают номер исполнения двигателя.
4. Кроме двигателей с ДПР нормальным исполнением (в смысле крепления), обозначенных буквой Н, все двигатели, кроме двигателей второго габарита (ДПР-2), выпускаются также с фланцевым креплением. В обозначении двигателя в этом случае буква Н заменяется буквой Ф, например ДПР-32-Ф1-01 вместо ДПР-32-Н1-01.
5. Двигатели ДПР могут использоваться в качестве тахогенераторов.
1. Авиационные системы радиоуправления //
Максимов М.В., Горгонов Г.И., Чернов B.C. — М: Издание ВВИЛ им. Проф. Н.Е.Жуковского. — 1984.
2.
Гюнтер Миль. Электронное дистанционное управление моделями. — М: Издательство ДОСААФ СССР. — 1980.
3.
А. Анучкин. Десятикомандная аппаратура управления моделями. В помощь радиолюбителю, вып. 94, стр.46–56. Издательство ДОСААФ СССР. — 1986.
4.
В. Л. Шило. Популярные цифровые микросхемы. Издательство «Металлургия», Челябинск. — 1988.
5.
М. С. Шумилин, В. Б. Козырев, В. А. Власов. Проектирование транзисторных каскадов передатчиков. — М: Радио и связь. — 1987.
6.
Браммер Ю. А. Радиотехника. — М: Высшая школа. — 1969.
7.
Белкин Н. И. Сверхрегенераторы. — М: Радио и связь. — 1983.
8. Барьерный режим работы транзистора//
В. Стасенко. Радиолюбитель № 1.— 1996. — С. 15.
9. Сверхрегенератор // В.Т. Поляков. — Радио № 3. — 2002.
10. Малогабаритная радиостанция с модуляцией CLC //
В. Рубцов. — Моделист-конструктор, № 3. — 1999.
11. Интегральные схемы для бытовой радиоаппаратуры // Справочник.
И.В. Новаченко, В.А. Телец, Ю.А. Краснодубец. — М: Радио и связь. — 1995.
12.
В. Т. Поляков. Радиолюбителям о технике прямого преобразования. — М: Патриот. — 1990.
13. Двойной балансный смеситель SA612A. — Радио № 4. — 2004.
14. Авиационные радиосвязные устройства//Под ред.
В. И. Тихонова. — М: издательство ВВИА им. проф. Н.Е. Жуковского.
15. Андреев С. Приемный тракт на МС3361 с двойным преобразованием частоты. — Радиоконструктор № 2. — 2006.
16.
И. Гаврилов, А. Войтко. Современный любительский приемник,
www/redesign.ru/articles/electronics/receiver_igva.
17. Микросхемы для управления двигателями // Энциклопедия ремонта. — Вып. 12. — М.: ДОДЭКА. — 1999.
18. Моделист-конструктор, № 8. — 1998.
19. Твори, выдумывай, пробуй // Сост.
Н. С. Тимофеева. — М.: Просвещение. — 1986.
20. Малогабаритный мощный преобразователь напряжения //
И. Нечаев. — Радио № 2. —2003.
21. Индикатор напряженности поля //
И. Нечаев. — Радио № 3. — 2005.
22. Зарядные устройства для герметичных свинцовых кислотных аккумуляторов //
С. Малахов. Схемотехника № 1. — 2003. — С. 14.
* * *
Оглавление
Введение
Глава 1
ПРИНЦИПЫ УПРАВЛЕНИЯ МОДЕЛЯМИ НА РАССТОЯНИИ
Глава 2
ФОРМИРОВАТЕЛИ КОМАНД
Глава 3
ПЕРЕДАТЧИКИ КОМАНД
Глава 4
ПРИЕМНИКИ КОМАНД УПРАВЛЕНИЯ НЕРАДИОТЕХНИЧЕСКИХ ДИАПАЗОНОВ
Глава 5
РАДИОПРИЕМНИКИ
Глава 6
ДЕШИФРАТОРЫ КОМАНД
Глава 7
ИСПОЛНИТЕЛЬНЫЕ УСТРОЙСТВА
Глава 8
МОДЕЛЬ АВТОМОБИЛЯ С ПРОПОРЦИОНАЛЬНЫМ УПРАВЛЕНИЕМ
Глава 9
ВСПОМОГАТЕЛЬНЫЕ УСТРОЙСТВА
Приложение 1
СВЕРХМИНИАТЮРНЫЕ РЕЛЕ
Приложение 2
ЭЛЕКТРОДВИГАТЕЛИ ДП
Список литературы
Последние комментарии
1 день 4 часов назад
1 день 7 часов назад
1 день 7 часов назад
1 день 8 часов назад
1 день 13 часов назад
1 день 13 часов назад